Next Article in Journal
Settlement of Chilean Flat Oysters (Ostrea chilensis) on Ribbed Mussel Shell Collectors for Commercial Grow-Out: Towards Sustainable Management
Previous Article in Journal
Dual-Mode Square Root Cubature Kalman Filter for Miniaturized Underwater Profiler Dead Reckoning
 
 
Font Type:
Arial Georgia Verdana
Font Size:
Aa Aa Aa
Line Spacing:
Column Width:
Background:
Article

Multi-Objective Optimization Design of Dynamic Performance of Hydrofoil with Gurney Flap

by
Xiangyun Zhang
1,
Wuping Yao
2,
Lan Ding
2,* and
Bin Huang
1,3
1
Ocean College, Zhejiang University, Zhoushan 316021, China
2
Wuhan Second Ship Design & Research Institute, Wuhan 430064, China
3
Ocean Research Center of Zhoushan, Zhejiang University, Zhoushan 316021, China
*
Author to whom correspondence should be addressed.
J. Mar. Sci. Eng. 2024, 12(7), 1147; https://doi.org/10.3390/jmse12071147
Submission received: 4 June 2024 / Revised: 1 July 2024 / Accepted: 3 July 2024 / Published: 8 July 2024
(This article belongs to the Section Coastal Engineering)

Abstract

The horizontal axis tidal turbine, as a crucial device for capturing tidal energy, has gained significant attention because it has better energy efficiency performance. Enhancing the performance of foils, a vital part of tidal turbine blades, can significantly improve tidal turbine performance. Among numerous methods to enhance the foil performance, the Gurney flap has gained significant attention due to its avoidance of complex structural design. Currently, there is limited research on optimizing the design of Gurney flaps while considering the dynamic performance of foils. In this study, the S809 foil with a blade cross-section was selected as the research subject, a multi-objective optimization design platform was created by integrating a multi-objective optimization algorithm with Computational Fluid Dy-namics (CFD) numerical simulation techniques. The objective of this platform is to enhance the dynamic performance of the hydrofoil by optimizing the geometric structure of the Gurney flap. The improvement of dynamic lift and the size of the dynamic stall hysteresis loop are used as objective variables in this study to evaluate the hydrofoil’s dynamic performance. The optimal Latin hypercube design method is used in the optimization process to choose sample locations, and the Kriging approximation model is used to determine the relationship between the design variables and the objective variables. Meanwhile, the Non-Dominated Sorting Genetic Algorithm-II (NSGA-II) is used to create a multi-objective optimization platform for solving the optimization problem, and the optimized results are validated using CFD. Comparative validation results show that quantifying the dynamic performance during hydrofoil pitching oscillation and using the optimal Latin hypercube design method and Kriging approximation model for optimizing the Gurney flap structure is rational and accurate. This study explores the mechanism of the Gurney flap through in-depth CFD numerical simulations and finds that the Gurney flap affects the flow characteristics at the hydrofoil’s trailing edge, thereby influencing the performance. It increases the pressure difference between the pressure and suction surfaces, thus enhancing the hydrofoil’s lift. Finally, this article provides three recommended parameters to improve the dynamic performance of the hydrofoil. This research can serve as a reference for the application of Gurney flaps in tidal turbine blade design.

1. Introduction

With rapid economic development and massive consumption of traditional fossil energy, tidal energy has gained a lot of attention due to its wide distribution, large reserves, renewability, and lack of contamination [1,2]. The tidal turbine, as a device for converting tidal energy into electrical energy, has been widely used. Its energy efficiency and hydrodynamic performance are determined by the blades. The foil, as a fundamental element of the tidal turbine blades, directly influences the hydrodynamic performance of the blades. Increasing the lift coefficient of the blade cross-sectional foil under conditions of equal inflow velocity and blade-swept area can effectively enhance the hydrodynamic performance of the blade. Over the years, various technological measures have been attempted to enhance foil performance, including leading-edge protuberances [3], vortex generators [4], and flaps [5]. Among these, the Gurney flap has great potential for application due to its simple structural design.
The Gurney flap, initially used in racing car spoilers to enhance traction, is a small device installed perpendicular to the chord line on the pressure surface at the trailing edge of the blade to improve the foil’s performance [6,7,8]. With advancing technology, Gurney flaps are now being applied to wind turbine blades to enhance their performance. Studies mainly investigate how Gurney flaps affect the performance of foils through numerical simulations and experiments.
Currently, researchers primarily concentrate on using numerical simulation studies to investigate the impact of the Gurney flap on the static performance of foils. Aramendia et al. [9] developed an artificial neural network model based on the lift-to-drag ratio to predict the aerodynamic performance of foils, which could forecast the lift-to-drag ratio of foils with different heights of Gurney flaps. Mubassira et al. [10] studied the effect of Gurney flap height on the aerodynamic performance of the NACA4312 foil. The research results indicated that, with an increase in height, both lift and drag increased, and a Gurney flap height of 1.5% chord length performed the best within the studied range. Sumaryada et al. [11] examined the effects of different Gurney flap installation angles on the aerodynamic performance of the NACA4312 foil. After simulating the aerodynamic performance of the foil at different wind speeds, they found that, within the range of the installation angle studied, increasing the installation angle led to an increase in lift and a decrease in drag of the foil. Hao and Gao [12] examined the influence of the shape of the Gurney flap on the aerodynamic performance of the S809 foil section of wind turbine blades. The results showed that the width of the rectangular Gurney flap had minimal impact on the foil’s performance, while the triangular flap was significantly more effective than the rectangular flap. Abdelrahman et al. [13] investigated the effects of Gurney flaps of varying heights and quantities on the aerodynamic performance of the NACA0012 foil at different Reynolds numbers. The findings indicated that the Gurney flap enhanced the foil’s performance more at high Reynolds numbers, and double and triple flaps increased the lift-to-drag ratio at high angles of attack and low Reynolds numbers. Vadan and Srinivas [14] investigated the impact of the length and installation position of the Gurney flap on the aerodynamic performance of the NACA 23112 airfoil. The study revealed that the Gurney flap can effectively enhance the performance of the airfoil, with the optimal configuration being a flap installed at the trailing edge of the airfoil with a height of 1% of the chord length. Tyagi et al. [15] proposed an optimization framework for the Gurney flap on the NACA 0012 airfoil and significantly enhanced computational efficiency using the Radial Basis Function method. The results indicated that, within the range of their study, the optimal configuration for the Gurney flap was a height of 1.9% of the chord length with an installation angle of −58°. Besides static performance, some researchers have also explored the Gurney flap’s ability to improve the foil’s dynamic performance. Lee and Gerontakos [16] examined the dynamic stall characteristics of a NACA0012 foil equipped with a Gurney flap, finding a beneficial impact of the Gurney flap on controlling the foil’s dynamic stall. Xie et al. [17] studied the influence of the Gurney flap height on the energy capture performance of a flapping foil with Gurney flaps mounted on both surfaces of the NACA0012 foil. Research findings indicated that the lift and the maximum power coefficient increased as the height increased within the range of from 0 to 0.3 times the chord length. Masdari et al. [18] examined how Gurney flap geometric parameters and foil oscillation parameters affect the aerodynamic performance during the pitching process of the NACA0012 foil. Numerical calculations revealed that the optimal height range was between 1% and 3.2% of the chord length. Furthermore, the lift coefficient to drag coefficient ratio was optimal when the Gurney flap was oriented at 90° to the chord direction, and increasing reduced frequency and oscillation amplitude led to an increase in the maximum lift coefficient. Zheng and Liu [19] conducted a study employing an Improved Delayed Detached Eddy Simulation technique to assess the influence of serrated Gurney flaps on the aerodynamic characteristics of the NACA 0018 airfoil. The results elucidated that, at intermediate angles of attack, the serrated Gurney flaps exhibited a more significant enhancement in the airfoil’s aerodynamic efficiency.
Another aspect of investigating the influence of the Gurney flap on foil performance is through experimental research. Liebeck [8] conducted the first experimental research on Gurney flaps and found that those within the range of from 1% to 2% of the chord length increased lift. The best lift enhancement was observed at a height of 1.25% of the chord length. Maughmer et al. [20] conducted low-speed wind tunnel experiments on the S903 foil to investigate the impact of Gurney flaps’ height on foil performance. They discovered that a Gurney flap with a height of 2% chord length significantly increased the maximum lift coefficient of the foil. Chandrasekhara et al. [21] conducted experimental analysis on foils using a combination of Gurney flap and leading-edge droop. They observed that employing a Gurney flap with a height of 1% chord length not only increased the lift of the foil but also resulted in a decrease in drag, thereby enhancing the aerodynamic performance of the foil. Cole et al. [22] conducted wind tunnel experiments on five different foils, and the results indicated that the influence of the Gurney flap on aerodynamic performance is coupled, to some extent, with the geometric shape of the foil. Zhang et al. [23] conducted wind tunnel experiments on wind turbine foils to investigate the lift enhancement effects of Gurney flaps of different heights. The results showed that a Gurney flap with a height of 1.5% chord length could provide the foil with a higher lift-to-drag ratio. Yang et al. [24] also studied the effects of the height and width of Gurney flaps on aerodynamic performance, particularly under high turbulence intensity. They found that the height of the Gurney flap significantly affected aerodynamic performance, while the thickness had a small impact. Additionally, under extremely high turbulence levels, the influence of the Gurney flap on aerodynamic performance was minimal. Chandra et al. [25] investigated the impact of Gurney flaps and vortex generators on the aerodynamic performance of the Eppler 423 foil. Their experimental results showed that a height of 2% chord length performed the best, but the simultaneous installation of Gurney flaps and vortex generators decreased the lift-to-drag ratio of the foil. Avivoli and Singh [26] explored the aerodynamic effects of Gurney flaps on three different low-aspect-ratio wings through experimental studies. Their findings revealed that Gurney flaps effectively increase the maximum lift coefficient and stall angle by augmenting the pressure difference between the wing’s upper and lower surfaces, thereby enhancing the aerodynamic performance. Ivanković et al. [27] conducted an experimental investigation into the influence of Gurney flaps and vortex generators on the aerodynamic characteristics of the NACA 0021 airfoil. The experimental results demonstrated that both Gurney flaps and vortex generators enhance the aerodynamic performance of the airfoil by increasing the maximum lift coefficient and reducing hysteresis, with larger Gurney flaps showing a more pronounced improvement.
In summary, the current research on Gurney flaps has mainly focused on the wind power field. There is relatively limited research on the optimized design of Gurney flaps considering the dynamic performance of the hydrofoil. Therefore, this study focuses on the S809 hydrofoil and combines multi-objective optimization algorithms with CFD numerical simulation technology to establish a multi-objective optimization design platform by quantifying the dynamic performance of hydrofoil. The aim is to optimize the structure of the hydrofoil with a Gurney flap to improve its dynamic performance by addressing the optimization challenge with a genetic algorithm and providing a reference for the optimization of tidal turbine performance.

2. Dynamic Performance Parameter Calculation of Hydrofoil

2.1. Numerical Calculation Method

To compute the dynamic performance characteristics of the S809 hydrofoil, such as the lift coefficient C l and drag coefficient C d , numerical simulations of the flow field surrounding the hydrofoil were carried out using the commercial CFD software Fluent 18.0.

2.1.1. Computation Domain and Boundary Conditions

This paper utilized the calculation conditions from the study of Huang et al. [28]. The computation domain and boundary conditions are illustrated in Figure 1. The chord length ( c ) of the S809 hydrofoil is 200 mm. The computation domain is composed of a semicircle with a radius of 10 c and a square with a side length of 20 c . The distance from the oscillation center point of the hydrofoil to the leading edge is 0.25 c . The distance from the inlet boundary to the oscillation center point of the hydrofoil is 10 c to prevent the inlet boundary from affecting the upstream flow field of the hydrofoil. The distance from the outlet boundary to the oscillation center point of the hydrofoil is 20 c , which allows for the full development of the wake. The entire computation domain is divided into a stationary domain and a rotational domain. The size of the rotational domain is 3 c . Data between the stationary and rotational domains are transmitted through an interface. The surface of the hydrofoil is set as a non-slip boundary. The boundary conditions of the inlet and outlet are velocity inlet and pressure outlet, respectively. The freestream velocity u = 5 m/s and the computational medium is water with a density of 998.2 kg/m3 and a viscosity of 0.001003 kg/(m*s).

2.1.2. Grid Generation and Computation Settings

The ICEM 18.0 software was utilized to generate structured grids of the computation domain. The separation regions at the leading and trailing edges of the hydrofoil are particularly sensitive to the value of y + due to rapid changes in velocity distribution. Therefore, the thickness of the first layer of the grid on the hydrofoil surface is set to 2 × 10 5 × c , ensuring y + 1 . Figure 2 demonstrates the grid of the computation domain and provides details of the grid at the leading and trailing edges of the hydrofoil. The numerical simulations in this paper employed a first-order implicit unsteady calculation. The pressure–velocity coupling method used was Coupled, with the pressure discretization format set to Second Order, and the other terms discretized using Second Order Upwind. The k-ω SST turbulence model, which can effectively capture the flow separation on the surface of the hydrofoil, was used to obtain dynamic performance parameters of the hydrofoil during oscillatory motion.

2.2. Grid Independence Verification

Before conducting numerical simulations of sinusoidal pitching oscillations on the hydrofoil, the grid sensitivity study needs to be carried out first. Grid I, II, and III have 750, 900, and 1050 nodes around the hydrofoil surface, respectively. Table 1 displays the hydrofoil’s performance parameters under the same computation conditions with an angle of attack of 12.65° for three different grids.
The C l   and C d of the infinitely fine grid are estimated by Equation (1), where f 1 and f 2 represent the finer solution and coarser solution, r i j is the refinement ratio of the grid, and p is the convergence accuracy.
f exact   f 1 + f 1 f 2 r i j p 1
In Equation (1), stencils i and j represent the fine (Grid III), medium grid (Grid II), and coarse grid (Grid I), with values of “1”, “2”, and “3” respectively. The refinement ratio of the grid r i j can be estimated by Equation (2), where N i and N j are the grid numbers of the finer and the coarser grids, respectively, and D represents the spatial dimension of the model, where, in this paper, D = 2 :
r i j ( N i N j ) 1 D
The convergence accuracy is obtained by solving Equation (3) iteratively for p :
ε 23 r 23 p 1 = r 12 p [ ε 12 r 12 p 1 ]
The relative solution errors ε 12 and ε 23 for the computations of different grids are obtained from Equations (4) and (5):
ε 12 = f 2 f 1 f 1
ε 23 = f 3 f 2 f 2
Roache defined the Grid Convergence Index (GCI) [29] for numerical solutions as follows:
G C I 12 = F s | ε 12 | r 12 p 1
The recommended value for the safety factor ( F s ) in Equation (6) to ensure convergence of the three grids in Xing’s research [30] is 1.25.
Table 2 displays the numerical values of C l and C d obtained using Grid II. The exact solutions for C l and C d are 1.1240 and 0.0393, respectively. The numerical solution for C l from Grid II is 0.0534% lower than the exact solution, while the numerical solution for C d is 0.2551% higher than the exact solution. According to the G C I 12 estimation, the error band for the extrapolated values of C l and C d are 0.0045% and 0.0501%, respectively. The simulated values of C l and C d from Grid II show very small deviations compared to the extrapolated values from the infinitely refined grid. Therefore, in this study, we select Grid II as the computation grid.

2.3. Dynamic Stall Simulation

The dynamic performance parameters of the S809 hydrofoil were obtained through numerical simulations of sinusoidal pitching oscillations. The boundary conditions and computation domain are consistent with previous research. Four geometric parameters based on existing research were investigated: the height of the Gurney flap, the width of the Gurney flap, the installation location of the Gurney flap, and the installation angle of the Gurney flap. The installation location represents the distance between the flap installation point and the trailing edge, while the installation angle is the angle between the Gurney flap and the hydrofoil’s chord line. The research aimed to investigate the influence of Gurney flaps on the dynamic performance of the hydrofoil during the oscillation process.

2.3.1. The Oscillation Parameters of the Hydrofoil

This study referred to the hydrofoil oscillation parameters from Huang et al. [28]. The S809 hydrofoil undergoes sinusoidal pitching oscillations around its quarter chord point, as depicted in Figure 3. The average angle of attack during the pitching oscillation is 8.6195°, and the amplitude angle of the pitching oscillation is 10.35°. The Reynolds number, approximately 1 × 10 6 , was calculated using Equation (7), where ρ represents water density, c is the hydrofoil’s chord length, μ denotes water viscosity, and u represents the free-stream velocity.
R e = ρ u c μ
The instantaneous angle of attack of the hydrofoil is defined by Equation (8):
α ( t ) = α mean   + α a m p s i n ( ω t )
where α mean   is the mean angle of attack during oscillation, α a m p is the oscillatory amplitude of the angle of attack, and ω = 2 π f , where f is the frequency of the oscillation. For oscillating hydrofoils, unsteady motion is typically characterized by the reduced frequency k , in this paper, k = 0.08 .
k = ω c 2 u

2.3.2. Grid Generation and Computation Settings

This study simulated the pitching oscillations of the hydrofoil with a Gurney flap installed at 5% c from the trailing edge, a Gurney flap height of 1.25% c , and a width of 0.5% c as the initial configuration; its structure is displayed in Figure 4. The profile of computation domain for the hydrofoil equipped with the Gurney flap is identical to that for the clean foil, the distribution of surface nodes on the hydrofoil with the Gurney flap installed is essentially the same as that of the medium grid, Grid II. Only a little refinement was applied at the location of the Gurney flap to capture the variations in the flow field near the Gurney flap. Figure 5 illustrates the detailed grid at the leading edge of the hydrofoil and the location of the Gurney flap. The number of grid nodes in the calculation domain for the hydrofoil equipped with the Gurney flap is 186,144.
To conduct numerical simulations of the hydrofoil’s dynamic performance parameters, the same turbulence model and discretization format as the previous section were employed. The hydrofoil undergoes sinusoidal pitching oscillations around its quarter chord point. The motion is achieved by adding a user-defined function in the Fluent software to control the angle of attack at each time step. The time step is chosen to be 0.001 s, following the study by Yu et al. [31]. In order to obtain sufficiently accurate numerical solutions, at least five cycles of the oscillation are computed. Here, T represents the cycle of the oscillation, and the results from the fifth T are taken as the calculation results of this study.

2.3.3. Calculation Results of the Initial Model

Simulating the sinusoidal pitching oscillations of the clean hydrofoil and the hydrofoil equipped with the initial Gurney flap can obtain the dynamic performance coefficients of the hydrofoils. As shown in Figure 6a, the C l of the hydrofoil equipped with the Gurney flap is enhanced compared to the clean hydrofoil during both the upstroke and downstroke phases. During the upstroke phase, the C l of the hydrofoil equipped with the Gurney flap shows a generally consistent increase within a small range of angle of attack compared to the clean hydrofoil, but a relatively small increase within a large range of angle of attack. During the downstroke phase, the increase in the C l is generally consistent with that during the upstroke phase, indicating that the majority of the hysteresis loop of C l shifts toward the positive direction of the ordinate under the influence of the Gurney flap. The influence of the Gurney flap on the C d is depicted in Figure 6b. The impact of the Gurney flap on the C d differs somewhat from its effect on the C l . Although it overall increases the C d , the increase is not a predominantly shifting hysteresis loop but rather a clockwise rotation close to the minimum angle of attack during the oscillation. A comparison of the dynamic parameters of the hydrofoil indicates that the Gurney flap can effectively enhance the C l during oscillations and improve the dynamic performance of the hydrofoil.

3. Optimization of the Gurney Flap

3.1. Target Parameter Selection and Optimization Process

Based on the above research, it can be observed that the Gurney flap effectively enhances the C l of the hydrofoil during oscillations, thereby improving its dynamic performance. This study aims to investigate the influence of the geometric parameters of the Gurney flap on the dynamic performance of the hydrofoil during oscillations. The following two objective parameters are used to characterize the dynamic performance of the hydrofoil: the area enclosed by the C l curve during the upstroke phase and the coordinate axis ( S c l ), and the area enclosed by the C l hysteresis loop of the hydrofoil within one oscillation period ( S c l T ), namely, the area of the shaded part in Figure 7. These parameters can quantify the dynamic performance of the hydrofoil during oscillations. The area of the C l t hysteresis loop quantifies the fluctuation of lift during oscillations, while the area enclosed by the C l curve during the upstroke phase and the coordinate axis quantifies the enhancement of lift provided by the Gurney flap. By quantifying the dynamic hydrofoil performance, a fitting relationship between design variables (four geometric parameters) and objective parameters can be established, and then the optimal geometric parameters for the Gurney flap can be obtained through a genetic algorithm. In subsequent studies, the two objective parameters S c l and S c l T are represented as y1 and y2, respectively, for simplicity. The entire optimization process is illustrated in Figure 8.
The design of experiments (DOE) and approximation model methods used in this study were conducted on the Isight platform. Four design variables were chosen based on existing research: the height of the Gurney flap (Height), the width of the Gurney flap (Width), the installation location of the Gurney flap (Location), and the installation angle of the Gurney flap (Angle). The ranges for these four design variables are specified as shown in Table 3.

3.2. Selection of Experimental Design Method

The Isight 2022 platform provides nine experimental design methods, including parameter experiment, full factorial design, fractional factorial design, orthogonal arrays, central composite design, Box–Behnken design, Latin hypercube design, optimal Latin hypercube design, and custom data file. As shown in Figure 9a–c, the Latin hypercube design allows for the study of a greater number of combinations using the same number of points and provides better coverage of the entire experimental space compared to the traditional experimental design method. However, increasing the number of levels in the Latin hypercube design may lead to the loss of coverage in certain regional areas of the design space. Therefore, this paper selects the optimal Latin hypercube design, as shown in Figure 9. The optimal Latin hypercube design enables the distribution of all experimental points as uniformly as possible in the design space, leading to a more precise and realistic fitting of factors and responses. The 60 sets of sampled data obtained through optimal Latin hypercube design for the experiment are presented in Table 4. Table 5 shows the post-processing results of the numerical simulation under the same conditions of 60 groups of sampling models.

3.3. Selection of Approximation Model

In the Isight 2022 platform, there are four types of approximation models: the Response Surface Model, the Neural Network Model, the Chebyshev Orthogonal Polynomial Model, and the Kriging Model. Among these, the Kriging model based on variogram theory and structural analysis enables unbiased optimal estimation of regionalized variables within a finite area. It can more effectively establish the relationship between design variables and the objective parameters. Considering the highly nonlinear relationship between the optimization variables of the Gurney flap and the objective parameters proposed in this paper, the Kriging model is selected for this study.
Table 6 presents four error analysis methods applied to approximation models of the two objective parameters. The average error, maximum error, and root mean square error can quantify the differences between the predicted values of the model and the sample points. It is evident that these errors for both objective parameters are significantly lower than the acceptable standards. The determination coefficient R 2 gauges the fit between the approximation model and the sample points. For both objective variables, the R 2 = 1 , indicating the high reliability of the selected approximation model. Therefore, the Kriging model can effectively fit the relationship between design variables and the objective parameters.

3.4. Multi-Objective Optimization Algorithm

The Isight platform provides five multi-objective optimization algorithms: Weighting Method, Non-Dominated Sorting Genetic Algorithm-II (NSGA-II), Neighborhood Cultivation Genetic (NCGA), Archive-Based Micro Genetic Algorithm (AMGA), and Hybrid Multi-Gradient Pareto Explorer (PE). In this study, NSGA-II was employed for its superior exploration capabilities, effectively identifying individuals on the Pareto frontier during the multi-objective optimization process, thereby enhancing the advancement capability of the Pareto front [32]. The range of optimization variables is set based on the range of design variables determined in Table 3. A population size of 100, genetic generations of 100, and default settings for other parameters were used. The optimization objectives were to maximize y1 and minimize y2, with equal weighting for both objectives ( W e i g h t = 1 ). A solution set of size 104 was obtained through the NSGA-II, and the distribution of the optimized population is presented in Figure 10. The Pareto solution set represents a collection of outstanding individuals during the genetic optimization process, and the selected optimal result is the optimal point on the frontier of the Pareto solution set which represents the best individual performance. The Pareto frontier solution set is located in the lower right of the solution set, where y1 is maximized and y2 is minimized. An optimized solution was chosen from the Pareto frontier solution set for validation. The geometric parameters of the hydrofoil equipped with the Gurney flap are shown in Table 7, and its structure is displayed in Figure 11.

4. Results and Analysis

4.1. Numerical Simulation Results of the Hydrofoil Equipped with the Optimized Gurney Flap

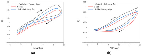
Sinusoidal pitching oscillation simulations were conducted for the hydrofoil equipped with the optimized Gurney flap under the same conditions as above, using the optimized objective parameters in Table 7. Figure 12 illustrates the dynamic coefficient hysteresis loops of the clean hydrofoil the hydrofoil equipped with the initial Gurney flap and the hydrofoil equipped with the optimized Gurney flap over one oscillation cycle. It can be observed from the graph that the hydrofoil equipped with the optimized Gurney flap significantly enhances C l over nearly the entire range of angle of attack. Additionally, within a small range of angle of attack, C d increases slightly, while it increases significantly within a large range of angle of attack. The processed simulated data yields the optimized target values for the optimized hydrofoil, as shown in Table 8, indicating a noticeable improvement in lift compared to the clean hydrofoil and the initial hydrofoil. However, the fluctuation during oscillation also increases. A comparison of the optimized target results obtained from numerical simulation and genetic algorithm optimization is presented in Table 9, showing a relative error of 2.4137% for y2, and only 0.4690% for y1. The small discrepancies between the optimized target results obtained from the genetic algorithm and simulation calculations validate the accuracy of the optimized target values of the Pareto front solution set obtained by the genetic algorithm optimization.

4.2. Analysis of the Mechanism of Gurney Flap

Figure 13 presents the distribution of the surface pressure coefficients   C p for the clean hydrofoil and the hydrofoil equipped with the optimized Gurney flap at different angles of attack during the upstroke and downstroke phases. Within a small range of angle of attack, there is a significant increase in the C p on the pressure side and a noticeable decrease on the suction side of the hydrofoil, leading to an amplified pressure difference between the pressure and suction sides and enhancing the carrying capacity. The   C l of the hydrofoil is obtained by numerical integration of the pressure over the area enclosed by the pressure distribution curve in the graph, where a larger area corresponds to a greater lift generated by the hydrofoil. Within a large range of angle of attack, there is a relatively small increase in the C p on the pressure side of the hydrofoil and a small decrease on the suction side. However, the pressure difference between the two sides still increases, explaining the reduced lift enhancement effect within a larger range of angle of attack compared to the effect within a smaller range. It can be observed that, at angles of attack of 10° and 15°, the pressure difference between the two surfaces of the hydrofoil during the upstroke is greater than during the downstroke, resulting in a more significant increase in the   C l during the upstroke. As the pressure difference between the two surfaces of the hydrofoil vary at different angles of attack, the   C l of the hydrofoil experiences varying degrees of improvement throughout the entire range of angle of attack, resulting in an overall enhancement of the C l of the hydrofoil throughout the entire range of angle of attack.
Figure 14 illustrates the pressure distribution contours of the clean hydrofoil and the hydrofoil equipped with the optimized Gurney flap at different angles of attack during the upstroke and downstroke phases. It can be observed that, with an increase in the angle of attack during the upstroke phase, the low-pressure region on the pressure side gradually transitions into a high-pressure region, and the area of the high-pressure region gradually increases. The installation of the Gurney flap causes compression of the flow near the trailing edge of the hydrofoil, resulting in the appearance of a high-pressure region near the trailing edge, and the overall pressure on the pressure side increases as the angle of attack increases. The rear of the Gurney flap becomes a negative pressure region, leading to an increase in the drag and explaining the increase in the drag coefficient within a certain range of angle of attack. The low-pressure region on the suction side gradually extends toward the trailing edge as the angle of attack continues to increase, and the low-pressure region of the hydrofoil equipped with the Gurney flap converges with the low-pressure region behind the Gurney flap. The increasing area of the low-pressure region on the suction side effectively increases the effective curvature of the hydrofoil, thereby increasing the pressure difference between the upper and lower surfaces of the hydrofoil, consequently enhancing its carrying capacity. The pressure distribution contours of the hydrofoil during the downstroke phase are similar to that during the upstroke phase, explaining the varying degrees of C l improvement throughout the entire range of angle of attack.
Figure 15 depicts the streamlines of the flow field and velocity contours for the clean hydrofoil and the hydrofoil equipped with the optimized Gurney flap at various angles of attack during the upstroke and downstroke phases. For small angles of attack during the upstroke phase, the flow field around the clean hydrofoil remains attached to the surface, while the hydrofoil equipped with the optimized Gurney flap generates vortices near the Gurney flap. The upstream vortex on the Gurney flap leads to decreased velocity and increased pressure on the pressure side of the hydrofoil, while the downstream region exhibits a strong counterclockwise vortex resulting in reduced pressure and increased suction, ultimately increasing the lift. This is also supported by the pressure distribution in Figure 13. As the angle of attack increases, these vortices gradually diminish and dissipate. At an angle of attack of 18°, severe flow separation occurs. It can be observed that both the clean hydrofoil and the hydrofoil equipped with the optimized Gurney flap exhibit two vortices of opposite directions at their trailing edges. The counterclockwise vortex at the trailing edge of the hydrofoil equipped with the optimized Gurney flap is larger than that of the clean hydrofoil, leading to a larger negative pressure area and a significant increase in drag for the hydrofoil at the high range of angle of attack. During the downstroke phase, as the angle of attack decreases, the vortices near the hydrofoil’s trailing edge diminish, and the flow separation gradually disappears.

4.3. Optimization Recommendations for Geometric Parameters of the Gurney Flap

This study confirmed the accuracy of the dynamic performance parameters of the hydrofoil equipped with the Gurney flap obtained through a genetic algorithm and provides recommendations for selecting geometric parameters to add Gurney flaps to hydrofoils, as shown in Table 10. The optimization recommendations for geometric parameters of the Gurney flaps were derived from the Pareto frontier. Gurney flap I results in a relatively small increase in the overall C l of the hydrofoil during the oscillation process and reduces force fluctuation. Gurney flap II increases the C l by approximately 37% during the oscillation process but increases force fluctuation acting on the hydrofoil during oscillation. Gurney flap III brings about a 52% increase in lift for the hydrofoil but introduces more severe force fluctuations on the hydrofoil compared to the clean hydrofoil.

5. Conclusions

In this paper, we study the sinusoidal pitching oscillation of the S809 hydrofoil and establish a multi-objective optimization design system based on the Isight platform. The geometric parameters of the Gurney flap, including the height of the Gurney flap, the width of the Gurney flap, the installation location of the Gurney flap, and the installation angle of the Gurney flap, are optimized by using the NGSA-II, and the dynamic performance of the hydrofoil during oscillation is quantified. Ultimately, recommendations for geometric parameters of the hydrofoil equipped with the Gurney flap are provided to optimize its dynamic performance. The optimization process leads to the following conclusions:
(1)
The Gurney flap effectively enhances the dynamic performance of the hydrofoil. Compared to the clean hydrofoil, the hydrofoil equipped with the optimized Gurney flap exhibits a significant increase in C l throughout the entire oscillation process. Although the drag coefficient also increases, it overall enhances the dynamic performance of the hydrofoil.
(2)
The utilization of the optimal Latin hypercube design and the Kriging model for optimizing the geometric parameters of the Gurney flap is both reasonable and accurate. Furthermore, quantifying the dynamic performance of the hydrofoil during oscillation effectively characterizes its dynamic performance.
(3)
The Gurney flap alters the flow characteristics at the hydrofoil’s trailing edge, thereby influencing the hydrofoil’s performance. It increases the pressure difference between the pressure and suction surfaces of the hydrofoil, thus enhancing the hydrofoil’s lift. This study can provide a reference for the effect of Gurney flap geometric parameters on the performance of tidal turbines.

Author Contributions

Conceptualization, B.H.; validation, X.Z. and W.Y.; formal analysis, X.Z.; investigation, L.D.; resources, W.Y.; data curation, L.D.; writing—original draft preparation, B.H. and X.Z.; writing—review and editing, B.H. and X.Z.; project administration, B.H.; funding acquisition, B.H. All authors have read and agreed to the published version of the manuscript.

Funding

This study was financially supported by the National Natural Science Foundation of China (Grant No. U23B20107).

Institutional Review Board Statement

Not applicable.

Informed Consent Statement

Not applicable.

Data Availability Statement

The original contributions presented in the study are included in the article, further inquiries can be directed to the corresponding author.

Conflicts of Interest

The authors declare no conflicts of interest.

Nomenclature

c Chord length
C l Lift coefficient
C d Drag coefficient
u Freestream velocity
f e x a c t Exact solution value
r i j Refinement ratio
p Convergence accuracy
α mean   Mean angle of attack of the oscillation
α a m p Oscillatory amplitude of angle of attack
T Cycle of the oscillation
f Frequency of the oscillation
ω Circular frequency of oscillation
k Reduced frequency
C p Pressure coefficient
Abbreviations
GCIGrid Convergence Index
CFDComputational fluid dynamic
DOEDesign of experiments

References

  1. Ahmed, B.M.; Ping, H.; Vikas, K.; Yoshihiro, H.; Kumar, T.B.; Khalilur, R.M. Economic feasibility of marine renewable energy: Review. Front. Mar. Sci. 2022, 9, 988513. [Google Scholar]
  2. Ming, L.; Haojie, L.; Shijie, Z.; Manikandan, S.K.G.; Xinman, G.; Chung, L.T.; Sunliang, C. State-of-the-art review of the flexibility and feasibility of emerging offshore and coastal ocean energy technologies in East and Southeast Asia. Renew. Sustain. Energy Rev. 2022, 162, 112404. [Google Scholar]
  3. Wang, Z.; Zhuang, M. Leading-edge serrations for performance improvement on a vertical-axis wind turbine at low tip-speed-ratios. Appl. Energy 2017, 208, 1184–1197. [Google Scholar] [CrossRef]
  4. Wang, P.; Wang, L.; Huang, B.; Wu, R.; Wang, Y. The effects of vortex generators on the characteristics of the tip hydrofoil and the horizontal axis tidal turbine blade. Renew. Energy 2024, 224, 120116. [Google Scholar] [CrossRef]
  5. Mao, Z.; Zhang, T.; Yang, G.; Tian, W. Effects of Gurney Flaps on the Performance of a Horizontal Axis Ocean Current Turbine. J. Mar. Sci. Eng. 2023, 11, 2188. [Google Scholar] [CrossRef]
  6. Myose, R.; Papadakis, M.; Heron, I. Gurney Flap Experiments on Airfoils, Wings, and Reflection Plane Model. J. Aircr. 1998, 35, 206–211. [Google Scholar] [CrossRef]
  7. Amini, Y.; Emdad, H.; Farid, M. Adjoint shape optimization of airfoils with attached Gurney flap. Aerosp. Sci. Technol. 2015, 41, 216–228. [Google Scholar] [CrossRef]
  8. Liebeck; Robert, H. Design of Subsonic Airfoils for High Lift. J. Aircr. 1978, 15, 547–561. [Google Scholar] [CrossRef]
  9. Aramendia, I.; Fernandez-Gamiz, U.; Zulueta, E.; Saenz-Aguirre, A.; Teso-Fz-Betoño, D. Parametric Study of a Gurney Flap Implementation in a DU91W(2)250 Airfoil. Energies 2019, 12, 294. [Google Scholar] [CrossRef]
  10. Mubassira, S.; Muna, F.I.; Inam, M.I. Numerical Investigation of Aerodynamic Characteristics of NACA 4312 Airfoil with Gurney Flap. J. Eng. Adv. 2021, 2, 63–70. [Google Scholar] [CrossRef]
  11. Sumaryada, T.; Jaya, A.M.; Kartono, A. Simulating the Aerodynamics Profiles of NACA 4312 Airfoil in Various Incoming Airspeed and Gurney Flap Angle. Omega J. Fis. Dan Pendidik. Fis. 2018, 4, 1. [Google Scholar] [CrossRef]
  12. Hao, L.; Gao, Y. Effect of Gurney Flap Geometry on a S809 Airfoil. Int. J. Aerospace Eng. 2019, 2019, 9875968. [Google Scholar] [CrossRef]
  13. Abdelrahman, M.A.; Mohamed, W.; Al-Dosoky, M.W.; Higazy, M.G.; Shahin, I. Aerodynamics Performance of Multi Gurney Flaps Configurations on Airfoil. Eng. Res. J. 2020, 1, 34–42. [Google Scholar]
  14. Vandan, C.; Srinivas, G. Numerical investigation of aerodynamic characteristics of naca 23112 using passive flow control technique–gurney flaps. Cogent Eng. 2023, 10, 2222566. [Google Scholar]
  15. Tyagi, A.; Singh, P.; Rao, A.; Kumar, G.; Singh, R.K. A novel framework for optimizing Gurney flaps using RBF surrogate model and cuckoo search algorithm. Acta Mech. 2024, 235, 3385–3404. [Google Scholar] [CrossRef]
  16. Gerontakos, P.; Lee, T. Oscillating Wing Loadings with Trailing-Edge Strips. J. Aircr. 2006, 43, 428–436. [Google Scholar] [CrossRef]
  17. Xie, Y.H.; Jiang, W.; Lu, K.; Zhang, D. Numerical investigation into energy extraction of flapping airfoil with Gurney flaps. Energy 2016, 109, 694–702. [Google Scholar] [CrossRef]
  18. Masdari, M.; Mousavi, M.; Tahani, M. Dynamic stall of an airfoil with different mounting angle of gurney flap. Aircr. Eng. Aerosp. Tec. 2020, 92, 1037–1048. [Google Scholar] [CrossRef]
  19. Zheng, Z.; Chen, L. Aerodynamic performance and wake development of NACA 0018 airfoil with serrated gurney flaps. Front. Energy Res. 2024, 12, 1363402. [Google Scholar] [CrossRef]
  20. Maughmer, M.D.; Bramesfeld, G. Experimental Investigation of Gurney Flaps. J. Aircr. 2008, 45, 2062–2067. [Google Scholar] [CrossRef]
  21. Chandrasekhara, M.S.; Martin, P.B.; Tung, C. Compressible Dynamic Stall Performance of a Variable Droop Leading Edge Airfoil with a Gurney Flap. J. Am. Helicopter Soc. 2008, 53, 18–25. [Google Scholar] [CrossRef][Green Version]
  22. Cole, J.A.; Vieira, B.A.O.; Coder, J.G.; Premi, A.; Maughmer, M.D. An Experimental Investigation into the Effect of Gurney Flaps on Various Airfoils. J. Aircr. 2013, 50, 1287–1294. [Google Scholar] [CrossRef]
  23. Zhang, H.; Zhao, Z.; Zhou, G.; Kang, S. Experimental investigation of the effect of Gurney flap on du93-w-210 airfoil aerodynamics performance. Taiyangneng Xuebao/Acta Energiae Solaris Sinica 2017, 38, 601–606. [Google Scholar]
  24. Yang, J.; Yang, H.; Zhu, W.; Li, N.; Yuan, Y. Experimental Study on Aerodynamic Characteristics of a Gurney Flap on a Wind Turbine Airfoil under High Turbulent Flow Condition. Appl. Sci. 2020, 10, 7258. [Google Scholar] [CrossRef]
  25. Chandra, S.; Tyagi, R. Study of Eppler 423 Airfoil with Gurney Flap and Vortex Generators. Adv. Aerosp. Sci. Technol. 2020, 5, 1–19. [Google Scholar] [CrossRef][Green Version]
  26. Arivoli, D.; Singh, I. Effect of Gurney flap on the vortex-dominated flow over low-AR wings. Exp. Fluids Exp. Methods Appl. Fluid Flow 2023, 64, 68. [Google Scholar] [CrossRef]
  27. Ivankovi, M.; Manolesos, M.; Jentzsch, M.; Kozmar, H.; Nayeri, C.N. Dynamic Stall of Vertical-Axis-Wind-Turbine Rotor Blades Equipped with Gurney Flaps and Vortex Generators; IOP Publishing Ltd.: Bristol, UK, 2024. [Google Scholar]
  28. Huang, B.; Wang, P.; Wang, L.; Cao, T.; Wu, D.; Wu, P. A combined method of CFD simulation and modified Beddoes-Leishman model to predict the dynamic stall characterizations of S809 airfoil. Renew. Energ. 2021, 179, 1636–1649. [Google Scholar] [CrossRef]
  29. Roache, P. Perspective: A Method for Uniform Reporting of Grid Refinement Studies. J. Fluids Eng. T Asme 1994, 116, 405–413. [Google Scholar] [CrossRef]
  30. Xing, T.; Stern, F. Factors of Safety for Richardson Extrapolation. J. Fluids Eng. 2009, 132, 061403. [Google Scholar] [CrossRef]
  31. Yu, G.H.; Zhu, X.C.; Du, Z.H. Numerical simulation of a wind turbine airfoil: Dynamic stall and comparison with experiments. Proc. Inst. Mech. Eng. Part A J. Power Energy 2010, 224, 657–677. [Google Scholar] [CrossRef]
  32. Deb, K.; Agrawal, S.; Pratap, A.; Meyarivan, T. A fast and elitist multiobjective genetic algorithm: NSGA-II. IEEE Trans. Evol. Comput. 2002, 6, 182–197. [Google Scholar] [CrossRef]
Figure 1. Schematic of boundary conditions.
Figure 1. Schematic of boundary conditions.
Jmse 12 01147 g001
Figure 2. Grid of the computation domain.
Figure 2. Grid of the computation domain.
Jmse 12 01147 g002
Figure 3. Schematic of the hydrofoil pitching oscillation in a sinusoidal motion.
Figure 3. Schematic of the hydrofoil pitching oscillation in a sinusoidal motion.
Jmse 12 01147 g003
Figure 4. The structural diagram of the hydrofoil equipped the initial Gurney flap.
Figure 4. The structural diagram of the hydrofoil equipped the initial Gurney flap.
Jmse 12 01147 g004
Figure 5. The detailed grid of the hydrofoil equipped with the initial Gurney flap.
Figure 5. The detailed grid of the hydrofoil equipped with the initial Gurney flap.
Jmse 12 01147 g005
Figure 6. The dynamic coefficient hysteresis loops of the clean hydrofoil and the hydrofoil equipped with the initial Gurney flap: (a) C l and (b) C d . (An upward-rightward pointing arrow indicates the hydrofoil’s pitching-up movement, whereas a downward-leftward pointing arrow denotes the hydrofoil’s pitching-down movement.)
Figure 6. The dynamic coefficient hysteresis loops of the clean hydrofoil and the hydrofoil equipped with the initial Gurney flap: (a) C l and (b) C d . (An upward-rightward pointing arrow indicates the hydrofoil’s pitching-up movement, whereas a downward-leftward pointing arrow denotes the hydrofoil’s pitching-down movement.)
Jmse 12 01147 g006
Figure 7. Quantitative objectives for dynamic performance of the hydrofoil: (a) y1 and (b) y2.
Figure 7. Quantitative objectives for dynamic performance of the hydrofoil: (a) y1 and (b) y2.
Jmse 12 01147 g007
Figure 8. The organizational chart of the optimization process.
Figure 8. The organizational chart of the optimization process.
Jmse 12 01147 g008
Figure 9. Different designs of experiments.
Figure 9. Different designs of experiments.
Jmse 12 01147 g009
Figure 10. Pareto solution set.
Figure 10. Pareto solution set.
Jmse 12 01147 g010
Figure 11. The structural diagram of the hydrofoil equipped the optimized Gurney flap.
Figure 11. The structural diagram of the hydrofoil equipped the optimized Gurney flap.
Jmse 12 01147 g011
Figure 12. The dynamic coefficient hysteresis loops of different hydrofoils: (a) C l and (b) C d . (An upward-rightward pointing arrow indicates the hydrofoil’s pitching-up movement, whereas a downward-leftward pointing arrow denotes the hydrofoil’s pitching-down movement.)
Figure 12. The dynamic coefficient hysteresis loops of different hydrofoils: (a) C l and (b) C d . (An upward-rightward pointing arrow indicates the hydrofoil’s pitching-up movement, whereas a downward-leftward pointing arrow denotes the hydrofoil’s pitching-down movement.)
Jmse 12 01147 g012
Figure 13. The surface pressure distribution of the clean hydrofoil and the hydrofoil equipped with the optimized Gurney flap at different angles of attack.
Figure 13. The surface pressure distribution of the clean hydrofoil and the hydrofoil equipped with the optimized Gurney flap at different angles of attack.
Jmse 12 01147 g013
Figure 14. The pressure contours of the clean hydrofoil and the hydrofoil equipped with the optimized Gurney flap at different angles of attack.
Figure 14. The pressure contours of the clean hydrofoil and the hydrofoil equipped with the optimized Gurney flap at different angles of attack.
Jmse 12 01147 g014
Figure 15. The streamlines of the clean hydrofoil and the hydrofoil equipped with the Gurney flap at different angles of attack.
Figure 15. The streamlines of the clean hydrofoil and the hydrofoil equipped with the Gurney flap at different angles of attack.
Jmse 12 01147 g015
Table 1. Calculating grid sensitivity study.
Table 1. Calculating grid sensitivity study.
Grid Nodes C l C d
Grid I119,6531.11520.0400
Grid II174,7881.12400.0393
Grid III257,5781.12460.0392
Table 2. Extrapolated result of the three grids for C l and C d .
Table 2. Extrapolated result of the three grids for C l and C d .
GCI12 (%)Numerical Value (Medium Grid)fexactError (%)
C l 0.00451.12401.12460.0534
C d 0.05010.03930.03920.2551
Table 3. Variable ranges of optimization design for Gurney flap.
Table 3. Variable ranges of optimization design for Gurney flap.
VariableInitialMinimumMaximum
Height1.25%c1%c5%c
Width0.5%c0.2%c1%c
Location5%c0%c15%c
Angle90°30°150°
Table 4. Sample data of optimal Latin hypercube design.
Table 4. Sample data of optimal Latin hypercube design.
No.HeightWidthLocationAngleNo.HeighWidthLocationAngle
13.3050.98611.44129.66312.8310.36312.242.2
22.1530.3360.51117.46324.5930.76910.68143.9
33.1690.2812.0374.75333.2370.95913.2250.34
43.5760.8511.27111.36343.37316.3656.44
53.1020.6889.1552.37352.2880.9461.7878.81
63.6440.7150.7662.54364.7970.9053.5680.85
71.8810.5669.6686.95372.6270.7028.64131.69
83.5080.59314.24125.593810.83711.9582.88
94.3220.29513.7372.71392.8980.6072.54141.86
103.9150.3221.53145.93401.4750.4988.1438.14
111.6780.2682.840.17411.7460.24110.17109.32
123.0340.4315.3434.07422.7630.6344.3291.02
134.0510.4857.37139.83434.9320.6753.81123.56
143.7120.8785.59150442.9660.2545.85115.42
154.2540.7295.0830451.2710.394.0784.92
162.4240.7833.3132.03462.4920.4031593.05
171.9490.66113.9848.31474.6610.3084.58105.25
182.5590.79713.4795.08481.610.4446.1137.8
191.0680.7566.86119.49494.4580.86414.49101.19
204.7290.82410.4254.41504.5250.4172.2946.27
211.5420.89212.46133.73511.2030.7424.8370.68
224.390.4719.9236.1523.9830.5120103.22
231.1360.34912.7164.58534.1860.27.1260.51
244.8640.586.6176.78542.0850.9323.05135.76
251.8140.9198.944.24552.6950.37610.93147.97
2650.52511.69107.29561.4070.6471.02113.39
271.3390.53912.97127.63573.780.6214.7568.64
284.1190.22711.19121.53582.3560.2147.6366.61
292.220.9737.8899.15593.8470.818.3997.12
302.0170.5530.2558.47603.4410.4589.4188.98
Table 5. Numerical simulation data of samples.
Table 5. Numerical simulation data of samples.
No.y1y2No.y1y2No.y1y2
121.89865.67122122.76085.92394119.22734.9863
225.49956.71002220.20885.19134225.09266.5585
326.84156.97772316.50184.41124328.95107.7434
427.81627.37202423.23097.10234425.06766.5222
521.49945.56522518.93734.98794521.11325.4791
627.16786.78162627.34597.09624619.81515.2258
719.78505.11112716.63904.46464729.19177.8252
822.30705.76362825.48796.52474819.14404.9120
924.22416.26692921.72535.64664927.47127.2069
1025.52896.68013024.35476.31905025.87036.6603
1121.00525.38233117.55475.08045120.06515.1884
1220.67985.32963223.43246.07025230.05548.1526
1324.40106.34963320.53225.31415325.17666.4958
1422.49705.79073423.99156.18005422.58055.8966
1521.72135.60113524.37366.37175518.33734.8684
1621.80255.41973628.73457.60585623.19726.0799
1716.73344.83713721.21835.48385722.22315.7311
1820.30585.29403816.53004.40325821.88495.7081
1915.80094.60453923.38716.07435925.83516.7301
2024.10116.19234016.99474.70496024.76386.4304
Table 6. Error analysis of Kriging Model.
Table 6. Error analysis of Kriging Model.
TypeAverageMaximumRoot Mean SquareR-Squared
Standard0.20.30.20.9
y11.2877 × 10−164.9847 × 10−161.9572 × 10−161
y27.5013 × 10−172.3688 × 10−161.3330 × 10−161
Table 7. The geometric parameters of the hydrofoil equipped the optimized Gurney flap.
Table 7. The geometric parameters of the hydrofoil equipped the optimized Gurney flap.
Optimization ObjectiveHeightWidthLocationAngle
Initial value1.25%c0.50%c5.00%c90.00°
Optimization value3.05%c0.59%c1.64%c40.13°
Table 8. Dynamic performance parameters of each hydrofoil by the numerical simulation.
Table 8. Dynamic performance parameters of each hydrofoil by the numerical simulation.
Objective VariableClean HydrofoilThe Initial HydrofoilThe Optimized Hydrofoil
y117.438420.380123.8109
y24.43885.27376.0070
Table 9. Dynamic performance parameters of different methods.
Table 9. Dynamic performance parameters of different methods.
Objective VariableNumerical SimulationGenetic AlgorithmRelative Error (%)
y123.810923.92310.4690
y26.00705.86202.4137
Table 10. Optimization recommendations for the geometric parameters.
Table 10. Optimization recommendations for the geometric parameters.
HydrofoilHeightWidthLocationAngley1y2
Clean////17.43844.4388
Gurney Flap I1.00%c0.43%c10.72%c88.64°17.69044.3596
Gurney Flap II3.05%c0.59%c1.64%c40.13°23.81096.0070
Gurney Flap III3.31%c0.53%c1.64%c54.90°26.50216.4766
Disclaimer/Publisher’s Note: The statements, opinions and data contained in all publications are solely those of the individual author(s) and contributor(s) and not of MDPI and/or the editor(s). MDPI and/or the editor(s) disclaim responsibility for any injury to people or property resulting from any ideas, methods, instructions or products referred to in the content.

Share and Cite

MDPI and ACS Style

Zhang, X.; Yao, W.; Ding, L.; Huang, B. Multi-Objective Optimization Design of Dynamic Performance of Hydrofoil with Gurney Flap. J. Mar. Sci. Eng. 2024, 12, 1147. https://doi.org/10.3390/jmse12071147

AMA Style

Zhang X, Yao W, Ding L, Huang B. Multi-Objective Optimization Design of Dynamic Performance of Hydrofoil with Gurney Flap. Journal of Marine Science and Engineering. 2024; 12(7):1147. https://doi.org/10.3390/jmse12071147

Chicago/Turabian Style

Zhang, Xiangyun, Wuping Yao, Lan Ding, and Bin Huang. 2024. "Multi-Objective Optimization Design of Dynamic Performance of Hydrofoil with Gurney Flap" Journal of Marine Science and Engineering 12, no. 7: 1147. https://doi.org/10.3390/jmse12071147

APA Style

Zhang, X., Yao, W., Ding, L., & Huang, B. (2024). Multi-Objective Optimization Design of Dynamic Performance of Hydrofoil with Gurney Flap. Journal of Marine Science and Engineering, 12(7), 1147. https://doi.org/10.3390/jmse12071147

Note that from the first issue of 2016, this journal uses article numbers instead of page numbers. See further details here.

Article Metrics

Back to TopTop