Estimation of Significant Wave Height Using Wave-Radar Images
Abstract
1. Introduction
2. Methodology
2.1. Overall Procedure
2.2. Shadowing-Based Significant Wave Height Estimation
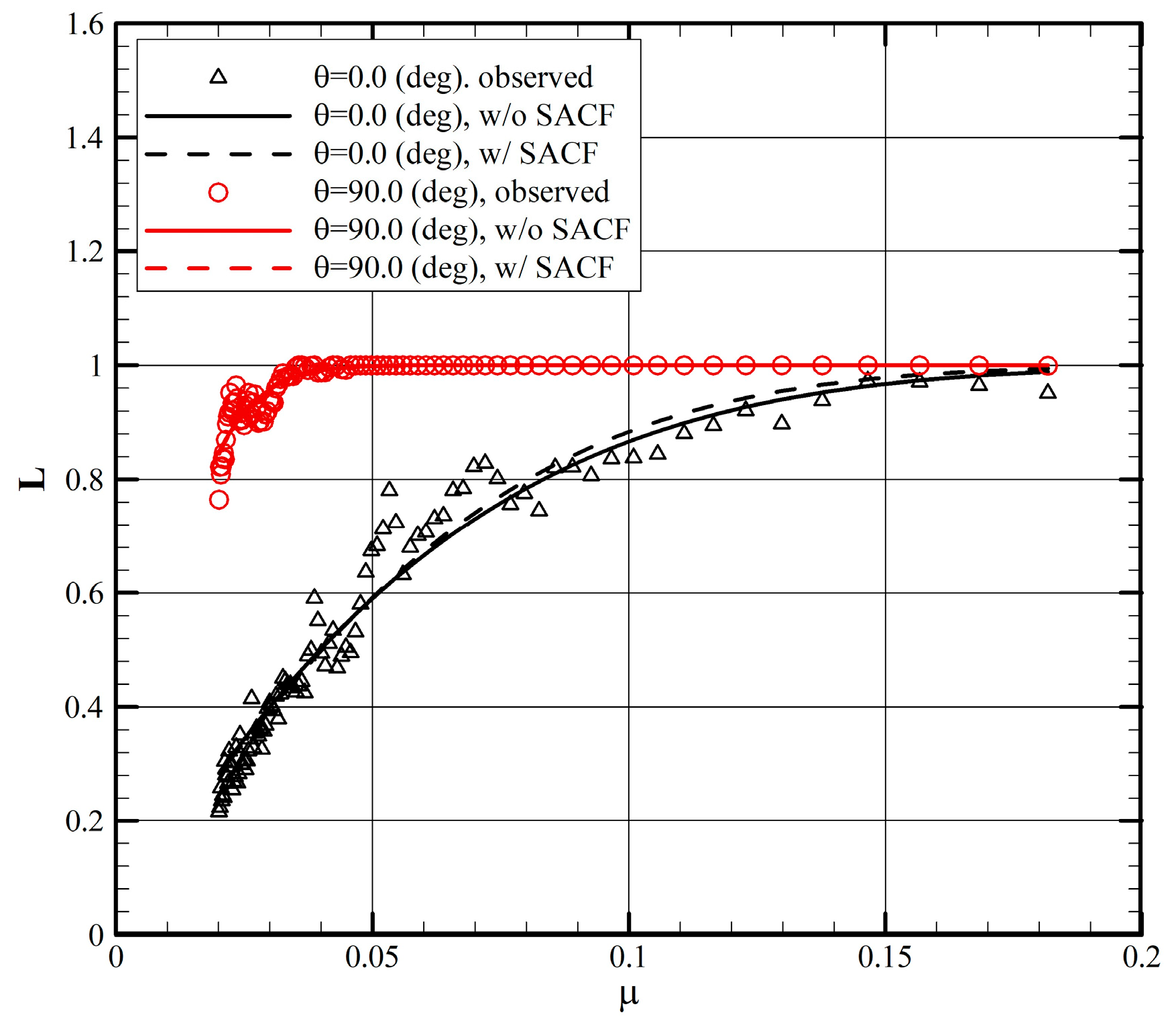
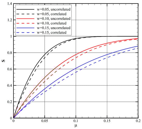
2.2.1. Fitting of the Illumination Ratio with the Smith Function
2.2.2. Total Mean Surface Slope Estimation
2.2.3. Significant Wave Height Calculation
2.3. FFT-Based Spectral Analysis
2.3.1. Mean-Shift Modification
2.3.2. Energy-Level Calibration
2.3.3. Three-Dimensional Fast Fourier Transform (3D-FFT)
2.3.4. Spectral Component Modification
2.4. Originality of the Proposed HS Estimation Procedure
3. Results and Discussion
3.1. Validation Using Synthetic Radar Images
3.1.1. Generation of Synthetic Radar Images
3.1.2. Results of Significant Wave Height Estimation
3.2. Application for Real Radar Images
3.2.1. Dataset of Real Radar Images
3.2.2. Results of Significant Wave Height Estimation: Ieodo Dataset
3.2.3. Results of Significant Wave Height Estimation: NIMS Dataset
4. Conclusions
- Rigorous consideration of the physical characteristics of the ocean wave field, including the SACF effect, orthogonality of the mean surface slope, and the relationship between sea state parameters, enables accurate shadowing-based significant wave height estimation without any independent measurement database.
- To validate the proposed methodology, simulation-based synthetic radar images are generated and employed for the estimation of significant wave heights. Across various sea state conditions, the enhanced method consistently improves prediction accuracy, showcasing its capability for accurate and significant wave height prediction.
- For the HS estimation, the same procedures and parameters, such as the SACF form, fitting range for mean surface slope, and spectrum modification parameters, are used for two independent real radar image datasets. The estimation results are both in good agreement with the reference measurements, indicating the robustness of the proposed shadowing-based HS estimation technique for various ocean environments and marine radar systems.
- Although the real radar images used in this study are not complete in terms of the amount of dataset and range of sea state severity, it is encouraging that, considering that the proposed technique is in its early development stage, its effectiveness and physical validity have been demonstrated through the present study. For a more systematic validation of the present method, comparisons with much longer measurement data should be made in the future study.
Author Contributions
Funding
Institutional Review Board Statement
Informed Consent Statement
Data Availability Statement
Acknowledgments
Conflicts of Interest
Nomenclature
| A(kx, ky, ω) | Complex wave amplitude |
| dx | Spatial resolution of radar image (x-axis) |
| dy | Spatial resolution of radar image (y-axis) |
| g | Gravitational acceleration |
| HS | Significant wave height |
| h | Water depth |
| hr | Radar height |
| kx | Wave numbers along the x-axis |
| ky | Wave numbers along the y-axis |
| L | Illumination ratio |
| l0 | Empirical fitting parameters for SACF |
| MTF | Modulation transfer function |
| m0 | Zeroth-order spectral moment |
| m4 | Fourth-order spectral moment |
| p0 | Empirical fitting parameters for SACF |
| q | Wave slope |
| Rmin | Minimum sensing radius |
| Rmax | Maximum sensing radius |
| r | Range from radar |
| SACF | Spatial autocorrelation function |
| S(μ(r); w(θ)) | Smith function |
| S3D | 3D power spectrum |
| Sf | Filtered 3D power spectrum |
| Sf(MTF) | MTF applied a 3D power spectrum |
| Su(μ(r); w(θ)) | Uncorrelated Smith function |
| Sc(μ(r); w(θ)) | Correlated Smith function |
| Ŝ(ζ0, q0, μ(r); σ, w(θ)) | Shadowing probability density function |
| T | Duration of the time window |
| Tmean | Mean period |
| uc | x-directional surface current |
| V(μ(r); w(θ)) | Smith variance |
| vc | y-directional surface current |
| w | Standard deviation of the wave slope |
| west | Azimuthal surface slope |
| wtotal | Total mean surface slope |
| αMTF | Scaling coefficient of MTF |
| βMTF | Exponent of MTF |
| βmean | Mean-shift parameter |
| Ω | Visibility function |
| ζ | Wave elevation |
| ζexact | Exact wave elevation for synthesized wave fields |
| θ | Azimuthal direction |
| θmin | Minimum azimuthal range of radar measurement |
| θmax | Maximum azimuthal range of radar measurement |
| κ1 | Filtering range of a high-pass filter |
| κ2 | Filtering range of dispersion filter |
| μ | Slope of the radar ray |
| ρC | Calibrated radar image intensity |
| ρm | Mean-shifted radar image intensity |
| ρmean | Mean value of image intensity for non-shadowed regions |
| ρS | Measured radar image intensity |
| σ | Standard deviation of wave elevation |
| χM | Main wave direction |
| χs | Wave spreading angle |
| ω | Wave frequency |
| Δt | Time interval of images |
References
- Lee, J.-H.; Nam, Y.-S.; Kim, Y.; Liu, Y.; Lee, J.; Yang, H. Real-time digital twin for ship operation in waves. Ocean Eng. 2022, 266, 112867. [Google Scholar] [CrossRef]
- Dankert, H.; Rosenthal, W. Ocean surface determination from X-band radar-image sequences. J. Geophys. Res. 2004, 109, C04016. [Google Scholar] [CrossRef]
- Nieto-Borge, J.C.; RodrÍguez, G.R.; Hessner, K.; González, P.I. Inversion of marine radar images for surface wave analysis. J. Atmos. Ocean. Technol. 2004, 21, 1291–1300. [Google Scholar] [CrossRef]
- Young, I.R.; Rosenthal, W.; Ziemer, F. A three-dimensional analysis of marine radar images for the determination of ocean wave directionality and surface currents. J. Geophys. Res. 1985, 90, 1049–1059. [Google Scholar] [CrossRef]
- Qi, Y.; Xiao, W.; Yue, D.K.P. Phase-resolved wave field simulation calibration of sea surface reconstruction using noncoherent marine radar. J. Atmos. Ocean. Technol. 2016, 33, 1135–1149. [Google Scholar] [CrossRef]
- Zinchenko, V.; Vasilyev, L.; Halstensen, S.O.; Liu, Y. An improved algorithm for phase-resolved sea surface reconstruction from X-band marine radar images. J. Ocean Eng. Mar. Energy 2021, 7, 97–114. [Google Scholar] [CrossRef]
- Lee, J.-H.; Nam, Y.-S.; Lee, J.; Yang, H.; Kim, Y.; Liu, Y. Real-time prediction of ocean wave fields and ship operation. In Proceedings of the 34th Symposium on Naval Hydrodynamics, Washington DC, USA, 26 June–1 July 2022. [Google Scholar]
- Nieto-Borge, J.C.; Hessner, K.; Reichert, K. Estimation of the significant wave height with X-band nautical radars. In Proceedings of the 18th International Conference on Offshore Mechanics and Arctic Engineering (OMAE), St. Johns, NL, Canada, 11–16 July 1999. [Google Scholar]
- Nieto-Borge, J.C.; Hessner, K.; Jarabo-Amores, P.; De La Mata-Moya, D. Signal-to-noise ratio analysis to estimate ocean wave heights from X-band marine radar image time series. IET Radar Sonar Navig. 2008, 2, 35–41. [Google Scholar] [CrossRef]
- Vicen-Bueno, R.; Lido-Muela, C.; Nieto-Borge, J.C. Estimate of significant wave height from non-coherent marine radar images by multilayer perceptrons. EURASIP J. Adv. Signal Process. 2012, 2012, 84. [Google Scholar] [CrossRef]
- Salcedo-Sanz, S.; Nieto-Borge, J.C.; Carro-Calvo, L.; Cuadra, L.; Hessner, K.; Alexandre, E. Significant wave height estimation using SVR algorithms and shadowing information from simulated and real measured X-band radar images of the sea surface. Ocean Eng. 2015, 101, 244–253. [Google Scholar] [CrossRef]
- Duan, W.; Yang, K.; Huang, L.; Ma, X. Numerical investigations on wave remote sensing from synthetic X-band radar sea clutter images by using deep convolutional neural networks. Remote Sens. 2020, 12, 1117. [Google Scholar] [CrossRef]
- Chen, X.; Huang, W. Spatial–temporal convolutional gated recurrent unit network for significant wave height estimation from shipborne marine radar data. IEEE Trans. Geosci. Remote Sens. 2022, 60, 4201711. [Google Scholar] [CrossRef]
- Gangeskar, R. An algorithm for estimation of wave height from shadowing in X-band radar sea surface images. IEEE Trans. Geosci. Remote Sens. 2014, 52, 3373–3381. [Google Scholar] [CrossRef]
- Liu, X.; Huang, W.; Gill, E.W. Comparison of wave height measurement algorithms for ship-borne X-band nautical radar. Can. J. Remote Sens. 2016, 42, 343–353. [Google Scholar] [CrossRef]
- Carrasco, R.; Horstmann, J.; Seemann, J. Significant wave height measured by coherent X-band radar. IEEE Trans. Geosci. Remote Sens. 2017, 55, 5355–5365. [Google Scholar] [CrossRef]
- Smith, B. Geometrical shadowing of a random rough surface. IEEE Trans. Antennas Propag. 1967, 15, 668–671. [Google Scholar] [CrossRef]
- Bourlier, C.; Saillard, J.; Berginc, G. Effect of correlation between shadowing and shadowed points on the Wagner and Smith monostatic one-dimensional shadowing functions. IEEE Trans. Antennas Propag. 2000, 48, 437–446. [Google Scholar] [CrossRef]
- Bourlier, C.; Berginc, G.; Saillard, J. Monostatic and bistatic statistical shadowing functions from a one-dimensional stationary randomly rough surface according to the observation length: I. Single scattering. Waves Random Complex Media 2002, 12, 145–173. [Google Scholar] [CrossRef]
- Massel, S.R. On the geometry of ocean surface waves. Oceanologia 2011, 53, 521–548. [Google Scholar] [CrossRef]
- Nam, Y.-S.; Lee, J.-H.; Liu, Y.; Kim, Y. Enhanced wave-field reconstruction based on stochastic characteristics of shadowing effects. In Proceedings of the 37th International Workshop on Water Waves and Floating Bodies (IWWWFB), Giardini Naxos, Italy, 10–13 April 2022. [Google Scholar]
- Mittendorf, M.; Nielsen, U.D.; Bingham, H.B. Capturing the effect of biofouling on ships by incremental machine learning. Appl. Ocean Res. 2023, 138, 103619. [Google Scholar] [CrossRef]
- Wijaya, A.P.; Naaijen, P.; Van Groesen, E. Reconstruction and future prediction of the sea surface from radar observations. Ocean Eng. 2015, 106, 261–270. [Google Scholar] [CrossRef]
- Wijaya, A.P.; Van Groesen, E. Determination of the significant wave height from shadowing in synthetic radar images. Ocean Eng. 2016, 114, 204–215. [Google Scholar] [CrossRef]
- Korea Hydrographic and Oceanographic Agency. Ocean Research Stations. Available online: http://www.khoa.go.kr/eng/ors/index.do (accessed on 1 July 2024).
- Korea Meteorological Administration. Ship for Climate Change Watch Gisang 1. Available online: http://www.climate.go.kr/home/observation/observation3.php (accessed on 1 July 2024).
- Ieodo Ocean Research Station in 2021. Available online: https://commons.m.wikimedia.org/wiki/File:Ieodo_Ocean_Research_Station_in_2021.jpg (accessed on 1 July 2024).


















| Designation | Value |
|---|---|
| Mean-shift parameter, βmean | 0.9 |
| High-pass filtering range, κ1 | 1.0 |
| Dispersion filtering range, κ2 | 2.0 |
| Exponent of MTF, βMTF | 0.3 |
| Designation | Existing Method [14] | Present Study (Enhancement) |
|---|---|---|
| Fitting with the Smith function |
|
|
| Total mean surface slope estimation |
|
|
| HS calculation |
|
|
| Mean Period, Tmean (s) | Spreading Angle, χS (deg) | Significant Wave Height, HS,exact (m) |
|---|---|---|
| 9.0 | 60.0 | 2.0~6.0 |
| 90.0 | 2.0~6.0 | |
| 12.0 | 60.0 | 2.0~6.0 |
| 90.0 | 2.0~6.0 | |
| 15.0 | 60.0 | 2.0~6.0 |
| 90.0 | 2.0~6.0 |
| Designation | Value |
|---|---|
| Radar height, hr (m) | 40.0 |
| Minimum sensing radius, Rmin (m) | 200.0 |
| Maximum sensing radius, Rmax (m) | 2000.0 |
| Spatial resolution, dx = dy (m) | 10.0 |
| Length of the time window, T (s) | 100.0 |
| Time interval, dt (s) | 1.0 |
| Designation | Ieodo Dataset | NIMS Dataset |
|---|---|---|
| Measurement location | 32.1250° N, 125.1830° E | 36.2500° N, 126.2085° E |
| Collecting time | 15 June 2008, 00:00 ~15 June 2008, 23:00 | 16 October 2022, 18:00 ~17 October 2022, 12:30 |
| Radar height, hr (m) | 35.0 | 11.5 |
| Sensing distance (Rmin and Rmax) (m) | [400.0, 2050.0] | [300.0, 1264.8] |
| Azimuth range (θmin and θmax) (deg) | [−100.0, 90.0] | [90.0, 280.2] |
| Spatial resolution, dx = dy (m) | 6.0 | 5.0 |
| Antenna rotation speed (rpm) | 47.0 | 24.0 |
| Number of images for each sequence | 64 | 32 |
| Water depth, h (m) | 41.0 | 16.0 |
Disclaimer/Publisher’s Note: The statements, opinions and data contained in all publications are solely those of the individual author(s) and contributor(s) and not of MDPI and/or the editor(s). MDPI and/or the editor(s) disclaim responsibility for any injury to people or property resulting from any ideas, methods, instructions or products referred to in the content. |
© 2024 by the authors. Licensee MDPI, Basel, Switzerland. This article is an open access article distributed under the terms and conditions of the Creative Commons Attribution (CC BY) license (https://creativecommons.org/licenses/by/4.0/).
Share and Cite
Lee, J.-H.; Nam, Y.-S.; Lee, J.; Liu, Y.; Kim, Y. Estimation of Significant Wave Height Using Wave-Radar Images. J. Mar. Sci. Eng. 2024, 12, 1134. https://doi.org/10.3390/jmse12071134
Lee J-H, Nam Y-S, Lee J, Liu Y, Kim Y. Estimation of Significant Wave Height Using Wave-Radar Images. Journal of Marine Science and Engineering. 2024; 12(7):1134. https://doi.org/10.3390/jmse12071134
Chicago/Turabian StyleLee, Jae-Hoon, Yoon-Seo Nam, Jaehak Lee, Yuming Liu, and Yonghwan Kim. 2024. "Estimation of Significant Wave Height Using Wave-Radar Images" Journal of Marine Science and Engineering 12, no. 7: 1134. https://doi.org/10.3390/jmse12071134
APA StyleLee, J.-H., Nam, Y.-S., Lee, J., Liu, Y., & Kim, Y. (2024). Estimation of Significant Wave Height Using Wave-Radar Images. Journal of Marine Science and Engineering, 12(7), 1134. https://doi.org/10.3390/jmse12071134

