Fusion of Multi-Layer Attention Mechanisms and CNN-LSTM for Fault Prediction in Marine Diesel Engines
Abstract
1. Introduction
- By introducing multi-layer attention fusion into CNN-LSTM, the model can select optimal features and capture long-term dependencies, thereby improving prediction accuracy under different operating conditions.
- We conducted extensive experiments using engine data under various navigation conditions, and the results demonstrate that the proposed CNN-LSTM-MLA model exhibited satisfactory accuracy and adaptability in different operating conditions.
- The combination of hybrid deep learning models and the EWMA control chart effectively identified anomalies in the long-term signal sequences of the diesel engine, indicating that it is suitable for predicting progressive faults that evolve slowly.
2. Methodology
2.1. Marine Diesel Engine and Data
2.2. Framework of the Proposed Method

2.3. Model Construction
2.3.1. CNN Fusion Subnet Based on Self-Attention
2.3.2. LSTM Fusion Subnet Based on Multi-Head Attention
3. Experimental Results and Discussion
3.1. Datasets
3.1.1. Experimental Data Sources
3.1.2. Data Preprocessing
3.2. Evaluation Metrics
3.3. Results and Discussion
3.3.1. Prediction Results Using the Proposed Method





3.3.2. Prediction Results Characterized by Metrics
3.3.3. Analysis of Results of the Method without the Attention Mechanism
3.4. Fault Prediction Research
3.4.1. Analysis of Normal Operation of the Marine Diesel Engine
3.4.2. Analysis of Abnormal Operation of the Marine Diesel Engine
4. Conclusions
- We conducted extensive experiments with three typical datasets of marine engine operating conditions to thoroughly validate the effectiveness of the proposed method. The results show that CNN-LSTM-MLA outperformed the state-of-the-art methods under various engine operating conditions, exhibiting strong applicability and robustness.
- Results from the ablation study indicated that the self-attention and multi-head attention modules played a crucial role in improving the predictive accuracy. The multi-layer attention mechanism effectively captured the internal relevance and long-term dependencies of features, significantly enhancing the model’s predictive capabilities.
- Under the complex operating conditions of the engine, the predictive performance of each model generally deteriorated; however, the CNN-LSTM-MLA model continued to exhibit the best performance, which further demonstrated its advantages in handling complex conditions.
- The analysis of the residual distribution during normal engine operation revealed that the warning thresholds differed significantly under various operating conditions. Traditional fixed threshold methods may result in false alarms or missed detections.
- The operational status of the engine can be monitored in real time, and potential faults can be predicted by analyzing the residuals between actual inputs and the expected EGT using the EWMA control chart. The experimental results of the abnormal operation cases demonstrate that this method can promptly detect anomalies in the engine under various operating conditions and offer support for predictive maintenance of marine diesel engines.
Author Contributions
Funding
Institutional Review Board Statement
Informed Consent Statement
Data Availability Statement
Conflicts of Interest
References
- UNCTAD. Review of Maritime Transport 2021, 2021st ed.; United Nations: New York, NY, USA, 2021. [Google Scholar]
- Ančić, I.; Theotokatos, G.; Vladimir, N. Towards Improving Energy Efficiency Regulations of Bulk Carriers. Ocean Eng. 2018, 148, 193–201. [Google Scholar] [CrossRef]
- Taljegard, M.; Brynolf, S.; Grahn, M.; Andersson, K.; Johnson, H. Cost-Effective Choices of Marine Fuels in a Carbon-Constrained World: Results from a Global Energy Model. Environ. Sci. Technol. 2014, 48, 12986–12993. [Google Scholar] [CrossRef] [PubMed]
- Reddy, S.M.; Sharma, N.; Gupta, N.; Agarwal, A.K. Effect of Non-Edible Oil and Its Biodiesel on Wear of Fuel Injection Equipment Components of a Genset Engine. Fuel 2018, 222, 841–851. [Google Scholar] [CrossRef]
- Cai, C.; Weng, X.; Zhang, C. A Novel Approach for Marine Diesel Engine Fault Diagnosis. Cluster Comput. 2017, 20, 1691–1702. [Google Scholar] [CrossRef]
- Liu, Y.; Zhang, J.; Ma, L. A Fault Diagnosis Approach for Diesel Engines Based on Self-Adaptive WVD, Improved FCBF and PECOC-RVM. Neurocomputing 2016, 177, 600–611. [Google Scholar] [CrossRef]
- Bai, H.; Zhan, X.; Yan, H.; Wen, L.; Jia, X. Combination of Optimized Variational Mode Decomposition and Deep Transfer Learning: A Better Fault Diagnosis Approach for Diesel Engines. Electronics 2022, 11, 1969. [Google Scholar] [CrossRef]
- Wang, J.; Sun, X.; Zhang, C.; Ma, X. An Integrated Methodology for System-Level Early Fault Detection and Isolation. Expert Syst. Appl. 2022, 201, 117080. [Google Scholar] [CrossRef]
- Velasco-Gallego, C.; Lazakis, I. RADIS: A Real-Time Anomaly Detection Intelligent System for Fault Diagnosis of Marine Machinery. Expert Syst. Appl. 2022, 204, 117634. [Google Scholar] [CrossRef]
- Malm, L.A.; Enstrom, J.; Hager, L.M.; Stalberg, P. Main Engine Damage Study; The Swedish Club: Hong Kong, China, 2020. [Google Scholar]
- Raptodimos, Y.; Lazakis, I. Application of NARX Neural Network for Predicting Marine Engine Performance Parameters. Ships Offshore Struct. 2020, 15, 443–452. [Google Scholar] [CrossRef]
- Apostolidis, A.; Bouriquet, N.; Stamoulis, K.P. AI-Based Exhaust Gas Temperature Prediction for Trustworthy Safety-Critical Applications. Aerospace 2022, 9, 722. [Google Scholar] [CrossRef]
- Kandemir, C.; Celik, M. A Human Reliability Assessment of Marine Auxiliary Machinery Maintenance Operations under Ship PMS and Maintenance 4.0 Concepts. Cogn. Technol. Work 2020, 22, 473–487. [Google Scholar] [CrossRef]
- Ahmad, R.; Kamaruddin, S. An Overview of Time-Based and Condition-Based Maintenance in Industrial Application. Comput. Ind. Eng. 2012, 63, 135–149. [Google Scholar] [CrossRef]
- Straub, J. Expert System Gradient Descent Style Training: Development of a Defensible Artificial Intelligence Technique. Knowl.-Based Syst. 2021, 228, 107275. [Google Scholar] [CrossRef]
- Jiang, W.; Hu, W.; Xie, C. A New Engine Fault Diagnosis Method Based on Multi-Sensor Data Fusion. Appl. Sci. 2017, 7, 280. [Google Scholar] [CrossRef]
- Xu, X.; Yan, X.; Sheng, C.; Yuan, C.; Xu, D.; Yang, J. A Belief Rule-Based Expert System for Fault Diagnosis of Marine Diesel Engines. IEEE Trans. Syst. Man Cybern. Syst. 2020, 50, 656–672. [Google Scholar] [CrossRef]
- Gharib, H.; Kovács, G. Development of a New Expert System for Diagnosing Marine Diesel Engines Based on Real-Time Diagnostic Parameters. Stroj. Vestn. J. Mech. Eng. 2022, 68, 642–655. [Google Scholar] [CrossRef]
- Fu, C.; Lu, K.; Li, Q.; Xu, Y.; Gu, F.; Ball, A.D.; Zheng, Z. Physics-Based Modelling for On-Line Condition Monitoring of a Marine Engine System. J. Mar. Sci. Eng. JMSE 2023, 11, 1241. [Google Scholar] [CrossRef]
- Scappin, F.; Stefansson, S.H.; Haglind, F.; Andreasen, A.; Larsen, U. Validation of a Zero-Dimensional Model for Prediction of NOx and Engine Performance for Electronically Controlled Marine Two-Stroke Diesel Engines. Appl. Therm. Eng. 2012, 37, 344–352. [Google Scholar] [CrossRef]
- Llamas, X.; Eriksson, L. Control-Oriented Modeling of Two-Stroke Diesel Engines with Exhaust Gas Recirculation for Marine Applications. Proc. Inst. Mech. Eng. Part M J. Eng. Marit. Environ. 2019, 233, 551–574. [Google Scholar] [CrossRef]
- Moussa Nahim, H.; Younes, R.; Shraim, H.; Ouladsine, M. Modeling with Fault Integration of the Cooling and the Lubricating Systems in Marine Diesel Engine: Experimental Validation. IFAC-PapersOnLine 2016, 49, 570–575. [Google Scholar] [CrossRef]
- Pagán Rubio, J.A.; Vera-García, F.; Hernandez Grau, J.; Muñoz Cámara, J.; Albaladejo Hernandez, D. Marine Diesel Engine Failure Simulator Based on Thermodynamic Model. Appl. Therm. Eng. 2018, 144, 982–995. [Google Scholar] [CrossRef]
- Lang, X.; Wu, D.; Tian, W.; Zhang, C.; Ringsberg, J.W.; Mao, W. Fatigue Assessment Comparison between a Ship Motion-Based Data-Driven Model and a Direct Fatigue Calculation Method. J. Mar. Sci. Eng. JMSE 2023, 11, 2269. [Google Scholar] [CrossRef]
- Thurston, M.G.; Sullivan, M.R.; McConky, S.P. Exhaust-Gas Temperature Model and Prognostic Feature for Diesel Engines. Appl. Therm. Eng. 2023, 229, 120578. [Google Scholar] [CrossRef]
- García, E.; Quiles, E.; Correcher, A.; Morant, F. Marine NMEA 2000 Smart Sensors for Ship Batteries Supervision and Predictive Fault Diagnosis. Sensors 2019, 19, 4480. [Google Scholar] [CrossRef] [PubMed]
- Tan, W.L.; Nor, N.M.; Abu Bakar, M.Z.; Ahmad, Z.; Sata, S.A. Optimum Parameters for Fault Detection and Diagnosis System of Batch Reaction Using Multiple Neural Networks. J. Loss Prev. Process Ind. 2012, 25, 138–141. [Google Scholar] [CrossRef]
- Tamilselvan, P.; Wang, P. Failure Diagnosis Using Deep Belief Learning Based Health State Classification. Reliab. Eng. Syst. Saf. 2013, 115, 124–135. [Google Scholar] [CrossRef]
- Hong, C.W.; Kim, J. Exhaust Temperature Prediction for Gas Turbine Performance Estimation by Using Deep Learning. J. Electr. Eng. Technol. 2023, 18, 3117–3125. [Google Scholar] [CrossRef]
- Kumar, A.; Srivastava, A.; Goel, N.; McMaster, J. Exhaust Gas Temperature Data Prediction by Autoregressive Models. In Proceedings of the 2015 IEEE 28th Canadian Conference on Electrical and Computer Engineering (CCECE), Halifax, NS, Canada, 3–6 May 2015; pp. 976–981. [Google Scholar]
- Cha, J.; Ko, S.; Park, S.-Y.; Jeong, E. Fault Detection and Diagnosis Algorithms for Transient State of an Open-Cycle Liquid Rocket Engine Using Nonlinear Kalman Filter Methods. Acta Astronaut. 2019, 163, 147–156. [Google Scholar] [CrossRef]
- Ren, D.; Zeng, H.; Wang, X.; Pang, S.; Wang, J. Fault Diagnosis of Diesel Engine Lubrication System Based on Bayesian Network. In Proceedings of the 2020 6th International Conference on Control, Automation and Robotics (ICCAR), Singapore, 20–23 April 2020; pp. 423–429. [Google Scholar]
- Wang, Y.; Huang, Y.; Xiao, M.; Zhou, S.; Xiong, B.; Jin, Z. Medium-Long-Term Prediction of Water Level Based on an Improved Spatio-Temporal Attention Mechanism for Long Short-Term Memory Networks. J. Hydrol. 2023, 618, 129163. [Google Scholar] [CrossRef]
- Lazakis, I.; Raptodimos, Y.; Varelas, T. Predicting Ship Machinery System Condition through Analytical Reliability Tools and Artificial Neural Networks. Ocean Eng. 2018, 152, 404–415. [Google Scholar] [CrossRef]
- Tan, Y.; Tian, H.; Jiang, R.; Lin, Y.; Zhang, J. A Comparative Investigation of Data-Driven Approaches Based on One-Class Classifiers for Condition Monitoring of Marine Machinery System. Ocean Eng. 2020, 201, 107174. [Google Scholar] [CrossRef]
- Tan, Y.; Zhang, J.; Tian, H.; Jiang, D.; Guo, L.; Wang, G.; Lin, Y. Multi-Label Classification for Simultaneous Fault Diagnosis of Marine Machinery: A Comparative Study. Ocean Eng. 2021, 239, 109723. [Google Scholar] [CrossRef]
- Khan, A.; Sohail, A.; Zahoora, U.; Qureshi, A.S. A Survey of the Recent Architectures of Deep Convolutional Neural Networks. Artif. Intell. Rev. 2020, 53, 5455–5516. [Google Scholar] [CrossRef]
- Shahid, S.M.; Ko, S.; Kwon, S. Real-Time Abnormality Detection and Classification in Diesel Engine Operations with Convolutional Neural Network. Expert Syst. Appl. 2022, 192, 116233. [Google Scholar] [CrossRef]
- Zhou, Y.; Wang, Z.; Zuo, X.; Zhao, H. Identification of Wear Mechanisms of Main Bearings of Marine Diesel Engine Using Recurrence Plot Based on CNN Model. Wear 2023, 520–521, 204656. [Google Scholar] [CrossRef]
- Han, P.; Ellefsen, A.L.; Li, G.; Asoy, V.; Zhang, H. Fault Prognostics Using LSTM Networks: Application to Marine Diesel Engine. IEEE Sens. J. 2021, 21, 25986–25994. [Google Scholar] [CrossRef]
- Zhou, R.; Cao, J.; Zhang, G.; Yang, X.; Wang, X. Heat Load Forecasting of Marine Diesel Engine Based on Long Short-Term Memory Network. Appl. Sci. 2023, 13, 1099. [Google Scholar] [CrossRef]
- Velasco-Gallego, C.; Lazakis, I. Mar-RUL: A Remaining Useful Life Prediction Approach for Fault Prognostics of Marine Machinery. Appl. Ocean. Res. 2023, 140, 103735. [Google Scholar] [CrossRef]
- Li, F.; Gui, Z.; Zhang, Z.; Peng, D.; Tian, S.; Yuan, K.; Sun, Y.; Wu, H.; Gong, J.; Lei, Y. A Hierarchical Temporal Attention-Based LSTM Encoder-Decoder Model for Individual Mobility Prediction. Neurocomputing 2020, 403, 153–166. [Google Scholar] [CrossRef]
- Brauwers, G.; Frasincar, F. A General Survey on Attention Mechanisms in Deep Learning. IEEE Trans. Knowl. Data Eng. 2023, 35, 3279–3298. [Google Scholar] [CrossRef]
- Kiranyaz, S.; Gastli, A.; Ben-Brahim, L.; Al-Emadi, N.; Gabbouj, M. Real-Time Fault Detection and Identification for MMC Using 1-D Convolutional Neural Networks. IEEE Trans. Ind. Electron. 2019, 66, 8760–8771. [Google Scholar] [CrossRef]
- Cheliotis, M.; Lazakis, I.; Theotokatos, G. Machine Learning and Data-Driven Fault Detection for Ship Systems Operations. Ocean Eng. 2020, 216, 107968. [Google Scholar] [CrossRef]











| Technical Specifications | Details |
|---|---|
| Number of cylinders | 9 |
| Stroke | 4 |
| Power | 4050 kw |
| Engine speed | 750 rpm |
| Bore | 340 mm |
| Piston stroke | 400 mm |
| Firing order | 1-7-4-2-8-6-3-9-5 |
| Dataset | Constant-Speed Navigation | Maneuvering Navigation | Anchoring |
|---|---|---|---|
| Location | Beibu Gulf | Beibu Gulf | Yangpu Port |
| Time interval | 1 s | 1 s | 1 s |
| Speed over ground | [10, 10.5] | [0.5, 5.5] | [0, 1] |
| Number of samples | 28,800 | 8000 | 40,000 |
| Engine data collection | |||
| ) | [514.1, 519.3] | [345.5, 460.4] | [386.9, 401.1] |
| [89.1, 90.7] | [85.7, 88.6] | [86.1, 86.9] | |
| [48.6, 54.7] | [6.0, 28.7] | [12.4, 14.4] | |
| [15,410, 16,150] | [6930, 12,130] | [7896, 8267] |
| Method | Number of Convolution Kernels | Hidden State Size | Number of Attention Heads | Dropout | Learning Rate | Batch Size | Epochs |
|---|---|---|---|---|---|---|---|
| LSTM | / | 256 | / | 0.1 | 0.0045 | 62 | 150 |
| LSTM-ATT | / | 132 | / | 0.2 | 0.001 | 55 | 120 |
| CNN-LSTM | 75 | 168 | / | 0.4 | 0.0033 | 39 | 140 |
| CNN-LSTM-MLA | 50 | 135 | 4 | 0.2 | 0.0015 | 64 | 100 |
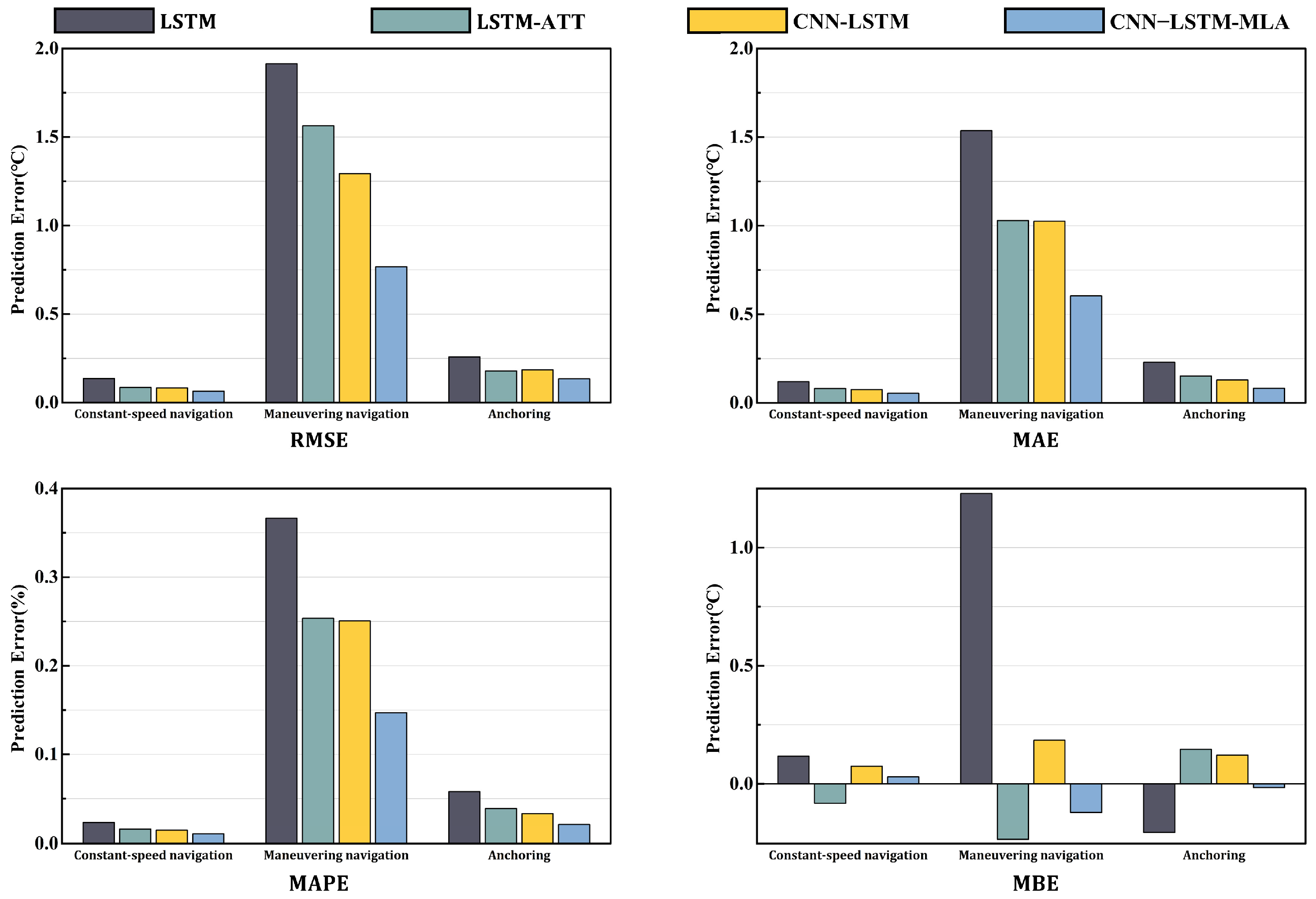
| Operating Condition | Method | RMSE | MAE | MAPE | MBE |
|---|---|---|---|---|---|
| Constant-speed navigation | LSTM | 0.1355 | 0.1196 | 0.0231 | 0.1179 |
| LSTM-ATT | 0.0850 | 0.0817 | 0.0158 | −0.0815 | |
| CNN-LSTM | 0.0824 | 0.0755 | 0.0146 | 0.0749 | |
| CNN-LSTM-MLA | 0.0654 | 0.0543 | 0.0105 | 0.0298 | |
| Maneuvering navigation | LSTM | 1.9141 | 1.5361 | 0.3665 | 1.2690 |
| LSTM-ATT | 1.5634 | 1.0299 | 0.2535 | −0.2324 | |
| CNN-LSTM | 1.2938 | 1.0249 | 0.2507 | 0.1845 | |
| CNN-LSTM-MLA | 0.7665 | 0.6036 | 0.1469 | −0.1207 | |
| Anchoring | LSTM | 0.2582 | 0.2288 | 0.0581 | −0.2049 |
| LSTM-ATT | 0.1790 | 0.1512 | 0.0387 | 0.1462 | |
| CNN-LSTM | 0.1850 | 0.1294 | 0.0329 | 0.1220 | |
| CNN-LSTM-MLA | 0.1345 | 0.0824 | 0.0209 | −0.0154 |
| Model | CNN | LSTM | SA | MHA | RMSE | MAE | MAPE |
|---|---|---|---|---|---|---|---|
| 1 CNN-LSTM | ✓ | ✓ | 0.1850 | 0.1294 | 0.0329 | ||
| 2 CNN-LSTM-SA | ✓ | ✓ | ✓ | 0.1537 | 0.0940 | 0.0238 | |
| 3 CNN-LSTM-MHA | ✓ | ✓ | ✓ | 0.1472 | 0.0889 | 0.0225 | |
| 4 CNN-LSTM-MLA | ✓ | ✓ | ✓ | ✓ | 0.1345 | 0.0824 | 0.0209 |
| Operating Condition | Case | Alteration | Starting Point of the Alteration | Number of Altered Samples |
|---|---|---|---|---|
| Constant-speed navigation | Injector nozzle wear | Increased | 2200 | 1400 |
| Exhaust valve corrosion | Decreased | 1125 | 2475 | |
| Maneuvering navigation | Injector nozzle wear | Increased | 1200 | 1200 |
| Exhaust valve corrosion | Decreased | 855 | 1545 | |
| Anchoring | Injector nozzle wear | Increased | 4500 | 2700 |
| Exhaust valve corrosion | Decreased | 3180 | 4020 |
Disclaimer/Publisher’s Note: The statements, opinions and data contained in all publications are solely those of the individual author(s) and contributor(s) and not of MDPI and/or the editor(s). MDPI and/or the editor(s) disclaim responsibility for any injury to people or property resulting from any ideas, methods, instructions or products referred to in the content. |
© 2024 by the authors. Licensee MDPI, Basel, Switzerland. This article is an open access article distributed under the terms and conditions of the Creative Commons Attribution (CC BY) license (https://creativecommons.org/licenses/by/4.0/).
Share and Cite
Sun, J.; Ren, H.; Duan, Y.; Yang, X.; Wang, D.; Tang, H. Fusion of Multi-Layer Attention Mechanisms and CNN-LSTM for Fault Prediction in Marine Diesel Engines. J. Mar. Sci. Eng. 2024, 12, 990. https://doi.org/10.3390/jmse12060990
Sun J, Ren H, Duan Y, Yang X, Wang D, Tang H. Fusion of Multi-Layer Attention Mechanisms and CNN-LSTM for Fault Prediction in Marine Diesel Engines. Journal of Marine Science and Engineering. 2024; 12(6):990. https://doi.org/10.3390/jmse12060990
Chicago/Turabian StyleSun, Jiawen, Hongxiang Ren, Yating Duan, Xiao Yang, Delong Wang, and Haina Tang. 2024. "Fusion of Multi-Layer Attention Mechanisms and CNN-LSTM for Fault Prediction in Marine Diesel Engines" Journal of Marine Science and Engineering 12, no. 6: 990. https://doi.org/10.3390/jmse12060990
APA StyleSun, J., Ren, H., Duan, Y., Yang, X., Wang, D., & Tang, H. (2024). Fusion of Multi-Layer Attention Mechanisms and CNN-LSTM for Fault Prediction in Marine Diesel Engines. Journal of Marine Science and Engineering, 12(6), 990. https://doi.org/10.3390/jmse12060990

