Influence of Well Layout on Submarine Slope Stability during Natural Gas Hydrate Development
Abstract
1. Introduction
2. Multifield Coupling Model for NGH Exploitation
2.1. Kinetic Equations of NGH Decomposition
2.2. Principle of Effective Stress
2.3. Conservation of Energy
2.4. Conservation of Mass
2.5. Physical Parameters of Reservoirs
2.6. Mechanical Properties of NGH-Bearing Sediments
2.7. Evaluation Criterion of Slope Stability
3. Stability of Submarine Slopes during NGH Exploitation via Well Patterns
3.1. Establishment of the Numerical Model
3.1.1. Model Overview
3.1.2. Model Parameters
3.2. Production and Slope Failure Dynamics
3.2.1. Production Dynamics
3.2.2. Failure Process of the Submarine Slope
3.3. Slope Stability during Exploitation through Well Patterns
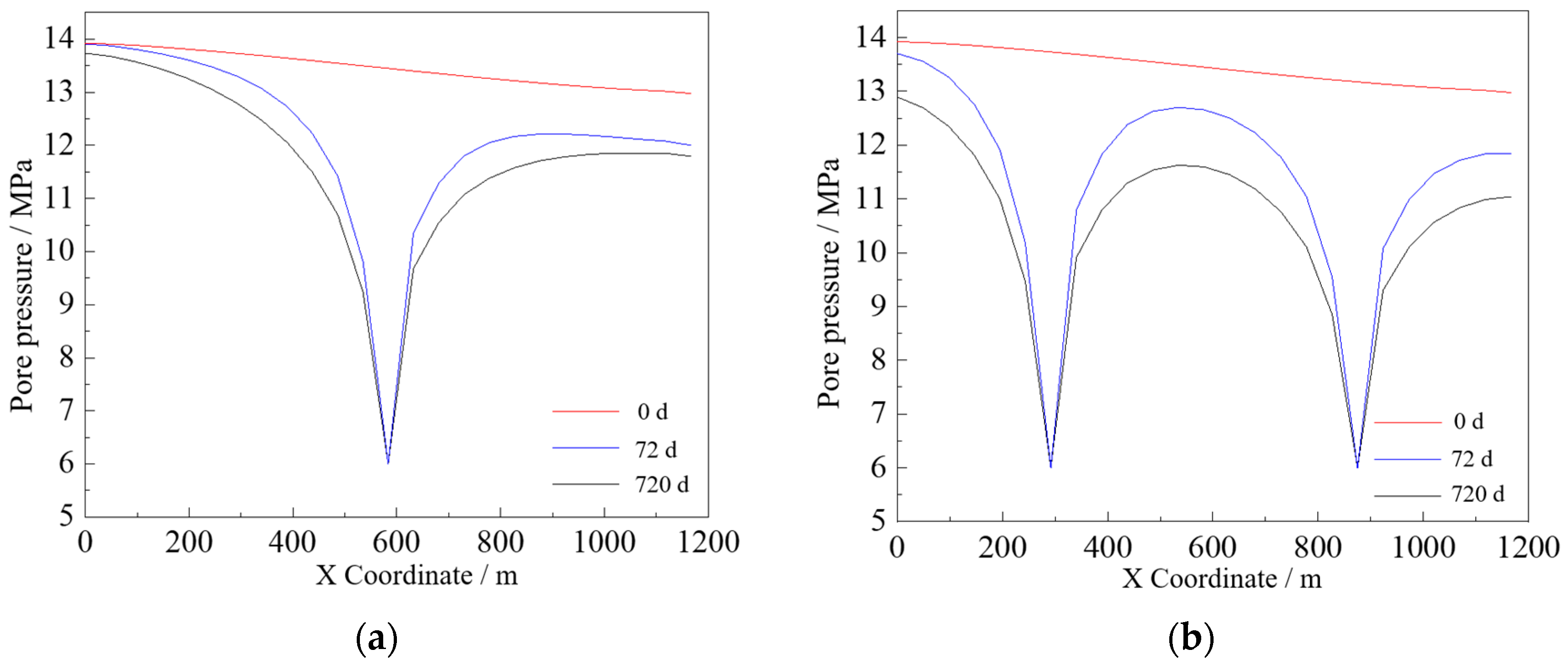
3.3.1. Linear Well Layout along the Slope Dip Direction
3.3.2. Linear Well Layout Perpendicular to the Slope Dip Direction
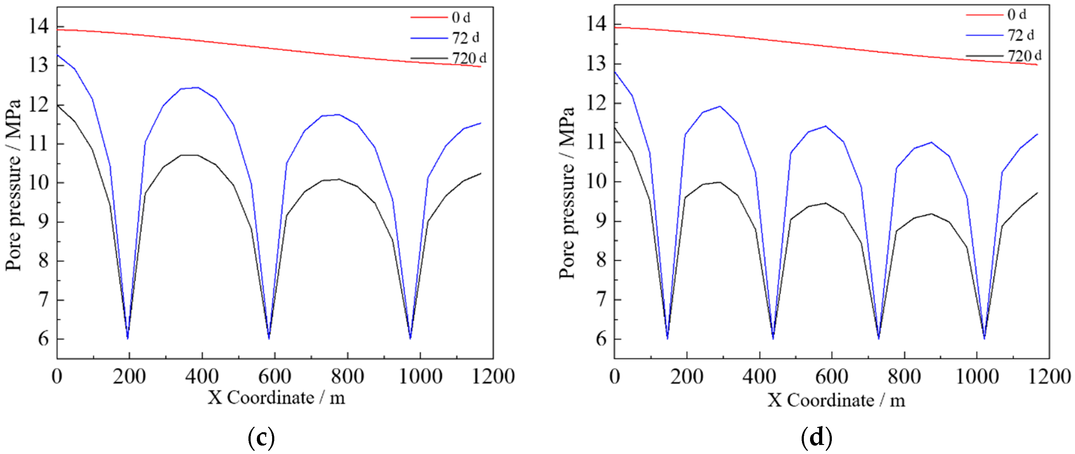
3.3.3. Arranging Well Patterns
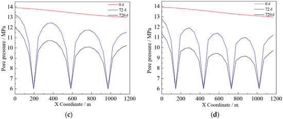
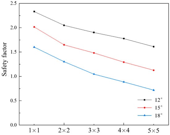
3.4. Influence of Well Spacing on Slope Stability under a Fixed Number of Wells
4. Conclusions
- (1)
- When exploiting NGHs, the decomposition degree of the NGHs around wells increases with increasing burial depth under the influence of the geothermal gradient. Affected by the difference in permeability among formations, the production pressure shows anisotropic propagation in formations, and finally, a cylindrical high-pressure-drop region with the wellbore as the axis and a radius of 50 m is formed. The process is independent of the number of wells and the well spacing density.
- (2)
- Because the NGH decomposition reduces the reservoir strength, the reservoir is compressed as a whole, accompanied by the settlement of overlying strata and the lifting of underlying strata. Influenced by gravity, plastic zones first appear in the NGH decomposition zone and the slope toe. With the further reduction in the strength of the formations, the plastic yield zone finally propagates throughout the slope. The yield zone does not pass through the NGH layer because the NGH decomposition zone is relatively small relative to the whole slope.
- (3)
- When adopting a linear well layout to exploit NGHs, arranging wells along the slope dip direction is more conducive to slope stability than arranging wells perpendicular to the slope dip direction under conditions of the same well spacing. When wells are arranged in the same direction, the slope stability is gradually enhanced with the widening of the well spacing.
- (4)
- If NGHs are exploited using a multiwell pattern, a larger scope of formations is influenced within the same exploitation time. Under these conditions, the slope exhibits a serious risk of failure when the slope dip is too large. The slope stability is improved with a reduction in the slope dip. Different from the well layout along a certain section, the depressurizing production of well patterns causes the upper part of the NGH reservoir to show a trend of overall settlement. With the increase in the well spacing density, the safety factor decreases.
Author Contributions
Funding
Institutional Review Board Statement
Informed Consent Statement
Data Availability Statement
Conflicts of Interest
References
- Chong, Z.R.; Yang, S.H.B.; Babu, P.; Linga, P.; Li, X.S. Review of natural gas hydrates as an energy resource: Prospects and challenges. Appl. Energy 2016, 162, 1633–1652. [Google Scholar] [CrossRef]
- Farahani, M.V.; Guo, X.; Zhang, L.; Yang, M.; Hassanpouryouzband, A.; Zhao, J.; Yang, J.; Song, Y.; Tohidi, B. Effect of thermal formation/dissociation cycles on the kinetics of formation and pore-scale distribution of methane hydrates in porous media: A magnetic resonance imaging study. Sustain. Energy Fuels 2021, 5, 1567–1583. [Google Scholar] [CrossRef]
- Farahani, M.V.; Hassanpouryouzband, A.; Yang, J.; Tohidi, B. Insights into the climate-driven evolution of gas hydrate-bearing permafrost sediments: Implications for prediction of environmental impacts and security of energy in cold regions. RSC Adv. 2021, 11, 14334–14346. [Google Scholar] [CrossRef]
- Li, X.; He, S. Progress in stability analysis of submarine slopes considering dissociation of gas hydrates. Environ. Earth Sci. 2012, 66, 741–747. [Google Scholar] [CrossRef]
- Sultan, N.; Cochonat, P.; Foucher, J.P.; Mienert, J. Effect of gas hydrates melting on seafloor slope instability. Mar. Geol. 2004, 213, 379–401. [Google Scholar] [CrossRef]
- Vanoudheusden, E.; Sultan, N.; Cochonat, P. Mechanical behaviour of unsaturated marine sediments: Experimental and theoretical approaches. Mar. Geol. 2004, 213, 323–342. [Google Scholar] [CrossRef]
- Paull, C.K.; Buelow, W.J.; Ussler, W.; Borowski, W.S. Increased continental-margin slumping frequency during sea-level lowstands above gas hydrate-bearing sediments. Geology 1996, 24, 143–146. [Google Scholar] [CrossRef]
- Lu, L.; Zhang, X.H.; Lu, X.B. Numerical study on the stratum’s responses due to natural gas hydrate dissociation. Ships Offshore Struct. 2017, 12, 775–780. [Google Scholar] [CrossRef]
- Yang, X. Study of Gas Hydrate and Submarine Landslide. Master’s Thesis, China University of Petroleum (East China), Qingdao, China, 2010. [Google Scholar]
- An, C.G.; Zhang, J.H.; Zhou, M. Limit Analysis on Mechanism of Low-angle Submarine Landslide Based on Upper Bound Energy Method. China Earthq. Eng. J. 2011, 33, 105–109. [Google Scholar]
- Song, B.; Cheng, Y.; Li, Q.; Han, Z.; Lv, Y. Simulation of submarine slope stability related to hydrate dissociation. Mar. Geol. Quat. Geol. 2019, 39, 182–192. [Google Scholar]
- Song, B.; Cheng, Y.; Yan, C.; Han, Z.; Ding, J.; Li, Y.; Wei, J. Influences of hydrate decomposition on submarine landslide. Landslides 2019, 16, 2127–2150. [Google Scholar] [CrossRef]
- Song, B.; Cheng, Y.; Yan, C.; Lyu, Y.; Wei, J.; Ding, J.; Li, Y. Seafloor subsidence response and submarine slope stability evaluation in response to hydrate dissociation. J. Nat. Gas Sci. Eng. 2019, 65, 197–211. [Google Scholar] [CrossRef]
- Yan, C.; Li, Y.; Cheng, Y.; Wei, J.; Tian, W.; Li, S.; Wang, Z. Multifield coupling mechanism in formations around a wellbore during the exploitation of methane hydrate with CO2 replacement. Energy 2022, 245, 123283. [Google Scholar] [CrossRef]
- Lin, T.; Fang, L. Submarine slope stability during depressurization and thermal stimulation hydrate production with horizontal wells. Chin. J. Theor. Appl. Mech. 2020, 52, 567–577. [Google Scholar]
- Tang, C.R.; Xu, X.G.; Sun, B.C.; Jiang, R. Influence factors and risk assessment for seabed landslides induced by natural gas hydrate decomposition. Mar. Geol. Front. 2021, 37, 14–21. [Google Scholar]
- Zhao, Y.; Hu, G.; Bu, Q.; Liu, L.; Zhao, J.; Sun, J.; Zhang, Z.; Ji, Y. Investigation on hydrate exploitation in submarine slope: Insights from discontinuous pillar exploitation. Ocean. Eng. 2024, 292, 116545. [Google Scholar] [CrossRef]
- Kim, H.C.; Bishnoi, P.R.; Heidemann, R.A.; Rizvi, S.S. Kinetics of methane hydrate decomposition. Chem. Eng. Sci. 1987, 42, 1645–1653. [Google Scholar] [CrossRef]
- Mohammadi, A.H.; Eslamimanesh, A.; Richon, D.; Gharagheizi, F.; Yazdizadeh, M.; Javanmardi, J.; Hamed, H.; Mojdeh, Z.; Saeedeh, B. Gas hydrate phase equilibrium in porous media: Mathematical modeling and correlation. Ind. Eng. Chem. Res. 2012, 51, 1062–1072. [Google Scholar] [CrossRef]
- Li, Y.; Cheng, Y.; Yan, C.; Song, L.; Liu, H.; Tian, W.; Ren, X. Mechanical study on the wellbore stability of horizontal wells in natural gas hydrate reservoirs. J. Nat. Gas Sci. Eng. 2020, 79, 103359. [Google Scholar] [CrossRef]
- Waite, W.F.; Santamarina, J.C.; Cortes, D.D.; Dugan, B.; Espinoza, D.N.; Germaine, J.; Jang, J.W.; Jung, T.J.; Kneafsey, H.; Shin, K.; et al. Physical properties of hydrate-bearing sediments. Rev. Geophys. 2009, 47, RG4003. [Google Scholar] [CrossRef]
- Wang, W. Analysis on Sand Production in Hydrate Exploitation in the South China Sea. Master’s Thesis, China University of Petroleum (East China), Qingdao, China, 2017. [Google Scholar]
- Wan, Y.; Wu, N.; Hu, G.; Xin, X.; Jin, G.; Liu, C.; Chen, Q. Reservoir stability in the process of natural gas hydrate production by depressurization in the Shenhu area of the South China Sea. Nat. Gas Ind. B 2018, 5, 631–643. [Google Scholar] [CrossRef]
- Wei, N.; Zhou, S.; Cui, Z.; Zhao, J.; Zhang, L.; Zhao, J. Evaluation of physical parameters and construction of a parameter classification system for natural gas hydrate in the northern South China Sea. Nat. Gas Ind. 2020, 40, 59–67. [Google Scholar]
- Zhang, X.H.; Lu, X.B.; Shi, Y.H.; Xia, Z. Study on the mechanical properties of hydrate-bearing silty clay. Mar. Pet. Geol. 2015, 67, 72–80. [Google Scholar] [CrossRef]
- Li, Z. Risk Assessment of Submarine Landslides in Multi-well Production in Hydrate Reservoir. Master’s Thesis, China University of Petroleum (East China), Qingdao, China, 2022. [Google Scholar]
- Zienkiewicz, O.C.; Humpheson, C.; Lewis, R.W. Associated and non-associated visco-plasticity and plasticity in soil mechanics. Geotechnique 1975, 25, 671–689. [Google Scholar] [CrossRef]
- Bru, G.; Fernández-Merodo, J.A.; García-Davalillo, J.C.; Herrera, G.; Fernández, J. Site scale modeling of slow-moving landslides, a 3D viscoplastic finite element modeling approach. Landslides 2018, 15, 257–272. [Google Scholar] [CrossRef]
- Jin, G.; Lei, H.; Xu, T.; Liu, L.; Xin, X.; Zhai, H.; Liu, C. Seafloor subsidence induced by gas recovery from a hydrate-bearing sediment using multiple well system. Mar. Pet. Geol. 2019, 107, 438–450. [Google Scholar] [CrossRef]
- Ye, J.; Qin, X.; Xie, W.; Lu, H.; Ma, B.; Qiu, H.; Liang, J.; Lu, J.; Kuang, Z.; Lu, C. Main progress of the second gas hydrate trial production in the South China Sea. Geol. China 2020, 47, 557–568. [Google Scholar]
- Yang, S.X.; Liang, J.Q.; Lu, J.A.; Qu, C.; Liu, B. New understandings on the characteristics and main controlling factors of gas hydrate reservoirs in the Shenhu area on the northern slope of the South China Sea. Earth Sci. Front. 2017, 24, 1–14. [Google Scholar]
- Li, P. Research on Well Pattern of Natural Gas Hydrate Depressurization Exploitation. Master’s Thesis, Harbin Engineering University, Harbin, China, 2017. [Google Scholar]

































| Parameter | Value | Unit |
|---|---|---|
| Specific heat capacity of formation | 1.0 | kJ·kg−1·°C−1 |
| Coefficient of thermal conductivity of formation | 1.0 | W·m−1·°C−1 |
| Density of formation | 2600 | kg·m−3 |
| Intrinsic permeability | 10 | mD |
| Geothermal gradient | 35 | °C·km−1 |
| Porosity | 0.4 | |
| Specific heat capacity of seawater | 4.2 | kJ·kg−1·°C−1 |
| Coefficient of thermal conductivity of seawater | 0.6 | W·m−1·°C−1 |
| Density of seawater | 1040 | kg·m−3 |
| Specific heat capacity of NGHs | 2.1 | kJ·kg−1·°C−1 |
| Coefficient of thermal conductivity of NGHs | 0.5 | W·m−1·°C−1 |
| NGH density | 910 | kg·m−3 |
Disclaimer/Publisher’s Note: The statements, opinions and data contained in all publications are solely those of the individual author(s) and contributor(s) and not of MDPI and/or the editor(s). MDPI and/or the editor(s) disclaim responsibility for any injury to people or property resulting from any ideas, methods, instructions or products referred to in the content. |
© 2024 by the authors. Licensee MDPI, Basel, Switzerland. This article is an open access article distributed under the terms and conditions of the Creative Commons Attribution (CC BY) license (https://creativecommons.org/licenses/by/4.0/).
Share and Cite
Zhou, G.; Yan, C.; Li, Z.; He, Y.; Tian, Z.; Cheng, Y. Influence of Well Layout on Submarine Slope Stability during Natural Gas Hydrate Development. J. Mar. Sci. Eng. 2024, 12, 991. https://doi.org/10.3390/jmse12060991
Zhou G, Yan C, Li Z, He Y, Tian Z, Cheng Y. Influence of Well Layout on Submarine Slope Stability during Natural Gas Hydrate Development. Journal of Marine Science and Engineering. 2024; 12(6):991. https://doi.org/10.3390/jmse12060991
Chicago/Turabian StyleZhou, Guangxu, Chuanliang Yan, Zhenqi Li, Yufa He, Zheng Tian, and Yuanfang Cheng. 2024. "Influence of Well Layout on Submarine Slope Stability during Natural Gas Hydrate Development" Journal of Marine Science and Engineering 12, no. 6: 991. https://doi.org/10.3390/jmse12060991
APA StyleZhou, G., Yan, C., Li, Z., He, Y., Tian, Z., & Cheng, Y. (2024). Influence of Well Layout on Submarine Slope Stability during Natural Gas Hydrate Development. Journal of Marine Science and Engineering, 12(6), 991. https://doi.org/10.3390/jmse12060991
