Application of a Statistical Regression Technique for Dynamic Analysis of Submarine Pipelines
Abstract
1. Introduction
2. Analyzing Procedure
2.1. Structural Model Application
2.2. Environmental Conditions and Load Assessment
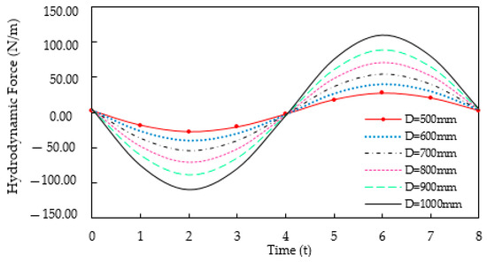
Description of Hydrodynamic Loads Acting on Pipeline
2.3. Time History Analyses
2.4. Regression Techniques Implemented
3. Numerical Results and Discussions
3.1. Natural Vibration Frequencies, Displacements, and Stresses of Pipeline Models
3.2. Comparative Results of Regression Models
Xk2 + β12X1X2 + β13X1X3 + … +β(k−1)kX(k−1)Xk+ε
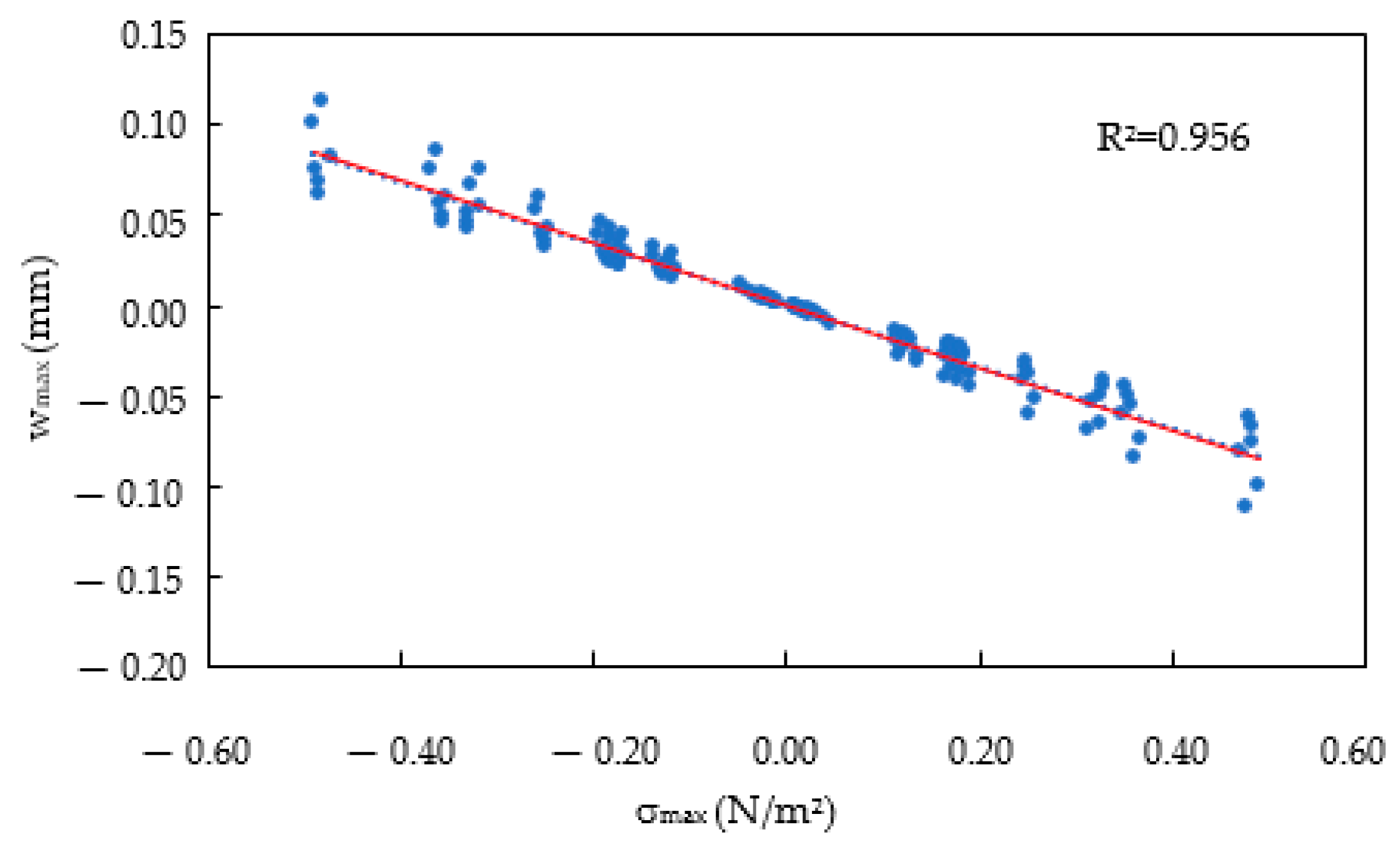
3.2.1. The Effect of Input Variables on Displacement Values
FH − 0.000109D × t + 0.000022tw × FH − 0.002251tw × T
3.2.2. The Effect of Input Variables on Stress Values
FH + 0.000334D × t + 0.000164tw × FH + 0.00894tw × t
3.2.3. The Effect of Input Variables on Natural Vibration Frequencies
4. Conclusions
Funding
Data Availability Statement
Conflicts of Interest
References
- Gong, S.W.; Lam, K.Y.; Lu, C. Structural analysis of a submarine pipeline subjected to underwater shock. Int. J. Press. Vessel. Pip. 2000, 77, 417–423. [Google Scholar] [CrossRef]
- Yang, H.; Wang, A. Dynamic stability analysis of pipeline based on reliability using surrogate model. J. Mar. Eng. Technol. 2013, 12, 75–84. [Google Scholar]
- Karampour, H.; Albermani, F.; Gross, J. On lateral and upheaval buckling of subsea pipelines. Eng. Struct. 2013, 52, 317–330. [Google Scholar] [CrossRef]
- Chen, W.; Liu, C.; Li, Y.; Chen, G.; Jeng, D.; Liao, C.; Yu, J. An integrated numerical model for the stability of artificial submarine slope under wave load. Coast. Eng. 2020, 158, 103698. [Google Scholar] [CrossRef]
- Hafez, K.A.; Abdelsalam, M.A.; Abdelhameed, A.N. Dynamic on-bottom stability analysis of subsea pipelines using finite element model-based general offshore analysis software: A case study. Beni-Suef Univ. J. Basic Appl. Sci. 2022, 11, 36. [Google Scholar] [CrossRef]
- Meniconi, S.; Brunone, B.; Tirello, L.; Rubin, A.; Cifrodelli, M.; Capponi, C. Transient Tests for Checking the Trieste Subsea Pipeline: Toward Field Tests. J. Mar. Sci. Eng. 2024, 12, 374. [Google Scholar] [CrossRef]
- Meniconi, S.; Brunone, B.; Tirello, L.; Rubin, A.; Cifrodelli, M.; Capponi, C. Transient Tests for Checking the Trieste Subsea Pipeline 2: Diving into Fault Detection. J. Mar. Sci. Eng. 2024, 12, 391. [Google Scholar] [CrossRef]
- Youssef, B.S.; Cassidy, M.J.; Tian, Y. Application of statistical analysis techniques to pipeline on-bottom stability analysis. J. Offshore Mech. Arct. Eng. 2013, 135, 031701. [Google Scholar] [CrossRef]
- Xu, H.; Sinha, S.K. A framework for statistical analysis of water pipeline field performance data. In Pipelines 2019; American Society of Civil Engineers: Reston, VA, USA, 2019; pp. 180–189. [Google Scholar]
- Zhang, Y.; Weng, W.G. Bayesian network model for buried gas pipeline failure analysis caused by corrosion and external interference. Reliab. Eng. Syst. Saf. 2020, 203, 107089. [Google Scholar] [CrossRef]
- Zhang, Y.; Wu, J.; Zhang, S.; Li, G.; Jeng, D.S.; Xu, J.; Tian, Z.; Xu, X. An optimal statistical regression model for predicting wave-induced equilibrium scour depth in sandy and silty seabeds beneath pipelines. Ocean. Eng. 2022, 258, 111709. [Google Scholar] [CrossRef]
- Foo CS, X.; Liao, C.; Chen, J. Two-dimensional numerical study of seabed response around a buried pipeline under wave and current loading. J. Mar. Sci. Eng. 2019, 7, 66. [Google Scholar]
- Guo, Z.; Hong, Y.; Jeng, D.S. Structure–Seabed Interactions in Marine Environments. J. Mar. Sci. Eng. 2021, 9, 972. [Google Scholar] [CrossRef]
- Cohen, J.; Cohen, P.; West, S.G.; Aiken, L.S. Applied Multiple Regression/Correlation Analysis for the Behavioral Sciences; Routledge: London, UK, 2013. [Google Scholar]
- Ducrozet, G.; Bouscasse, B.; Gouin, M.; Ferrant, P.; Bonnefoy, F. CN-Stream: Open-source library for nonlinear regular waves using stream function theory. arXiv 2019, arXiv:1901.10577. [Google Scholar]
- Sarpkaya, T. Morison’s Equation and the Wave Forces on Offshore Structures; Naval Civil Engineering Laboratory: Carmel, CA, USA, 1981; p. 0270. [Google Scholar]
- SAP 2000 V14 (Structural Analysis Program). Integrated Finite Element Analysis and Design of Structures; Computers and Structures Inc.: Berkeley, CA, USA, 2000. [Google Scholar]
- Gücüyen, E. Numerical analysis of deteriorated sub-sea pipelines under environmental loads. Chin. J. Mech. Eng. 2015, 28, 1163–1170. [Google Scholar] [CrossRef]
- Zhang, D.; Zhao, B.; Zhu, K. Dynamic Analysis of Pipeline Lifting Operations for Different Current Velocities and Wave Heights. FDMP-Fluid Dyn. Mater. Process. 2022, 19, 603–617. [Google Scholar] [CrossRef]
- Reeve, D.; Chadwick, A.; Fleming, C. Coastal Engineering: Processes, Theory and Design Practice; CRC Press: Boca Raton, FL, USA, 2018. [Google Scholar]
- Zhao, K.; Wang, Y.; Liu, P.L.F. A guide for selecting periodic water wave theories-Le Méhauté (1976)’s graph revisited. Coast. Eng. 2024, 188, 104432. [Google Scholar] [CrossRef]
- Gücüyen, E.; Erdem, R.T.; Gökkuş, Ü. Irregular wave effects on dynamic behavior of piles. Arab. J. Sci. Eng. 2013, 38, 1047–1057. [Google Scholar] [CrossRef]
- Airy, G.B. Tides and Waves; B. Fellowes: London, UK, 1845. [Google Scholar]
- Chakrabarti, S. Handbook of Offshore Engineering (2-Volume Set); Elsevier: Amsterdam, The Netherlands, 2005. [Google Scholar]
- Ahmadian, P. Effect of Hydrodynamic Forces on Spanning Pipes. Master’s Thesis, Eastern Mediterranean University (EMU)-Doğu Akdeniz Üniversitesi (DAÜ)), Gazimağusa, Cyprus, 2015. [Google Scholar]
- Zan, X.; Lin, Z. On the applicability of Morison equation to force estimation induced by internal solitary wave on circular cylinder. Ocean. Eng. 2020, 198, 106966. [Google Scholar] [CrossRef]
- Lin, W.; Su, C. An efficient Monte-Carlo simulation for the dynamic reliability analysis of jacket platforms subjected to random wave loads. J. Mar. Sci. Eng. 2021, 9, 380. [Google Scholar] [CrossRef]
- Barltrop, N.D.P.; Adams, A.J. Dynamics of Fixed Marine Structures, 3rd ed.; Atkins Oil & Gas Engineering Limited: Epsom, UK, 1991. [Google Scholar]
- Silwal, B. An Investigation of the Beam-Column and the Finite-Element Formulations for Analyzing Geometrically Nonlinear Thermal Response of Plane Frames. Master’s Thesis, Southern Illinois University, Carbondale, IL, USA, 2013. [Google Scholar]
- Uysal, I.; Güvenir, H.A. An overview of regression techniques for knowledge discovery. Knowl. Eng. Rev. 1999, 14, 319–340. [Google Scholar] [CrossRef]
- Ni, P.; Mangalathu, S.; Liu, K. Enhanced fragility analysis of buried pipelines through Lasso regression. Acta Geotech. 2020, 15, 471–487. [Google Scholar] [CrossRef]
- Seghier, M.E.A.B.; Keshtegar, B.; Tee, K.F.; Zayed, T.; Abbassi, R.; Trung, N.T. Prediction of maximum pitting corrosion depth in oil and gas pipelines. Eng. Fail. Anal. 2020, 112, 104505. [Google Scholar] [CrossRef]
- Banik, D.; Paul, R.; Rathore, R.S.; Jhaveri, R.H. Improved Regression Analysis with Ensemble Pipeline Approach for Applications across Multiple Domains. ACM Trans. Asian Low-Resour. Lang. Inf. Process. 2024, 23, 42. [Google Scholar] [CrossRef]
- Dagli, B.Y.; Ergut, A.; Turan, M.E. Prediction of natural frequencies of Rayleigh pipe by hybrid meta-heuristic artificial neural network. J. Braz. Soc. Mech. Sci. Eng. 2023, 45, 221. [Google Scholar] [CrossRef]
- Efendi, R.; Nawi, N.M.; Deris, M.M.; Burney, S.A. Cleansing of inconsistent sample in linear regression model based on rough sets theory. Syst. Soft Comput. 2023, 5, 200046. [Google Scholar]
- Harle, S.M. Advancements and challenges in the application of artificial intelligence in civil engineering: A comprehensive review. Asian J. Civ. Eng. 2024, 25, 1061–1078. [Google Scholar] [CrossRef]
- Fernandes, A.P.; Fonseca, A.; Pacheco, F.; Fernandes, L.S. Water quality predictions through linear regression-A brute force algorithm approach. MethodsX 2023, 10, 102153. [Google Scholar] [CrossRef] [PubMed]
- Bauchau, O.A.; Craig, J.I. Euler-Bernoulli beam theory. In Structural Analysis; Springer: Dordrecht, The Netherlands, 2009; pp. 173–221. [Google Scholar]
- Liu, M.; Wang, Z.; Zhou, Z.; Qu, Y.; Yu, Z.; Wei, Q.; Lu, L. Vibration response of multi-span fluid-conveying pipe with multiple accessories under complex boundary conditions. Eur. J. Mech. A/Solids 2018, 72, 41–56. [Google Scholar] [CrossRef]
- Hou, R.; Xia, Y. Review on the new development of vibration-based damage identification for civil engineering structures: 2010–2019. J. Sound Vib. 2021, 491, 115741. [Google Scholar] [CrossRef]
- BS EN 1993-1-1:2005+A1:2014; Eurocode 3-Design of Steel Structures: Part 1-1: General Rules and Rules for Buildings. BSI: London, UK, 1993.
- BS EN 10025-2:2019; Hot Rolled Products of Structural Steels–Technical Delivery Conditions for Non-Alloy Structural Steels. BSI: London, UK, 2019.
- Seghier ME, A.B.; Mustaffa, Z.; Zayed, T. Reliability assessment of subsea pipelines under the effect of spanning load and corrosion degradation. J. Nat. Gas Sci. Eng. 2022, 102, 104569. [Google Scholar] [CrossRef]
- Bethea, R.M.; Rhinehart, R.R. Applied Engineering Statistics; Routledge: London, UK, 2019. [Google Scholar]
- Revie, R.W. (Ed.) Oil and Gas Pipelines: Integrity and Safety Handbook; John Wiley & Sons: Hoboken, NJ, USA, 2015. [Google Scholar]
- Hadi, N.; Helmi, M.; Cathaputra, E.; Priadi, D.; Dhaneswara, D. Freespan Analysis for Subsea Pipeline Integrity Management Strategy. J. Mater. Explor. Find. (JMEF) 2023, 1, 5. [Google Scholar]














| Model | P1 | P2 | P3 | P4 | P5 | P6 | P7 | P8 | P9 |
| D (mm) | 500 | 500 | 500 | 600 | 600 | 600 | 700 | 700 | 700 |
| tw (mm) | 10 | 20 | 30 | 10 | 20 | 30 | 10 | 20 | 30 |
| Model | P10 | P11 | P12 | P13 | P14 | P15 | P16 | P17 | P18 |
| D (mm) | 800 | 800 | 800 | 900 | 900 | 900 | 1000 | 1000 | 1000 |
| tw (mm) | 10 | 20 | 30 | 10 | 20 | 30 | 10 | 20 | 30 |
| D (mm) | tw (mm) | ω1 (Hz) | ω2 (Hz) | ω3 (Hz) |
|---|---|---|---|---|
| 500 | 10 | 7.903 | 21.538 | 41.597 |
| 20 | 7.750 | 21.128 | 40.833 | |
| 30 | 7.599 | 20.730 | 40.080 | |
| 600 | 10 | 9.474 | 25.694 | 49.334 |
| 20 | 9.322 | 25.297 | 48.591 | |
| 30 | 9.173 | 24.900 | 47.870 | |
| 700 | 10 | 11.024 | 29.727 | 56.689 |
| 20 | 10.906 | 29.343 | 55.991 | |
| 30 | 10.726 | 28.935 | 55.279 | |
| 800 | 10 | 12.550 | 33.625 | 63.654 |
| 20 | 12.402 | 33.256 | 62.972 | |
| 30 | 12.255 | 32.884 | 62.344 | |
| 900 | 10 | 14.047 | 37.383 | 70.175 |
| 20 | 13.902 | 37.023 | 69.589 | |
| 30 | 13.757 | 36.657 | 68.966 | |
| 1000 | 10 | 15.516 | 40.984 | 86.993 |
| 20 | 15.373 | 40.634 | 75.758 | |
| 30 | 15.230 | 40.290 | 75.131 |
| Source | DF | Adj SS | Adj MS | F-Value | p-Value | % |
|---|---|---|---|---|---|---|
| D | 1 | 0.000000 | 0.000000 | 0.00 | 0.969 | 0.000 |
| tw | 1 | 0.000000 | 0.000000 | 0.00 | 0.968 | 0.000 |
| FH | 1 | 0.072250 | 0.072250 | 438.81 | 0.000 | 29.476 |
| t | 1 | 0.000207 | 0.000207 | 1.26 | 0.264 | 0.084 |
| D × FH | 1 | 0.018939 | 0.018939 | 115.03 | 0.000 | 7.727 |
| D × t | 1 | 0.002039 | 0.002039 | 12.38 | 0.001 | 0.832 |
| tw × FH | 1 | 0.006155 | 0.006155 | 37.38 | 0.000 | 2.511 |
| tw × t | 1 | 0.002037 | 0.002037 | 12.37 | 0.001 | 0.831 |
| Error | 135 | 0.022228 | 0.000165 | 9.068 | ||
| Total | 143 | 0.245114 | 100.000 |
| Source | DF | Adj SS | Adj MS | F-Value | p-Value | % |
|---|---|---|---|---|---|---|
| D | 1 | 0.00000 | 0.00000 | 0.00 | 0.998 | 0.000 |
| tw | 1 | 0.00000 | 0.00000 | 0.00 | 0.998 | 0.000 |
| FH | 1 | 2.31716 | 2.31716 | 955.12 | 0.000 | 29.490 |
| t | 1 | 0.00206 | 0.00206 | 0.85 | 0.359 | 0.026 |
| D × FH | 1 | 0.35671 | 0.35671 | 147.04 | 0.000 | 4.540 |
| D × t | 1 | 0.01926 | 0.01926 | 7.94 | 0.006 | 0.245 |
| tw × FH | 1 | 0.33188 | 0.33188 | 136.80 | 0.000 | 4.224 |
| tw × t | 1 | 0.03215 | 0.03215 | 13.25 | 0.000 | 0.409 |
| Error | 135 | 0.32751 | 0.00243 | 4.168 | ||
| Total | 143 | 7.85733 | 100.000 |
| Source | DF | Adj SS | Adj MS | F-Value | p-Value | % | |
|---|---|---|---|---|---|---|---|
| ω1 | D | 1 | 976.437 | 976.437 | 795,364.29 | 0.000 | 99.768 |
| tw | 1 | 2.098 | 2.098 | 1708.81 | 0.000 | 0.214 | |
| D × t | 1 | 0.001 | 0.001 | 0.72 | 0.397 | 0.000 | |
| Error | 140 | 0.172 | 0.001 | 0.018 | |||
| Total | 143 | 978.708 | 100.000 | ||||
| ω2 | D | 1 | 6398.67 | 6398.670 | 17,918,183.400 | 0.000 | 99.718 |
| tw | 1 | 13.82 | 13.820 | 38,706.740 | 0.000 | 0.215 | |
| D × D | 1 | 4.21 | 4.210 | 11,784.430 | 0.000 | 0.066 | |
| Error | 140 | 0.05 | 0.000 | 0.001 | |||
| Total | 143 | 6416.75 | 100.000 | ||||
| ω3 | D | 1 | 26,667.7 | 26,667.700 | 2471.800 | 0.000 | 90.280 |
| tw | 1 | 551.9 | 551.900 | 51.160 | 0.000 | 1.868 | |
| D × D | 1 | 154.3 | 154.300 | 14.300 | 0.000 | 0.522 | |
| t × t | 1 | 94.7 | 94.700 | 8.780 | 0.004 | 0.321 | |
| D × t | 1 | 581.3 | 581.300 | 53.880 | 0.000 | 1.968 | |
| Error | 138 | 1488.9 | 10.800 | 5.040 | |||
| Total | 143 | 29,538.8 | 100.000 |
| Performance Criteria | Prediction Performance |
|---|---|
| R2 | ω2 → ω1 → σmax → ω3 → wmax |
| MSE | ω1 → σmax → ω2 → wmax → ω3 |
| MAE | ω1 → σmax → wmax→ ω2 → ω3 |
Disclaimer/Publisher’s Note: The statements, opinions and data contained in all publications are solely those of the individual author(s) and contributor(s) and not of MDPI and/or the editor(s). MDPI and/or the editor(s) disclaim responsibility for any injury to people or property resulting from any ideas, methods, instructions or products referred to in the content. |
© 2024 by the author. Licensee MDPI, Basel, Switzerland. This article is an open access article distributed under the terms and conditions of the Creative Commons Attribution (CC BY) license (https://creativecommons.org/licenses/by/4.0/).
Share and Cite
Dagli, B.Y. Application of a Statistical Regression Technique for Dynamic Analysis of Submarine Pipelines. J. Mar. Sci. Eng. 2024, 12, 955. https://doi.org/10.3390/jmse12060955
Dagli BY. Application of a Statistical Regression Technique for Dynamic Analysis of Submarine Pipelines. Journal of Marine Science and Engineering. 2024; 12(6):955. https://doi.org/10.3390/jmse12060955
Chicago/Turabian StyleDagli, Begum Yurdanur. 2024. "Application of a Statistical Regression Technique for Dynamic Analysis of Submarine Pipelines" Journal of Marine Science and Engineering 12, no. 6: 955. https://doi.org/10.3390/jmse12060955
APA StyleDagli, B. Y. (2024). Application of a Statistical Regression Technique for Dynamic Analysis of Submarine Pipelines. Journal of Marine Science and Engineering, 12(6), 955. https://doi.org/10.3390/jmse12060955
