Sequential Evolution of Residual Liquefaction in a Silty Seabed: Effect of Wave-Loading History
Abstract
1. Introduction
2. Experimental Methodology
2.1. Flume Set-Up
2.2. Silt Bed Preparation
2.3. Test Procedures
- (1)
- All PPTs, whose argil covers were first de-aired, were calibrated and then installed at varying soil depths with the support of fixing racks within the soil box (Figure 1). The WGs were also calibrated before their installations.
- (2)
- The silt bed was prepared by employing the sand-raining technique. The bed surface was then leveled off smoothly using a scraper.
- (3)
- The flume was gradually filled with water to a given depth (d = 0.6 m), which was maintained constant throughout all four test series.
- (4)
- The piston-type wave generator was then activated, and the progressive regular waves were generated. Meanwhile, the signals of the WGs and PPTs were simultaneously logged by the multichannel synchronous sampling system with a sampling frequency of 25 Hz. The wave height (H) and the wave period (T) of the waves were adopted as H = 8.0 cm and T = 1.5 s, respectively.
- (5)
- The wave generator was deactivated after a loading duration of 3600 s, while the data acquisition system continued logging until the residual pore pressure fully dissipated.
- (6)
- After a hydrostatic duration exceeding 24 h (1 day), the suspended silt particles in the wave flume underwent complete settlement. Subsequently, the settlement of the mudline (s) was observed through the glass sidewall of the flume, accompanied by a snapshot capturing the surface topography of the silt bed.
- (7)
- The testing procedures outlined in steps (4)~(6) were repeated four times, constituting four test series (Tests 1~4; see Table 1) within this study. Note that the wave height and wave period always remained the same in the four test series, i.e., H = 8.0 cm and T = 1.5 s.
3. Results and Discussion
3.1. Effect of Wave-Loading History on Wave-Induced Soil Responses
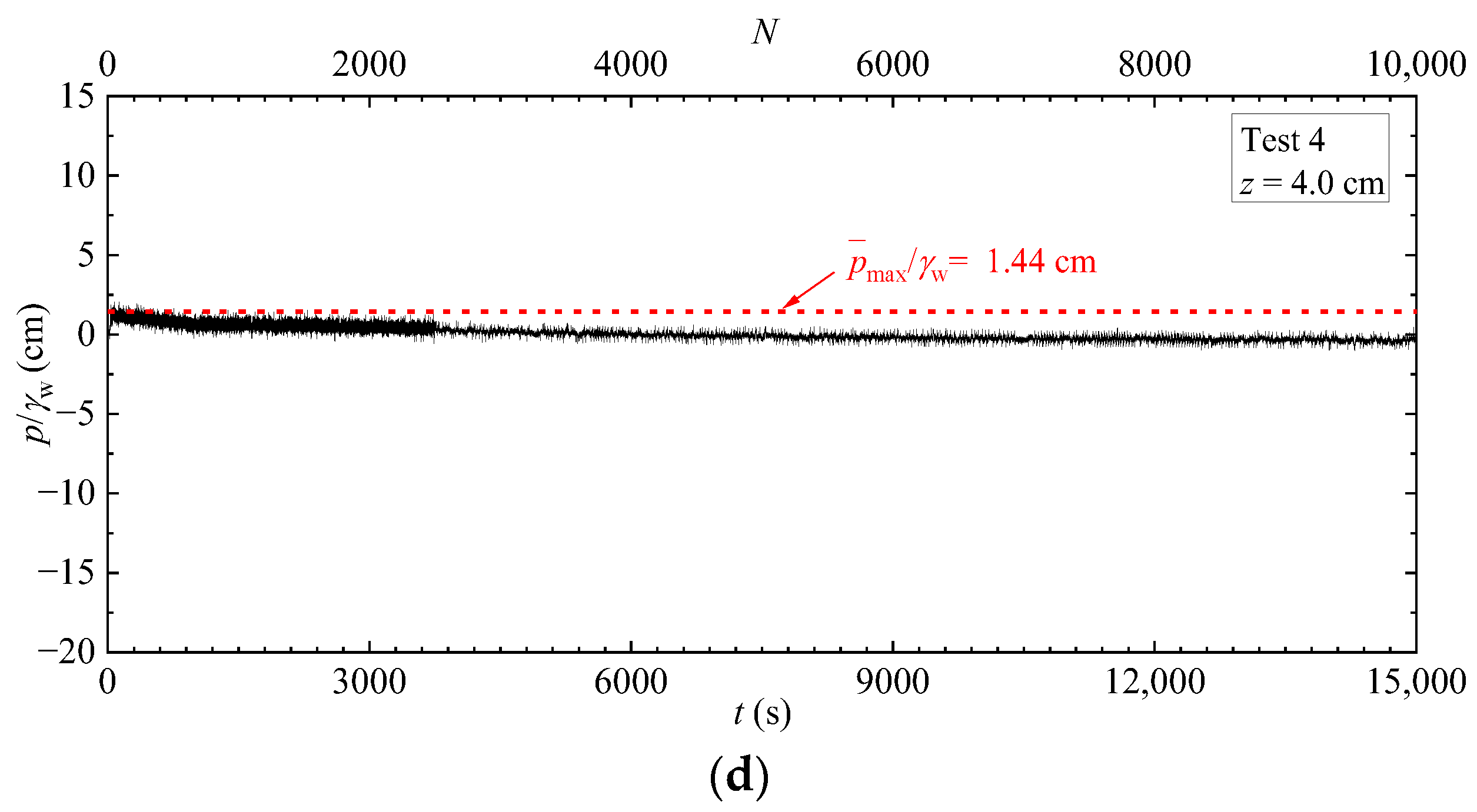
3.2. Dissipation of Wave-Induced Pore Pressure
3.3. Reshaping of the Silt Bed Topography
4. Conclusions
- (1)
- A previous wave-loading history densifies the silt bed, causing a noticeable settlement of the mudline. With increasing wave-loading exposure, the ultimate liquefaction depth (zL), the maximum amplitude of interfacial waves (a0), and the mudline settlement (s) are reduced during each wave sequence. The maximum residual pore pressure ratio () exhibits a declining trend, and the number of wave cycles required to induce liquefaction (Nl) increases. The accumulation of pore pressure significantly diminishes when the silt bed resists liquefaction. Furthermore, the amplification ratio of transient pore pressure (ζ) in the shallow liquefied soil layer decreases with an increasing number of tests. Essentially, the liquefaction resistance of the soil is enhanced by the preceding wave-loading history.
- (2)
- Within the liquefied soil layer, residual pore pressure is maintained at its peak during the continuous liquefaction stage. Conversely, in non-liquefied regions, the pore pressure exhibits a slight dissipation after reaching its peak during the wave activity. Furthermore, the dissipation of residual pore pressure accelerates after the cessation of wave loading.
- (3)
- Due to the liquefaction–densification cycles, the topography of the silt bed can be reshaped. Severe liquefaction prompts the formation of volcano-shaped seepage channels on the surface of the silt, while in the case of mild liquefaction or no liquefaction, mud volcanoes are absent and replaced by ripples on the bed surface. Therefore, the topography of the silt bed may serve as an indicator of prior liquefaction events.
Author Contributions
Funding
Institutional Review Board Statement
Informed Consent Statement
Data Availability Statement
Conflicts of Interest
Notations
| a0 | Maximum amplitude of the interfacial waves |
| c | Cohesion of the soil |
| d | Water depth |
| d10 | Effective grain size |
| d50 | Mean grain size |
| Dr | Relative density |
| e | Void ratio |
| emax | Maximum void ratio |
| emin | Minimum void ratio |
| g | Gravitational acceleration |
| Gs | Specific weight of the soil |
| H | Wave height |
| Ip | Plasticity index |
| ks | Coefficient of permeability |
| L | Wave length |
| N | Number of wave cycles |
| Nl | Number of wave cycles to cause liquefaction |
| p | Wave-induced pore pressure within the soil |
| Residual pore pressure | |
| Maximum residual pore pressure | |
| Residual pore pressure on the occasion of wave cessation | |
| Transient pore pressure | |
| s | Settlement of the mudline |
| T | Wave period |
| t | Time |
| w | Water content of the soil |
| z | Soil depth calculated from the mudline |
| zL | Maximum liquefaction depth |
| η | Wave surface elevation |
| φ | Angle of friction |
| γ′ | Buoyant unit weight of soil |
| γw | Unit weight of water |
| Initial overburden effective stress | |
| Amplitude of the transient pore pressure | |
| Pore pressure amplitude predicted by Yamamoto et al. [15] | |
| ζ | Amplification ratio |
References
- Bea, R.G.; Wright, S.G.; Sircar, P.; Niedoroda, A.W. Wave-induced slides in south pass block 70, Mississippi delta. J. Geotech. Eng. 1983, 109, 619–644. [Google Scholar] [CrossRef]
- Sumer, B.M.; Fredsøe, J.; Christensen, S.; Lind, M.T. Sinking/floatation of pipelines and other objects in liquefied soil under waves. Coast. Eng. 1999, 38, 53–90. [Google Scholar] [CrossRef]
- Teh, T.C.; Palmer, A.; Damgaard, J. Experimental study of marine pipelines on unstable and liquefied seabed. Coast. Eng. 2003, 50, 1–17. [Google Scholar] [CrossRef]
- de Groot, M.B.; Kudella, M.; Meijers, P.; Oumeraci, H. Liquefaction phenomena underneath marine gravity structures subjected to wave loading. J. Waterw. Port Coast. Ocean Eng. 2006, 132, 325–335. [Google Scholar] [CrossRef]
- Li, X.J.; Gao, F.P.; Yang, B.; Zang, J. Wave-induced pore pressure responses and soil liquefaction around pile foundation. Int. J. Offshore Polar Eng. 2011, 21, 233–239. [Google Scholar]
- Gao, F.P.; Li, J.H.; Qi, W.G.; Hu, C. On the instability of offshore foundations: Theory and mechanism. Sci. China Phys. Mech. Astron. 2015, 58, 124701. [Google Scholar] [CrossRef]
- Qi, W.G.; Shi, Y.M.; Gao, F.P. Uplift soil resistance to a shallowly-buried pipeline in the sandy seabed under waves: Poro-elastoplastic modeling. Appl. Ocean. Res. 2020, 95, 102024. [Google Scholar] [CrossRef]
- Zen, K.; Yamazaki, H. Mechanism of wave-induced liquefaction and densification in seabed. Soils Found. 1990, 30, 90–104. [Google Scholar] [CrossRef] [PubMed]
- Sumer, B.M.; Fredsøe, J. The Mechanics of Scour in the Marine Environment; World Scientific: Singapore, 2002. [Google Scholar]
- Sumer, B.M. Liquefaction Around Marine Structures; World Scientific Publishing Co.: Singapore, 2014. [Google Scholar]
- Jeng, D.S. Mechanics of Wave-Seabed-Structure Interactions: Modelling, Processes and Applications; Cambridge University Press: Cambridge, UK, 2018. [Google Scholar]
- Putnam, J.A. Loss of wave energy due to percolation in a permeable sea bottom. Eos Trans. Am. Geophys. Union 1949, 30, 349–356. [Google Scholar]
- Reid, R.O.; Kajirua, K. On the damping of gravity waves over a permeable seabed. Eos Trans. Am. Geophys. Union 1957, 38, 662–666. [Google Scholar]
- Moshagen, H.; Tørum, A. Wave induced pressures in permeable seabeds. J. Waterw. Harbors Coastal Eng. Div. Am. Soc. Civ. Eng. 1975, 101, 49–57. [Google Scholar] [CrossRef]
- Yamamoto, T.; Koning, H.L.; Sellmeijer, H.; Hijum, E.V. On the response of a poro-elastic bed to water waves. J. Fluid Mech. 1978, 87, 193–206. [Google Scholar] [CrossRef]
- Madsen, O.S. Wave-induced pore pressures and effective stresses in a porous bed. Géotechnique 1978, 28, 377–393. [Google Scholar] [CrossRef]
- Mei, C.C.; Foda, M.A. Wave-induced responses in a fluid-filled poro-elastic solid with a free surface—A boundary layer theory. Geophys. J. R. Astr. Soc. 1981, 66, 597–631. [Google Scholar] [CrossRef]
- Hsu, J.R.C.; Jeng, D.S. Wave-induced soil response in an unsaturated anisotropic seabed of finite thickness. Int. J. Numer. Anal. Methods Geomech. 1994, 18, 785–807. [Google Scholar] [CrossRef]
- Bear, J. Dynamics of Fluids in Porous Media; Courier Dover Publications: Dove, DE, USA, 1972. [Google Scholar]
- Qi, W.G.; Gao, F.P. Wave induced instantaneously-liquefied soil depth in a non-cohesive Seabed. Ocean Eng. 2018, 153, 412–423. [Google Scholar] [CrossRef]
- Zhou, M.Z.; Qi, W.G.; Jeng, D.S.; Gao, F.P. A non-Darcy flow model for a non-cohesive seabed involving wave-induced instantaneous liquefaction. Ocean Eng. 2021, 239, 109807. [Google Scholar] [CrossRef]
- Seed, H.B.; Rahman, M.S. Wave-induced pore pressure in relation to ocean floor stability of cohesionless soils. Mar. Georesour. Geotechnol. 1978, 3, 123–150. [Google Scholar] [CrossRef]
- Foda, M.A.; Tzang, S.Y. Resonant fluidization of silty soil by water waves. J. Geophys. Res. 1994, 99, 20463–20475. [Google Scholar] [CrossRef]
- Sumer, B.M.; Hatipoglu, F.; Fredsøe, J.; Sumer, S.K. The sequence of sediment behavior during wave-induced liquefaction. Sedimentology 2006, 53, 611–629. [Google Scholar] [CrossRef]
- Li, C.F.; Wang, Y.; Gao, F.P.; Yang, L.J. Spatiotemporal evolution of excess pore pressures in a silty seabed under progressive waves during residual liquefaction. Appl. Ocean Res. 2022, 129, 103401. [Google Scholar] [CrossRef]
- Sassa, S.; Sekiguchi, H. Wave-induced liquefaction of beds of sand in a centrifuge. Géotechnique 1999, 49, 621–638. [Google Scholar] [CrossRef]
- Miyamoto, J.; Sassa, S.; Sekiguchi, H. Progressive solidification of a liquefied sand layer during continued wave loading. Géotechnique 2004, 54, 617–629. [Google Scholar] [CrossRef]
- Rahman, M.S.; Jaber, W.Y. A simplified drained analysis for wave-induced liquefaction in ocean floor sands. Soils Found. 1986, 26, 57–68. [Google Scholar] [CrossRef][Green Version]
- Sassa, S.; Sekiguchi, H.; Miyamoto, J. Analysis of progressive liquefaction as a moving-boundary problem. Géotechnique 2001, 51, 847–857. [Google Scholar] [CrossRef]
- Jeng, D.S.; Seymour, B.; Gao, F.P.; Wu, Y.X. Ocean waves propagating over a porous seabed: Residual and oscillatory mechanisms. Sci. China Ser. E Technol. Sci. 2007, 50, 81–89. [Google Scholar] [CrossRef]
- Jeng, D.S.; Seymour, B.R. Simplified analytical approximation for pore-water pressure buildup in marine sediments. J. Waterw. Port Coast. Ocean Eng. 2007, 133, 309–312. [Google Scholar] [CrossRef]
- Cheng, L.; Sumer, B.M.; Fredsøe, J. Solutions of pore pressure build up due to progressive waves. Int. J. Numer. Anal. Methods Geomech. 2001, 25, 885–907. [Google Scholar] [CrossRef]
- Liu, X.L.; Cui, H.N.; Jeng, D.S.; Zhao, H.Y. A coupled mathematical model for accumulation of wave-induced pore water pressure and its application. Coast. Eng. 2019, 154, 103577. [Google Scholar] [CrossRef]
- Duan, L.; Wang, D. Novel three-dimensional numerical model for residual seabed response to natural loadings near a single pile. Appl. Ocean Res. 2020, 94, 102004. [Google Scholar] [CrossRef]
- Ülker, M.B.C. A combined theoretical and numerical modeling study of cyclic nonlinear response of sandy seabed. Ocean Eng. 2021, 219, 108348. [Google Scholar] [CrossRef]
- Sui, T.; Sumer, B.M.; Kirca, V.S.O.; Carstensen, S.; Zheng, J.; Fuhrman, D.R. Effect of history of wave exposure on seabed liquefaction. Coast. Eng. 2023, 183, 104307. [Google Scholar] [CrossRef]
- Chapuis, R.P. Predicting the saturated hydraulic conductivity of sand and gravel using effective diameter and void ratio. Can. Geotech. J. 2004, 41, 787–795. [Google Scholar] [CrossRef]
- Boulanger, R.W.; Idriss, I.M. Liquefaction susceptibility criteria for silts and clays. J. Geotech. Geoenviron. Eng. 2006, 132, 1413–1426. [Google Scholar] [CrossRef]
- Jeng, D.S.; Seymour, B.R.; Li, J. A new approximation for pore pressure accumulation in marine sediment due to water waves. Int. J. Numer. Anal. Meth. Geomech. 2007, 31, 53–69. [Google Scholar] [CrossRef]
- de Groot, M.B.; Bolton, M.D.; Foray, P.; Meijers, P.; Palmer, A.C.; Sandven, R.; Sawicki, A.; The, T.C. Physics of liquefaction phenomena around marine structures. J. Waterw. Port Coast. Ocean Eng. 2006, 132, 227–243. [Google Scholar] [CrossRef]
- Yang, Z.; Zhu, Y.; Liu, T.; Sun, Z.; Ling, X.; Yang, J. Pumping effect of wave-induced pore pressure on the development of fluid mud layer. Ocean Eng. 2019, 189, 106391. [Google Scholar] [CrossRef]













| Soil Property | Symbol | Value | Test Series | |||
|---|---|---|---|---|---|---|
| Test 1 | Test 2 | Test 3 | Test 4 | |||
| Mean grain size | d50 (mm) | 0.047 | ||||
| Effective grain size | d10 (mm) | 0.009 | ||||
| Specific gravity of grains | Gs | 2.65 | ||||
| Maximum void ratio | emax | 1.14 | ||||
| Minimum void ratio | emin | 0.23 | ||||
| Void ratio | e | - | 0.54 | 0.49 | 0.45 | 0.43 |
| Relative density | Dr | - | 0.66 | 0.71 | 0.76 | 0.78 |
| Coefficient of permeability | ks (×10−6 m/s) | - | 3.34 | 2.60 | 2.12 | 1.78 |
| Submerged unit weight of soil | γ′ (kN/m3) | - | 10.71 | 11.07 | 11.38 | 11.54 |
| Plasticity index | Ip (%) | 9.0 | ||||
| Cohesion | c (kPa) | 6.35 | ||||
| Friction angle | φ (°) | 27.4 | ||||
| Symbol | Test Series | ||||
|---|---|---|---|---|---|
| Test 1 (Dr = 0.66) | Test 2 (Dr = 0.71) | Test 3 (Dr = 0.76) | Test 4 (Dr = 0.78) | ||
| Maximum liquefaction depth | zL (cm) | 17.5 < zL < 27.5 | 15.8 < zL < 25.8 | 4.7 < zL < 14.7 | 0 |
| Maximum amplitude of interfacial waves | a0 (cm) | 0.5 | 0.3 | 0.15 | 0 |
| Settlement of the mudline | s (cm) | 1.7 | 1.1 | 0.7 | 0 |
Disclaimer/Publisher’s Note: The statements, opinions and data contained in all publications are solely those of the individual author(s) and contributor(s) and not of MDPI and/or the editor(s). MDPI and/or the editor(s) disclaim responsibility for any injury to people or property resulting from any ideas, methods, instructions or products referred to in the content. |
© 2024 by the authors. Licensee MDPI, Basel, Switzerland. This article is an open access article distributed under the terms and conditions of the Creative Commons Attribution (CC BY) license (https://creativecommons.org/licenses/by/4.0/).
Share and Cite
Li, C.; Wang, Y.; Yu, J.; Qi, W.; Gao, F. Sequential Evolution of Residual Liquefaction in a Silty Seabed: Effect of Wave-Loading History. J. Mar. Sci. Eng. 2024, 12, 750. https://doi.org/10.3390/jmse12050750
Li C, Wang Y, Yu J, Qi W, Gao F. Sequential Evolution of Residual Liquefaction in a Silty Seabed: Effect of Wave-Loading History. Journal of Marine Science and Engineering. 2024; 12(5):750. https://doi.org/10.3390/jmse12050750
Chicago/Turabian StyleLi, Changfei, Yifa Wang, Jiahao Yu, Wengang Qi, and Fuping Gao. 2024. "Sequential Evolution of Residual Liquefaction in a Silty Seabed: Effect of Wave-Loading History" Journal of Marine Science and Engineering 12, no. 5: 750. https://doi.org/10.3390/jmse12050750
APA StyleLi, C., Wang, Y., Yu, J., Qi, W., & Gao, F. (2024). Sequential Evolution of Residual Liquefaction in a Silty Seabed: Effect of Wave-Loading History. Journal of Marine Science and Engineering, 12(5), 750. https://doi.org/10.3390/jmse12050750

