Numerical Investigation of Local Scour Protection around the Foundation of an Offshore Wind Turbine
Abstract
1. Introduction
2. Mathematical Model
2.1. Computational Fluid Dynamics (CFD) Modeling
2.2. Discrete Element Method (DEM) Modeling
2.3. CFD-DEM Coupling Model
3. Numerical Model
3.1. Geometric Model
3.2. Parameter Selection and Boundary Conditions
3.2.1. EDEM Parameter Setting
3.2.2. Fluent Parameter Settings
3.3. Cases’ Geometry
3.3.1. Selection of Variables
3.3.2. Case Settings
4. Results and Analysis
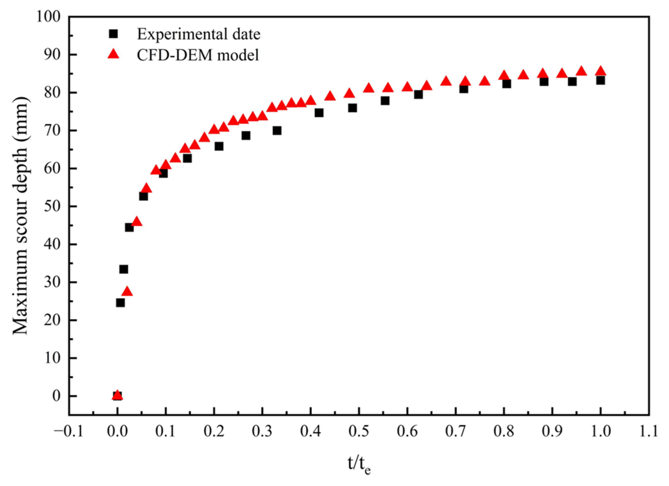
4.1. Model Validation
4.1.1. Flow Velocity Distribution
4.1.2. Scour Time Course
4.2. Flow Field Disturbance
4.2.1. Flow Velocity
4.2.2. Streamline
4.3. Morphology of Scour Pits
4.3.1. Pit Equilibrium Pattern
4.3.2. The Profile of the Puddle
4.4. Development of Scour Depth
4.5. Protection Efficiency
4.5.1. Reduction Rate of Maximum Scour Depth
4.5.2. Particle Loss Rate
5. Conclusions
Author Contributions
Funding
Institutional Review Board Statement
Informed Consent Statement
Data Availability Statement
Conflicts of Interest
References
- Rowell, D.; McMillan, D.; Carroll, J. Offshore wind H&S: A review and analysis. Renew. Sustain. Energy Rev. 2024, 189, 113928. [Google Scholar] [CrossRef]
- Seyr, H.; Muskulus, M. Safety Indicators for the Marine Operations in the Installation and Operating Phase of an Offshore Wind Farm. Energy Procedia 2016, 94, 72–81. [Google Scholar] [CrossRef]
- Du, Z.; Liu, Z.; Zhou, Q.; Zhao, Y.; Sun, Z.; Li, L. Research on process safety of offshore wind turbines installation: A theoretical model and empirical evidence. Process Saf. Environ. Prot. 2024, 181, 493–501. [Google Scholar] [CrossRef]
- Gazi, A.H.; Afzal, M.S. A review on hydrodynamics of horseshoe vortex at a vertical cylinder mounted on a flat bed and its implication to scour at a cylinder. Acta Geophys. 2020, 68, 861–875. [Google Scholar] [CrossRef]
- Tafarojnoruz, A.; Lauria, A. Large eddy simulation of the turbulent flow field around a submerged pile within a scour hole under current condition. Coast. Eng. J. 2020, 62, 489–503. [Google Scholar] [CrossRef]
- Guan, D.-W.; Xie, Y.-X.; Yao, Z.-S.; Chiew, Y.-M.; Zhang, J.-S.; Zheng, J.-H. Local scour at offshore windfarm monopile foundations: A review. Water Sci. Eng. 2022, 15, 29–39. [Google Scholar] [CrossRef]
- Amini, A.; Mohammad, T.A. Local scour prediction around piers with complex geometry. Mar. Georesources Geotechnol. 2017, 35, 857–864. [Google Scholar] [CrossRef]
- Saha, R.; Lee, S.O.; Hong, S.H. A Comprehensive Method of Calculating Maximum Bridge Scour Depth. Water 2018, 10, 1572. [Google Scholar] [CrossRef]
- Dai, G.; Gao, L.; Chen, X.; Wan, Z.; Zhu, M.; Du, S. A Calculation Model of the Equilibrium Scour Depth for Monopile Foundations Under Waves and Currents. Arab. J. Sci. Eng. 2021, 46, 5023–5029. [Google Scholar] [CrossRef]
- Sharafati, A.; Tafarojnoruz, A.; Yaseen, Z.M. New stochastic modeling strategy on the prediction enhancement of pier scour depth in cohesive bed materials. J. Hydroinform. 2020, 22, 457–472. [Google Scholar] [CrossRef]
- Zhang, F.; Chen, X.; Yan, J.; Gao, X. Countermeasures for local scour around offshore wind turbine monopile foundations: A review. Appl. Ocean Res. 2023, 141, 103764. [Google Scholar] [CrossRef]
- Tafarojnoruz, A.; Gaudio, R.; Dey, S. Flow-altering countermeasures against scour at bridge piers: A review. J. Hydraul. Res. 2010, 48, 441–452. [Google Scholar] [CrossRef]
- Zhang, Z. Study on Local Scour Protection Countermeasures of Bridge Pier. Highlights Sci. Eng. Technol. 2022, 28, 464–470. [Google Scholar] [CrossRef]
- Pagliara, S.; Carnacina, I.; Cigni, F. Sills and gabions as countermeasures at bridge pier in presence of debris accumulations. J. Hydraul. Res. 2010, 48, 764–774. [Google Scholar] [CrossRef]
- Chen, J.; Qu, Y.; Sun, Z. Protection mechanisms, countermeasures, assessments and prospects of local scour for cross-sea bridge foundation: A review. Ocean Eng. 2023, 288, 116145. [Google Scholar] [CrossRef]
- Zhang, F.; Chen, X.; Feng, T.; Wang, Y.; Liu, X.; Liu, X. Experimental study of grouting protection against local scouring of monopile foundations for offshore wind turbines. Ocean Eng. 2022, 258, 111798. [Google Scholar] [CrossRef]
- Nishold, S.S.P.; Sundaravadivelu, R.; Saha, N. Physical model study on geo-tube with gabion boxes for the application of coastal protection. Arab. J. Geosci. 2019, 12, 164. [Google Scholar] [CrossRef]
- Zhu, Y.; Xie, L.; Su, T.-C. Scour Protection Effects of a Geotextile Mattress with Floating Plate on a Pipeline. Sustainability 2020, 12, 3482. [Google Scholar] [CrossRef]
- Zhang, Y.; Lai, X.; Jiang, J. The impact of plant morphology on flow structure: Comparative analysis of two types of submerged flexible macrophyte. Hydrol. Sci. J. 2016, 61, 2226–2236. [Google Scholar] [CrossRef]
- Fu, C.; Wang, J.; Zhao, T.; Xu, Y.; Lv, Y. Experimental Study on Flow Velocity Structure and Turbulence Characteristics in Open Channel with Biomimetic Grass. Adv. Civ. Eng. 2021, 2021, 6660256. [Google Scholar] [CrossRef]
- Ma, C.; Sheng, C.; Lian, J.; Liu, F. Solidification sludge as a scour countermeasure in ocean engineering. Ocean Eng. 2022, 244, 110423. [Google Scholar] [CrossRef]
- Hu, R.; Lu, Y.; Leng, H.; Liu, H.; Shi, W. A novel countermeasure for preventing scour around monopile foundations using Ionic Soil Stabilizer solidified slurry. Appl. Ocean Res. 2022, 121, 103121. [Google Scholar] [CrossRef]
- Xu, Y.; Valyrakis, M.; Gilja, G.; Michalis, P.; Yagci, O.; Przyborowski, Ł. Assessing Riverbed Surface Destabilization Risk Downstream Isolated Vegetation Elements. Water 2022, 14, 2880. [Google Scholar] [CrossRef]
- Li, Y.; Guo, Z.; Wang, L.; Yang, H.; Li, Y.; Zhu, J. An Innovative Eco-friendly Method for Scour Protection around Monopile Foundation. Appl. Ocean Res. 2022, 123, 103177. [Google Scholar] [CrossRef]
- Wang, C.; Liang, F.; Yu, X. Experimental and numerical investigations on the performance of sacrificial piles in reducing local scour around pile groups. Nat. Hazards 2017, 85, 1417–1435. [Google Scholar] [CrossRef]
- Wang, Y.; Shen, X.; Chen, J.; Chen, Z.; Liu, J. Research on the Wing-Type Antiscour Device of Pier Based on Scour Test and Numerical Simulation. Adv. Civ. Eng. 2021, 2021, 2491707. [Google Scholar] [CrossRef]
- Javidi Vahdati, V.; Ahmadi, A.; Abedini, A.; Heidarpour, M. Efficacy of the Combined Use of Bed Sill and Sacrificial Piles to Control Local Scour around Circular Bridge Piers. Shock. Vib. 2024, 2024, 5527946. [Google Scholar] [CrossRef]
- Ibrahim, M.M.; Refaey, M.A.; Hashem, H.M.; Ibraheem, A.M. Evaluation of angled splitters as scour countermeasure at circular piers. Alex. Eng. J. 2023, 74, 481–494. [Google Scholar] [CrossRef]
- Wang, S.; Wei, K.; Shen, Z.; Xiang, Q. Experimental Investigation of Local Scour Protection for Cylindrical Bridge Piers Using Anti-Scour Collars. Water 2019, 11, 1515. [Google Scholar] [CrossRef]
- Zarrati, A.R.; Gholami, H.; Mashahir, M.B. Application of collar to control scouring around rectangular bridge piers. J. Hydraul. Res. 2004, 42, 97–103. [Google Scholar] [CrossRef]
- Tang, Z.; Melville, B.; Shamseldin, A.; Guan, D.; Singhal, N.; Yao, Z. Experimental study of collar protection for local scour reduction around offshore wind turbine monopile foundations. Coast. Eng. 2023, 183, 104324. [Google Scholar] [CrossRef]
- Gupta, L.K.; Pandey, M.; Raj, P.A. Impact of airfoil collar on scour reduction around the bridge pier. Ocean Eng. 2023, 290, 116271. [Google Scholar] [CrossRef]
- Zhang, Q.; Tang, G.; Lu, L.; Yang, F. Scour protections of collar around a monopile foundation in steady current. Appl. Ocean Res. 2021, 112, 102718. [Google Scholar] [CrossRef]
- Luo, K.; Si, Y.; Lu, S.; Liang, B.; Qi, H. Characteristics of reducing local scour around cylindrical pier using a horn-shaped collar. J. Eng. Appl. Sci. 2022, 69, 105. [Google Scholar] [CrossRef]
- Li, H.; Qiu, X.; Yan, S.; Zhao, H.; Ma, W. Numerical investigation on the influence of a spoiler structure for local scour protection. Appl. Ocean Res. 2023, 138, 103675. [Google Scholar] [CrossRef]
- Li, J.; Lian, J.; Guo, Y.; Wang, H.; Yang, X. Numerical study on scour protection effect of monopile foundation based on disturbance structure. Ocean Eng. 2022, 248, 110856. [Google Scholar] [CrossRef]
- Xie, L.; Yu, Y.; Li, H.; Jin, P. Experimental Investigation of Local Scour Protection Using Cuboid Pore Structures. Iran. J. Sci. Technol. Trans. Civ. Eng. 2022, 46, 3895–3904. [Google Scholar] [CrossRef]
- Yang, M.; Tang, Y.; Zhao, F.; Xu, S. Numerical simulation of offshore wind power pile foundation scour with different arrangements of artificial reefs. Front. Mar. Sci. 2023, 10, 1178370. [Google Scholar] [CrossRef]
- Tafarojnoruz, A.; Gaudio, R.; Calomino, F. Evaluation of Flow-Altering Countermeasures against Bridge Pier Scour. J. Hydraul. Eng. 2012, 138, 297–305. [Google Scholar] [CrossRef]
- El Geitani, T.; Golshan, S.; Blais, B. Toward High-Order CFD-DEM: Development and Validation. Ind. Eng. Chem. Res. 2023, 62, 1141–1159. [Google Scholar] [CrossRef]
- Kuruneru, S.T.W.; Marechal, E.; Deligant, M.; Khelladi, S.; Ravelet, F.; Saha, S.C.; Sauret, E.; Gu, Y. A Comparative Study of Mixed Resolved–Unresolved CFD-DEM and Unresolved CFD-DEM Methods for the Solution of Particle-Laden Liquid Flows. Arch. Comput. Methods Eng. 2019, 26, 1239–1254. [Google Scholar] [CrossRef]
- Mindlin, R.D.; Deresiewicz, H. Elastic Spheres in Contact Under Varying Oblique Forces. J. Appl. Mech. 2021, 20, 327–344. [Google Scholar] [CrossRef]
- Gidaspow, D. Multiphase Flow and Fluidization: Continuum and Kinetic Theory Description. Multiph. Flow Fluid. Contin. Kinet. Theory Descr. 1994, 42, 1197–1198. [Google Scholar]
- Liu, Q.; Wang, Z.; Zhang, N.; Zhao, H.; Liu, L.; Huang, K.; Chen, X. Local Scour Mechanism of Offshore Wind Power Pile Foundation Based on CFD-DEM. J. Mar. Sci. Eng. 2022, 10, 1724. [Google Scholar] [CrossRef]
- Xu, Y. Experimental Investigation of Scour around Vertical Piles in Steady Currents; Dalian University of Technology: Dalian, China, 2018. [Google Scholar]
- Liu, D.; Alobaidi, K.; Valyrakis, M. The assessment of an acoustic Doppler velocimetry profiler from a user’s perspective. Acta Geophys. 2022, 70, 2297–2310. [Google Scholar] [CrossRef]




















| Parameter Name | Parameter Value |
|---|---|
| Particle size d (mm) | 5 |
| Poisson’s ratio v | 0.35 |
| Density ρp (kg/m3) | 2670 |
| Shear modulus G (Pa) | 5 × 106 |
| Collision recovery coefficient e | 0.45 |
| Coefficient of static friction μs | 0.65 |
| Coefficient of rolling friction μr | 0.01 |
| Time step (s) | 5 × 10−5 |
| Data saving interval (s) | 0.1 |
| Parameter Name | Parameter Value |
|---|---|
| Grid cell size (mm) | 8~18 |
| Inlet mean velocity (m/s) | 0.92 |
| Outlet relative pressure (Pa) | 0 |
| Fluid density ρf (kg/m3) | 1000 |
| Fluid dynamic viscosity ν (Pa·s) | 1 × 10−3 |
| Absolute convergence residual | 1 × 10−3 |
| Time step (s) | 5 × 10−3 |
| Number of simulation time step | 10,000 |
| Cases | Pile Diameter D (mm) | Diameter of Protection Net Dn (mm) | Net Cell Width b (mm) | Net Cell Height h (mm) | Net Structure Cross-Sectional Dimensions d (mm) | Permeability Rate φ |
|---|---|---|---|---|---|---|
| case 0 | 100 | - | - | - | - | - |
| case 1 | 100 | 250 | 41.087 | 35 | 8 | 0.681 |
| case 2 | 100 | 250 | 41.087 | 45 | 8 | 0.711 |
| case 3 | 100 | 250 | 57.450 | 45 | 8 | 0.745 |
| case 4 | 100 | 250 | 57.450 | 55 | 8 | 0.766 |
| case 5 | 100 | 250 | 90.175 | 45 | 8 | 0.780 |
| case 6 | 100 | 250 | 90.175 | 55 | 8 | 0.802 |
| Parameter | V1D3 Test | CFD-DEM |
|---|---|---|
| Diameter of pile D (m) | 0.1 | 0.1 |
| Average flow velocity V (m/s) | 0.286 | 0.92 |
| Traveling water depth H (m) | 0.4 | 0.4 |
| Median grain size of sediment d50 (mm) | 0.29 | 5 |
| Natural angle of repose of sediment (°) | 33 | 33 |
| Shields number θ | 0.035 | 0.048 |
| Critical Shields number θcr | 0.038 | 0.052 |
| θ/θcr | 0.92 | 0.92 |
Disclaimer/Publisher’s Note: The statements, opinions and data contained in all publications are solely those of the individual author(s) and contributor(s) and not of MDPI and/or the editor(s). MDPI and/or the editor(s) disclaim responsibility for any injury to people or property resulting from any ideas, methods, instructions or products referred to in the content. |
© 2024 by the authors. Licensee MDPI, Basel, Switzerland. This article is an open access article distributed under the terms and conditions of the Creative Commons Attribution (CC BY) license (https://creativecommons.org/licenses/by/4.0/).
Share and Cite
Zhang, N.; Yu, B.; Yin, S.; Guo, C.; Zhang, J.; Kong, F.; Zhai, W.; Qiu, G. Numerical Investigation of Local Scour Protection around the Foundation of an Offshore Wind Turbine. J. Mar. Sci. Eng. 2024, 12, 692. https://doi.org/10.3390/jmse12050692
Zhang N, Yu B, Yin S, Guo C, Zhang J, Kong F, Zhai W, Qiu G. Numerical Investigation of Local Scour Protection around the Foundation of an Offshore Wind Turbine. Journal of Marine Science and Engineering. 2024; 12(5):692. https://doi.org/10.3390/jmse12050692
Chicago/Turabian StyleZhang, Ning, Bingqian Yu, Shiyang Yin, Caixia Guo, Jianhua Zhang, Fanchao Kong, Weikun Zhai, and Guodong Qiu. 2024. "Numerical Investigation of Local Scour Protection around the Foundation of an Offshore Wind Turbine" Journal of Marine Science and Engineering 12, no. 5: 692. https://doi.org/10.3390/jmse12050692
APA StyleZhang, N., Yu, B., Yin, S., Guo, C., Zhang, J., Kong, F., Zhai, W., & Qiu, G. (2024). Numerical Investigation of Local Scour Protection around the Foundation of an Offshore Wind Turbine. Journal of Marine Science and Engineering, 12(5), 692. https://doi.org/10.3390/jmse12050692

