Next Article in Journal
Circulation and Stratification Changes in a Hypersaline Estuary Due to Mean Sea Level Rise
Next Article in Special Issue
The Application of an Improved LESS Dung Beetle Optimization in the Intelligent Topological Reconfiguration of ShipPower Systems
Previous Article in Journal
Dynamic Projection Method of Electronic Navigational Charts for Polar Navigation
Previous Article in Special Issue
Advanced State Estimation Approach for Partially Observable Shipboard Power Systems
 
 
Font Type:
Arial Georgia Verdana
Font Size:
Aa Aa Aa
Line Spacing:
Column Width:
Background:
Article

Stability Analysis in a Direct-Current Shipboard Power System with Parallel Permanent Magnet Synchronous Generators and Supercapacitor Integration

1
School of Electrical Engineering, Naval University of Engineering, Wuhan 430030, China
2
Shanghai Marine Diesel Engine Research Institute, Shanghai 201108, China
3
College of Automation, Jiangsu University of Science and Technology, Zhenjiang 212100, China
*
Authors to whom correspondence should be addressed.
J. Mar. Sci. Eng. 2024, 12(4), 578; https://doi.org/10.3390/jmse12040578
Submission received: 29 February 2024 / Revised: 26 March 2024 / Accepted: 27 March 2024 / Published: 29 March 2024

Abstract

This paper investigates the small-signal stability of a DC shipboard power system (SPS) with the integration of a supercapacitor. As an efficient energy storage solution, supercapacitors can not only provide rapid energy response to sudden power demand spikes, effectively mitigating load fluctuations, but also enhance the system’s resilience to disturbances. In the context of the parallel operation of two Permanent Magnet Synchronous Generators (PMSGs), the inclusion of supercapacitors may alter the system’s dynamic behaviors, thereby affecting its small-signal stability. This paper develops the small-signal model of SPS and explores the small-signal model under various power distribution strategies in the parallel operation of diesel generator sets. Through the calculation of eigenvalues and influence factors, the system’s oscillation modes are analyzed, and key parameters affecting the stability of the DC distribution system are identified. Furthermore, this paper meticulously examines the specific impacts of electrical and control parameter variations on the system’s small-signal stability. Simulation experiments validate the accuracy of the small-signal stability analysis after supercapacitor integration into SPS.

1. Introduction

With the increasing demand for electrical power in ships and the growing stringency of environmental regulations, new solutions are needed for the future development of shipboard power systems (SPSs) [1,2,3,4]. The DC distribution SPS, as an independent power system with limited inertia, exhibits good angular stability [5], enhancing the efficiency and reliability of SPSs [6,7,8], and is poised to become a developmental trend in future marine power systems [9]. However, propulsion loads, acting as constant power loads (CPLs), exhibit negative incremental impedance, destabilizing the DC bus voltage. This issue is exacerbated by variations in CPLs due to changes in motor speed or torque, particularly in maritime environments [10].
During the operation of DC SPSs, the system frequently encounters minor disturbances resulting from random load changes, adjustment reactions of generator sets, and variations in transmission line spacing due to natural causes [11,12,13,14]. Although these disturbances do not fundamentally alter the overall structure of the electrical system, they can lead to varying degrees of oscillations in electrical quantities. The unique operating environment of maritime vessels complicates SPS operation, demanding higher reliability and stability. Failure to swiftly restore stability after minor disturbances during stable operation may result in system failure, jeopardizing the safety of onboard personnel and hindering vessel navigation. Analyzing and calculating the stability status of the system under various conditions is critical to ensuring its stable operation, given the characteristics of DC power distribution systems. Therefore, conducting small-signal stability analyses of DC distribution SPSs is paramount to guarantee stable operation under diverse operational conditions.
Currently, two main methods are utilized for the small-signal stability analysis of an SPS: eigenvalue analysis based on the time domain and impedance analysis grounded in the frequency domain [15,16]. The utilization of eigenvalue analysis offers distinct advantages, notably its ability to provide comprehensive insight into the system’s stability by directly assessing the behavior of eigenvalues. This method allows for a precise determination of the system’s response to small perturbations, facilitating the identification of stability margins and critical system parameters that influence stability.
Recent studies on the stability analysis of the DC SPS investigated the effects of design parameters on system stability [17,18]. An eigenvalue analysis for a hybrid power SPS incorporating virtual synchronous machines was performed to examine the impact of the voltage controller, line reactance, and virtual reactance on system stability [19]. The stability of a hybrid DC SPS equipped with energy storage systems was assessed through a hybrid H-matrix model, focusing on the influence of energy storage working mode and inverter current controller parameters on system stability [20].
Small-signal stability analyses are also executed for SPSs operating with generator sets in parallel. To address stability issues arising from the parallel operation of inverters with synchronous generators, small-signal models have been developed for variable-speed generator set parallel systems, analyzing stability across different system configurations [21]. Small-signal models for synchronous generators are established by paralleling two isolated inverters, enabling calculation of participation factors and conducting an eigenvalue sensitivity analysis and small-signal stability analysis [22]. A parameter design strategy for parameterizing parallel virtual synchronous generator systems was articulated in [23], factoring in both AC and DC constraints, thereby delineating detailed stability boundaries through small-signal modeling. These studies primarily focused on synchronous generators and their operation in parallel, neglecting the effects of power distribution among Permanent Magnet Synchronous Generators (PMSGs) on stability, particularly when PMSGs are connected to fully controlled rectifiers involving multiple control loops.
Supercapacitors, as high-performance energy storage devices, contribute to the rapid development of low-power electronic products (wearables, portable electronic devices) and high-power military applications (guided missile technology and techniques) [24]. Serving as buffer elements, they help stabilize the voltage of the DC bus and reduce fluctuations between power sources and loads, thus enhancing the overall stability and reliability of the system. The addition of supercapacitors in DC distribution systems may induce changes in the system’s dynamic characteristics, impacting small-signal stability. A small-signal model for a battery and supercapacitor hybrid energy storage system employing a master-slave control scheme was proposed, analyzing the effects of controller and filter parameter variations on system performance using frequency-domain analysis [25]. This methodology was extended to the small-signal modeling and control of battery-supercapacitor systems within DC microgrids [26]. A distributed cooperative control framework for multiple dc electric springs in a dc microgrid was established and analyzed for small-signal stability in [27], with system stability effects of communication weight demonstrated through an eigenvalue analysis.
While existing studies on the integration of a supercapacitor into a DC SPS have laid a foundational understanding of its impact on small-signal stability, research primarily targets individual hybrid energy storage systems, leaving the broader implications of SPS stability less explored. The integration of a supercapacitor into an SPS and its consequent effect on the stability has been insufficiently considered. Existing analyses often overlook the nuanced impacts of newly introduced electrical and control parameters, such as the input-output characteristics of converters and the parameters of PI controllers for supercapacitors on system stability. These parameters play a crucial role in the operational efficiency and stability of SPSs, especially when integrated with supercapacitors.
This paper proposes a small-signal stability analysis method based on the integration of supercapacitors into a marine DC SPS under parallel operation of PMSGs, investigating the specific impact of newly introduced electrical and control parameters by a supercapacitor on system stability. The main contributions can be summarized as follows:
(1)
This paper develops detailed control and small-signal models for PMSGs operating in parallel across five distinct power allocation modes, offering a nuanced understanding of system behavior under various operational scenarios.
(2)
This paper rigorously analyzes how newly introduced electrical and control parameters, such as converters’ input-output characteristics and supercapacitor PI controller settings, impact system stability after supercapacitor integration, identifying key factors influencing system resilience and stability.
(3)
The system stability analysis results are validated by MATLAB simulations and comparative analyses, confirming the supercapacitor-introduced parameters’ impact on stability and showing how precise control parameter adjustments can enhance stability and identify critical thresholds.
The structure of this paper is organized as follows. Section 2 elaborates on the topology of DC SPS and the small-signal model of the parallel operation of PMSGs, discussing five main power allocation methods. Section 3 establishes the small-signal model for integrating SC into a DC SPS with parallel-operating PMSGs and analyzes the implications of this integration on the system’s small-signal stability. Section 4 explores the impact of parameter variations on system stability, presenting both a simulation analysis and experimental findings. Section 5 concludes this paper.

2. System Configuration and Mathematical Model

The structural diagram of the DC SPS is illustrated in Figure 1. The system consists of two PMSGs, each connected to the DC bus through a fully controlled rectifier (AC/DC converter). Supercapacitors are connected to the DC bus via a bidirectional DC/DC converter. The DC bus serves as the central hub of the system, linking all power sources and loads, including the Variable Frequency Drives (VFDs) used for propulsion motors.
The methodology for the small-signal stability analysis of this DC SPS under investigation is delineated in the flowchart presented in Figure 2.

2.1. PMSG and Rectifier Model

In this paper, the modeling of the PMSG is conducted in the synchronous rotating coordinate system [28]. The stator voltage equation of the PMSG is expressed as follows:
{ u d = R i d + L d d d t i d ω e L q i q u q = R i q + L q d d t i q + ω e ( L d i d + ψ f )
where i d , i q and u d , u q are the stator currents and voltages in the d and q axes; ψ f is the permanent magnets flux; R is the stator resistance; L d and L q are the stator leakage inductances in the d and q axes; and ω e is the rotor electrical angular speed.
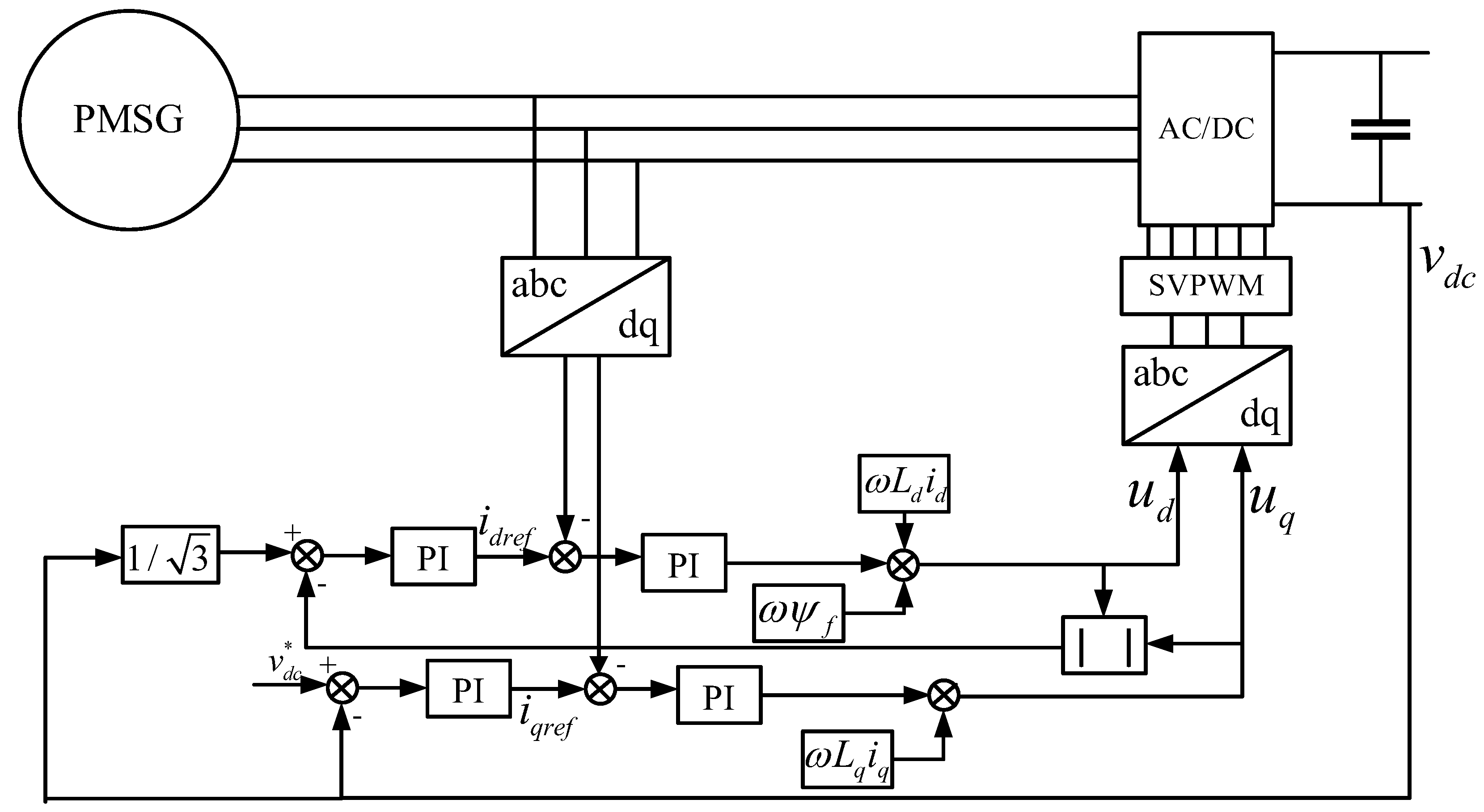
In this study, the control model for PMSGs incorporates both flux-weakening and droop control mechanisms based on vector control principles [10]. As shown in Figure 3, the control of the rectifier is implemented using four PI controllers; this structure comprises two inner-loop current controllers for the decoupling of dq-axis current control. The outer loop includes a flux-weakening controller, which limits the machine voltage during high-speed operation, and a droop controller that adjusts the DC voltage reference value to achieve power distribution during parallel operation of PMSGs. The implementation of the flux-weakening control mitigates the risk of excessive terminal or DC bus voltages under high-speed conditions, expanding the operational voltage range and ensuring safe operation within the system limits. The droop control, crucial for parallel-operating PMSGs in the DC SPS, automatically adjusts power output in response to load variations, enabling balanced power distribution and maintaining system stability without the need for direct communication between units.
The differential equation for the flux-weakening controller is:
{ d X v c i d t = v c max * v c i d r e f = k v c i X v c i + k v c p ( v c max * v c )
where k v c i and k v c p are the integral gain and proportional gain for the flux-weakening controller, X v c i is the state variable introduced by the integral component of the PI controller, v c max * = v d c / 3 , and v c = v d 2 + v q 2 .
The differential equation for the droop controller is:
{ d X d c i d t = v d c * v d c i q r e f = k d c i X d c i + k d c p ( v d c * v d c )
where k d c i and k d c p are the integral gain and proportional gain for droop controller, X d c i is the state variable introduced by the droop controller, and v d c is the DC bus voltage. The voltage reference value v d c * varies depending on the power allocation mode:
v d c * = ( P r e f P ) k d r o o p + V b a s e
where P r e f represents the reference output power of the PMSG obtained through the power allocation strategy, P = i d c v d c is the actual output power of the PMSG, k d r o o p is the droop coefficient, and V b a s e is the rated DC bus voltage.
The input of the current inner loop is the error between the detected actual current value and the current reference value from the outer loop. The output is the control voltage. The differential equation set for the current controller is:
{ d X i d i d t = i d r e f i d d X i q i d t = i q r e f i q z d = k i d i X i d i + k i d p ( i d r e f i d ) z q = k i q i X i q i + k i q p ( i q r e f i q )
where k i d i ,   k i q i ,   k i d p and k i q p are the integral gain and proportional gain for current controller. X i d i and X i q i are the state variables associated with the PI controllers.
Typically, a rectifier consists of a bridge circuit comprising six IGBTs, which control IGBT switching according to the control objective to generate PWM signals [29]. The rectifier is modeled using an average value model:
{ u d = d d v d c i d c = 3 2 ( d d i d + d q i q ) u q = d q v d c
where i d c is the output current of the PMSG and d d and d q are the modulation indexes.
Following the rectifier, a DC bus capacitor is described by the following differential equation:
d v d c d t = i d c i o C d c
where C d c is the DC-link capacitor and i o is the output current of the PMSG.

2.2. Supercapacitor and Bidirectional DC-DC Converter Model

The supercapacitor employs a bidirectional boost–buck converter as the interface between the energy storage device and the DC bus [30]. The control diagram of the supercapacitor is shown in Figure 4.
The differential equation set for the supercapacitor and its bidirectional DC-DC converter can be represented as follows:
{ d i S C d t = v S C ( 1 d ) v o s c R S C i S C L S C d v c o d t = ( 1 d ) i S C i o s c C o d v S C d t = i S C C S C i o s c = v c o + ( 1 d ) R o i S C v o s c R o
where the duty cycle d is generated by the controller of the DC-DC converter and changes with variations in the system’s state or output variables.
The expression for the voltage loop PI controller is:
{ d X i d t = K i s i d U i s r e f = K i s p d U + X i
where d U is the voltage difference, obtained from the following equation:
d U = ( v d c * v o s c 1 2 P d i f f ) × 1.2 × ( 1 i s c v s c P s c r a t e d ) × 0.7 × 1.2
The expression for the current loop PI controller is:
{ d X d d t = K d d i ( i s r e f i s c ) d = K d d p ( i s r e f i s c ) + X d
where k i s p ,   k i s i ,   k d d p and k d d i are the proportional and integral parameters in the voltage and current controllers.

2.3. Voltage Setting under Different Power Allocation Modes

Based on different power allocation modes, the voltage setpoint of the voltage outer loop controller for diesel generator 1, which is obtained from the droop control, is:
(1)
Specified power operation
Representing the specified output power of diesel generator 1 by R , the voltage setpoint for generator 1 is:
v d c 1 * = { ( P w h o l e / 2 P 1 ) k d r o o p / 1000 + V b a s e ,   when   R > P w h o l e ( R P 1 ) k d r o o p / 1000 + V b a s e ,   when   R < P w h o l e
where P 1 is the output power of generator 1 and P w h o l e is the load power.
(2)
Specified proportional operation
Representing the specified output power of diesel generator 1 as a proportion of the total power by Q , the voltage setpoint for generator 1 is:
v d c 1 * = { ( Q P w h o l e P 1 ) k d r o o p / 1000 + V b a s e ,   when   Q P w h o l e < 500 ( 500,000 P 1 ) k d r o o p / 1000 + V b a s e ,   when   Q P w h o l e > 500
(3)
Full load operation of generator 1
When the total load power exceeds 500 kW, generator 1 takes on 500 kW, and the remaining power is borne by generator 2. When the total power is less than 500 kW, both generators share the total power equally. Thus, the voltage setpoint for generator 1 is:
v d c 1 * = { ( P w h o l e / 2 P 1 ) k d r o o p / 1000 + V b a s e ,   when   P w h o l e < 500 ( 500,000 P 1 ) k d r o o p / 1000 + V b a s e ,   when   P w h o l e > 500
(4)
Full load operation of generator 2
When the total load power exceeds 500 kW, generator 2 takes on 500 kW, and the remaining power is borne by generator 1. When the total power is less than 500 kW, both generators share the total power equally. Thus, the voltage setpoint for generator 1 is:
v d c 1 * = { ( P w h o l e / 2 P 1 ) k d r o o p / 1000 + V b a s e ,   when   P w h o l e < 500 ( P w h o l e 500,000 P 1 ) k d r o o p / 1000 + V b a s e ,   when   P w h o l e > 500
(5)
Even power distribution
When the power management module is not involved in regulation, the output power of the two diesel generators is evenly distributed. Thus, the voltage setpoint for generator 1 is:
v d c 1 * = ( P w h o l e / 2 P 1 ) k d r o o p / 1000 + V b a s e
Regardless of the power allocation method, if the difference between the total power and the power of generator 1 exceeds 500 kW, generator 2 can bear a maximum of 500 kW. If the difference is less than 500 kW, the DC reference voltage of generator 2 is set to 710 V. Thus, the voltage setpoints for generator 2 are both:
v d c 2 * = { V b a s e , when   P w h o l e P 1 < 500   kW ( 500,000 P 2 ) k d r o o p / 1000 + V b a s e ,   when   P w h o l e P 1 > 500   kW

2.4. Small-Signal Model of DC Distribution SPS

The system loads are modeled using a constant power load (CPL), since the most significant load in SPS is often the propulsion load, which exhibits characteristics of a CPL. Applying Kirchhoff’s current and voltage laws, we can calculate:
i o 1 + i o 2 + i S C = i l o a d = P l o a d v d c
where P l o a d is the power of the CPL.
Hence, the model for the entire system can be obtained as:
x ˙ = f ( x , u )
where x represents the system state variables:
x = [ i d 1 , i q 1 , V d c 1 , X v c i 1 , X i o i 1 , X i d i 1 , X i q i 1 , V d 1 , V q 1 , i d 2 , i q 2 , X v c i 2 , X i o i 2 , X i d i 2 , X i q i 2 , V d 2 , V q 2 , i s c , V s c , V c o , X i , X d ]
The input of the system is u = [ i o ] .
Linearizing at the equilibrium point yields the small-signal model of the entire DC distribution SPS:
δ x ˙ = A ( x 0 , u 0 ) δ x + B ( x 0 , u 0 ) δ u
and δ x = [ δ i d 1 , δ i q 1 , δ V d c 1 , δ X v c i 1 , δ X i o i 1 , δ X i d i 1 , δ X i q i 1 , δ V d 1 , δ V q 1 , δ i d 2 , δ i q 2 , δ X v c i 2 , δ X i o i 2 , δ X i d i 2 , δ X i q i 2 , δ V d 2 , δ V q 2 , δ i s c , δ V s c , δ V c o , δ X i , δ X d ] , δ u = [ δ i o ] .
  • where A ( x 0 , u 0 ) is the Jacobian matrix.

3. Small-Signal Stability Analysis of the DC SPS

In this section, the impact of integrating supercapacitors into DC SPS under the parallel operation of two PMSGs is investigated. All system parameters are listed in Table 1. Through quantitative numerical simulations and qualitative analyses, the key influencing factors of system stability under different operating conditions with supercapacitor integration are analyzed.

3.1. Eigenvalue and Influence Factor Analysis

Under the scenario of the parallel operation of diesel generator sets and integration of supercapacitors into the DC distribution system with a load resistance of 0.56 Ω, five power allocation methods are employed. Stability points and Jacobian matrices are computed, and the eigenvalues of the system and the corresponding influence factors of each state variable are determined. The system’s eigenvalues are depicted in Figure 5.
As illustrated in Figure 5, the eigenvalue distribution clearly demonstrates that, irrespective of the power allocation method employed, all eigenvalues are positioned within the left half-plane. This placement unequivocally indicates that the system is in a stable state. Furthermore, to provide a more detailed analysis, three distinct regions have been identified within the eigenvalue distribution, as highlighted by the red boxes in the figure. These regions are categorized based on stability margins, specifically: high stability margin region, medium stability margin region, and low stability margin region. This emphasizes that while the high and medium stability margin regions, due to their considerable distance from the imaginary axis, generally do not affect the system’s stability, the low stability margin region warrants closer scrutiny.
Taking the case of generator 1 operating under specified power as an example, specific eigenvalues along with their corresponding damping ratios and oscillation frequencies are provided in Table 2.
In Table 2, most of the eigenvalues have an imaginary part of zero and a damping ratio of 1, indicating an overdamped state where small disturbances do not induce oscillations in the system. Among the 22 eigenvalues, 16 are negative real roots, corresponding to decaying modes. λ 3 , 4 , λ 7 , 8 , and λ 11 , 12 are negative eigenvalues corresponding to three oscillatory modes with oscillation frequencies of 234.26 Hz, 79.45 Hz, and 12.86 Hz, respectively. The damping ratio of λ 3 , 4 is not high, suggesting that insufficient damping may be provided to suppress low-frequency oscillations when the system experiences small disturbances. Conversely, λ 11 , 12 has a slightly lower oscillation frequency but a relatively higher damping ratio.
The influence factors are computed to determine the state variables associated with low-frequency oscillations, as shown in Table 3.
Through the analysis of influence factors, the impact of system state variables on eigenvalues is discernible. Specifically, λ 1 is primarily associated with V c o , which relates to the DC/DC converter output capacitor voltage. Given its significant distance from the imaginary axis, λ 1 ‘s impact on system stability is minimal. λ 2 , predominantly influenced by the d-axis stator current and voltage of generator 1 and also situated far from the imaginary axis, exerts little effect on system stability. λ 3 and λ 4 , chiefly affected by the q-axis stator current and voltage of generator 1, are influenced by the droop control coefficient. λ 5 and λ 6 , related to the stator current and voltage of generator 2 and DC bus state variables, respectively, are located far from the imaginary axis and hence have a minimal influence on stability. λ 7 and λ 8 , associated with the q-axis stator current of both generators and DC bus state variables, are influenced by DC bus voltage and the PMSG voltage controller. λ 9 and λ 10 , related to the stator voltage of generator 1 and 2, respectively, are also distant from the imaginary axis. λ 11 and λ 12 , related to the supercapacitor output current and its current loop controller, represent a pair of dominant conjugate roots introduced by supercapacitor integration. λ 17 and λ 18 are associated with the supercapacitor voltage and its outer voltage controller. λ 13 to λ 16 and λ 19 to λ 22 , related to the outer voltage controllers, flux-weakening controllers, and d-axis and q-axis current control inner loops of both generator units, are influenced by PI controller parameters. However, compared to the electromagnetic transient time constants of the generators and rectifiers, their inertia time constants are considerably larger, resulting in very small variations in eigenvalues and thus a lesser impact on system stability.
From the preceding analysis, it is concluded that the integration of supercapacitors into the DC distribution system primarily affects the trajectories of five key eigenvalues: λ 1 , λ 11 , λ 12 , λ 17 , and λ 18 . Notably, λ 11 and λ 12 are conjugate roots; serving as the dominant modes with relatively lower oscillation frequencies, they are particularly sensitive to variations in supercapacitor parameters. The specific effects of these electrical and control parameters on the stability are analyzed theoretically under different conditions.

3.2. Impact of Capacitance and Resistance Parameter Variations on Converter Output

At the interface between the DC/DC converter and the DC bus, a pair of series-connected capacitor C o and resistor R o are paralleled. Here, the influence of parameter variations on the system stability is analyzed. Employing the same power allocation method for generator 1 operating at specified power, trajectories of λ 11 and λ 12 are calculated as C o gradually increases from 0.1 mF to 100 mF, as depicted in Figure 6.
In Figure 6, the blue asterisk represents the location of eigenvalues in the s-plane. The arrows, on the other hand, indicate the direction of movement for these eigenvalues as the C o increase. It can be observed that as the output capacitance of the converter increases, the eigenvalues gradually approach the imaginary axis in an arc shape, but always remain on the left-hand side of the imaginary axis, indicating stability within this range.
Similarly, with R o gradually increasing from 1 mΩ to 1 Ω, the trajectories of λ 11 and λ 12 with R o are calculated, as shown in Figure 7.
From Figure 7, it can be observed that as the output resistance of the converter increases, the eigenvalues move very slowly towards the imaginary axis, indicating that the variation of R o has minimal impact on the eigenvalues and virtually no effect on the stability of the system.

3.3. Impact of Inductance and Resistance Parameter Variations on Converter Input

The input stage of the supercapacitor and DC/DC converter is connected in a series with a pair of inductors L s c and resistors R s c . Here, the influence of parameter variations on the system stability is analyzed. When L s c gradually increases from 0.1 mH to 10 mH, the trajectories of λ 11 and λ 12 are computed with respect to the variation, as shown in Figure 8.
As shown in Figure 8, as L s c gradually increases, the dominant low-frequency eigenvalues approach the imaginary axis but do not cross it. This indicates that the variation in the input inductance of the converter has a minor impact on the system stability. However, it is worth noting that when the value of L s c becomes excessively large, the dominant low-frequency eigenvalues may shift to the right half-plane, causing the system to lose stability.
When R s c increases gradually from 1 mΩ to 50 Ω, the trajectories of λ 11 and λ 12 with respect to the variation are computed, as shown in Figure 9.
As shown in Figure 9, when R s c exceeds 5 mΩ, two eigenvalues converge on the real axis and move in opposite directions along the real axis. With the increase in the input resistance of the converter, the rate at which λ 12 approaches the imaginary axis slows down, while the speed at which λ 11 moves away from the imaginary axis increases. Even when R s c reaches 50, λ 12 continues its gradual approach towards the imaginary axis without crossing into the right half-plane, thus maintaining stability. Therefore, the system remains stable within the range where R s c is less than 50 Ω.

3.4. Impact of Supercapacitor Voltage Controller PI Parameter Variation

The voltage controller input is composed of the voltage difference multiplied by the output power control coefficient, and the output of the PI controller regulates the reference value of the super capacitor output current. To analyze the impact of the voltage control loop on the system stability, increasing k i s p and k i s i separately, the root locus of the characteristic values λ 11 and λ 12 with k i s p variation is obtained, as shown in Figure 10.
From Figure 10, it can be observed that as k i s p increases gradually from 1 to 100, the real parts of the dominant characteristic roots affecting system stability will also gradually shift leftwards towards the real axis, indicating an improvement in system stability.
The root locus of the characteristic roots for the voltage outer loop, as shown in Figure 11, indicates that as k i s i increases from 0.1 to 10, the roots λ 11 and λ 12 gradually approach the imaginary axis, but they never cross it, indicating system stability within this range.

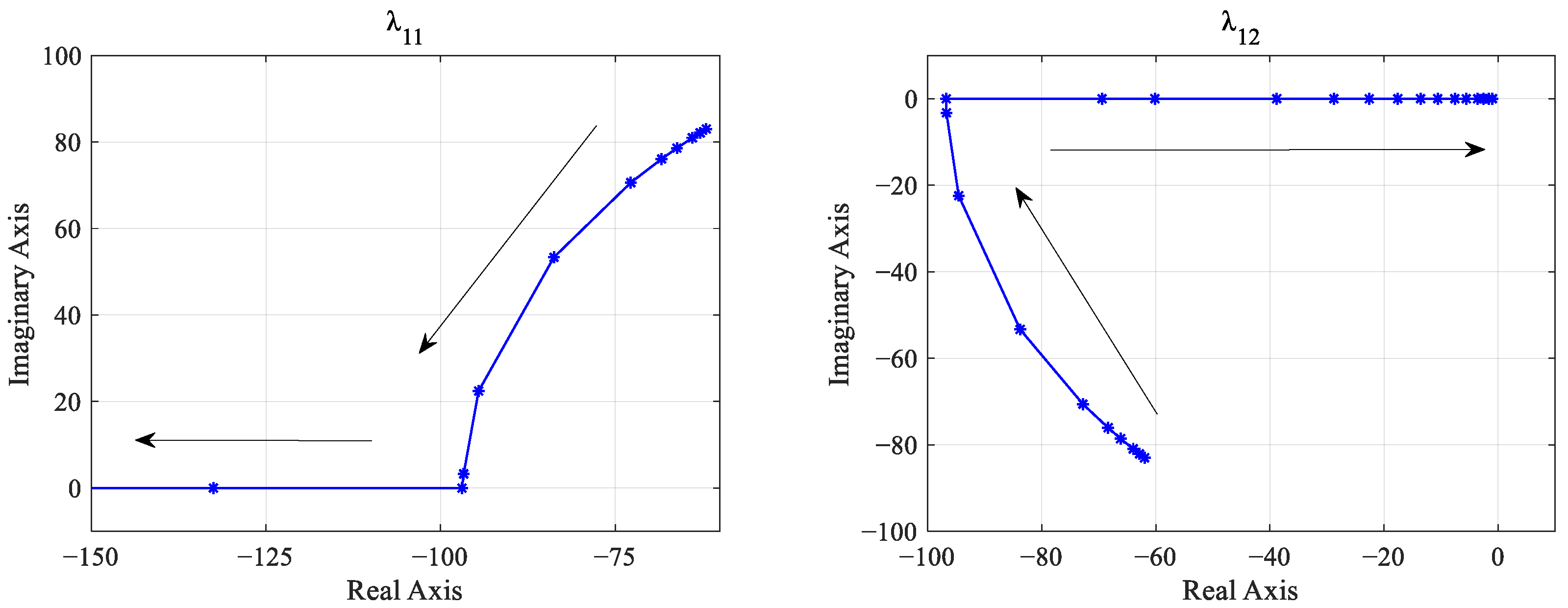
3.5. Impact of Supercapacitor Current Controller PI Parameter Variation

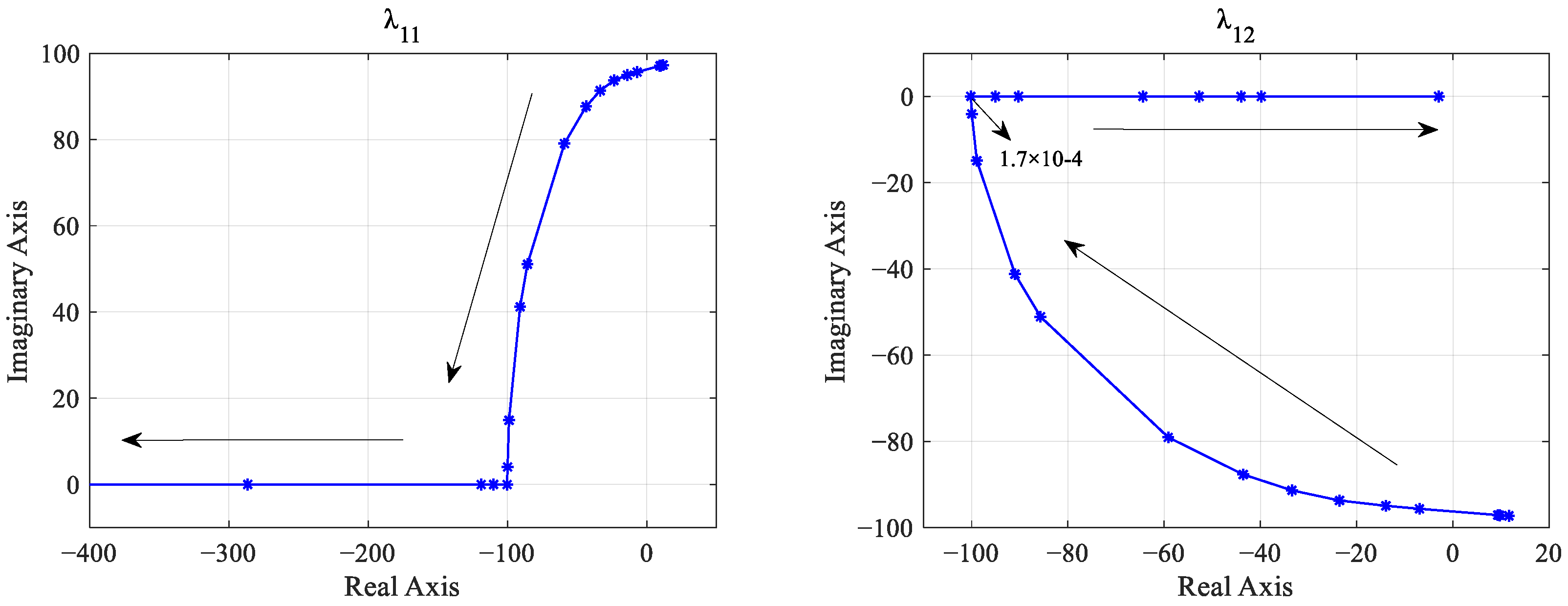
The current controller is responsible for generating the modulation signal for the DC/DC converter. It calculates the difference between the reference current value for the supercapacitor output and the actual current value to obtain the current error. Subsequently, the PI controller adjusts this error to generate the modulation signal. This modulation signal, after PWM modulation, eventually controls the switching devices by controlling on and off states. To analyze the effect of the voltage control loop on system stability, the PI parameters of the current inner loop, namely k d d p and k d d i , are individually increased. The resulting characteristic roots and their trajectories with parameter variations are depicted in Figure 12.
As depicted in Figure 12, when k d d p increases from 1 × 10−6 to 1, λ 11 and λ 12 move from the right half-plane to the left half-plane of the s-domain with the increase in k d d p , crossing the imaginary axis into the left half-plane when k d d p exceeds 9 × 10−6, indicating the system’s transition to stability. At k d d p = 1.7 × 10−4, the two eigenvalues intersect with the real axis and then move in opposite directions along it. As k d d p continues to increase, λ 12 approaches the imaginary axis very slowly and does not cross it even at k d d p = 1. Due to the inherent upper and lower limits of the PI controller, further increases in k d d p are inconsequential. Hence, the system remains stable within the range where k d d p is greater than 9 × 10−6.
Figure 13 depicts the root locus of the characteristic roots as k d d i increases from 0.001 to 1. It can be observed that λ 11 and λ 12 gradually approach the imaginary axis with increasing k d d i . When k d d i reaches 0.15, the characteristic values cross the imaginary axis into the right half-plane of the s domain, causing system instability. This indicates that under the specified operating conditions, the system remains stable when k d d i is less than 0.15; however, when k d d i exceeds 0.15, the system enters the right side of the imaginary axis, becoming unstable.

4. Simulation Verification

In this section, the small-signal stability of SPS integrated with a supercapacitor is examined through case studies. The impact of newly introduced electrical and control parameters on system stability after the integration of a supercapacitor are explored through simulation experiments, as illustrated in Figure 14. The selection and adjustment of PI parameters for controlling the charging and discharging of the supercapacitor not only affect the performance of the supercapacitor but also directly influence the overall system stability.

4.1. Case 1

In this case, a comprehensive simulation analysis was conducted to investigate the impact of varying proportional gain k d d p of the current controller on system stability. Specifically, k d d p was set at values of 1 × 10−6, 5 × 10−6, 1 × 10−5, and 1 × 10−4, aiming to explore how changes in this parameter affect the dynamic behavior and stability of the system. Simulation curves are shown in Figure 15 and Figure 16.
The simulation results revealed several key observations. At lower k d d p values of 1 × 10−6, significant oscillations in the DC bus voltage and current were observed, indicating system instability. As k d d p was increased to 5 × 10−6, although oscillations persisted in the voltage curve, the amplitude of these oscillations decreased, suggesting an improvement in system stability, albeit not yet reaching an ideal state of stability. These oscillations not only signify an unstable system state but also suggest that the lower k d d p values do not provide sufficient control strength to counteract disturbances. The presence of these oscillations directly impacts system reliability and performance, exposing the system’s vulnerability under these parameter settings.
With an increase in k d d p to 1 × 10−5 and 1 × 10−4, a marked improvement in system performance was noted. Particularly, when k d d p reached 1 × 10−5, the amplitude of oscillations in the DC bus voltage and current significantly reduced, indicating the onset of system stability. At k d d p =1 × 10−4, the system exhibited stable responses in both DC bus voltage and current without noticeable oscillations, demonstrating that higher k d d p values effectively enhance the system’s ability to resist disturbances and bolster stability.
These simulation outcomes unequivocally demonstrate the decisive role of the current controller’s proportional gain k d d p in the stability of DC SPS. Lower k d d p values lead to diminished system stability, whereas an increase in k d d p significantly enhances stability.

4.2. Case 2

In case 2, the integral gain k d d i was methodically adjusted to values of 0.01, 0.1, 0.15, and 0.2 in distinct simulation experiments. This setup aimed to scrutinize the influence of k d d i adjustments on the system’s dynamic stability and operational behavior. The simulation curves are illustrated in Figure 17 and Figure 18.
The simulation findings presented a detailed narrative of how k d d i influences system stability. For k d d i values set at 0.01 and 0.1, the system exhibited stable responses with the DC bus voltage and current maintaining equilibrium without significant fluctuations. This stability indicates that at these levels, k d d i provides adequate damping to system perturbations, ensuring robust system performance under varying operational conditions.
However, as k d d i increased to 0.15 and further to 0.2, the stability of the system was compromised. Specifically, simulations at these higher k d d i settings revealed pronounced oscillations in both the DC bus voltage and current, signifying a transition to an unstable system state. The emergence of these oscillations at higher k d d i values indicates an overcompensation in the system’s response to disturbances, leading to instability. The oscillation amplitude approached nearly ±10%, a deviation that significantly breaches the system performance criteria.
These insights from the simulation analysis align with the theoretical results in Section 3.5 and confirm the critical role of the current controller’s integral gain k d d i in maintaining system stability. While lower k d d i values ensure system stability by effectively damping oscillations, exceeding a threshold ( k d d i > 0.15) precipitates instability.

5. Conclusions

This study investigated the small-signal stability of integrating supercapacitors into a DC SPS. The control model for PMSG and their small-signal models were formulated, featuring a detailed analysis of PMSG parallel operations across five power distribution modes. The specific impacts of newly introduced electrical and control parameters, including the input-output parameters of converters and the PI controllers’ parameters of supercapacitor controllers, on system stability were explored following the integration of supercapacitors. Simulations conducted using MATLAB revealed that the converter’s input-output electrical parameters have a negligible influence on eigenvalues and overall system stability. It was found that system stability increases with k d d p and stabilizes when k d d p exceeds 5 × 10−6, maintaining stability when k d d i is below 0.15, but instability occurs beyond 0.15.
This research highlights that supercapacitor integration can significantly enhance system stability by mitigating oscillations and providing additional damping, especially in dominant modes. The findings illustrate the pivotal role of electrical and control parameter adjustments in leveraging supercapacitor benefits while ensuring the system’s resilience. The exploration into the nuanced influences of these parameters under various conditions sheds light on the critical balance between enhancing performance and maintaining system stability.
Future avenues for research may include investigating the effects of modified droop control strategies on power distribution and assessing system behavior under the variable-speed operations of diesel generator sets.

Author Contributions

Conceptualization, Q.Y. and S.W.; Data curation, Q.Y. and X.W.; Formal analysis, W.Z. (Wei Zhuang); Funding acquisition, Q.Y., X.W. and W.Z. (Wanlu Zhu); Investigation, Q.Y.; Methodology, Q.Y. and S.W.; Project administration, X.W.; Resources, W.Z. (Wei Zhuang); Software, W.Z. (Wei Zhuang); Supervision, X.W.; Validation, S.W. and W.Z. (Wei Zhuang); Visualization, S.W.; Writing—original draft, Q.Y. and W.Z. (Wanlu Zhu); Writing—review & editing, W.Z. (Wanlu Zhu). All authors have read and agreed to the published version of the manuscript.

Funding

This research received no external funding.

Institutional Review Board Statement

Not applicable.

Informed Consent Statement

Not applicable.

Data Availability Statement

The data presented in this study are available on request from the corresponding author. The data are not publicly available due to privacy.

Conflicts of Interest

The authors declare no conflicts of interest.

References

  1. IEEE Standards Association. IEEE std. 1709—2018 IEEE Recommended Practice for 1kV to 35 kV Medium-Voltage DC Power Systems on Ships; IEEE: Piscataway, NJ, USA, 2018. [Google Scholar]
  2. Inal, O.B.; Charpentier, J.F.; Deniz, C. Hybrid power and propulsion systems for ships: Current status and future challenges. Renew. Sustain. Energy Rev. 2022, 156, 111965. [Google Scholar] [CrossRef]
  3. Coffey, S.; Timmers, V.; Li, R.; Wu, G.; Egea-Àlvarez, A. Review of MVDC applications, technologies, and future prospects. Energies 2021, 14, 8294. [Google Scholar] [CrossRef]
  4. Xu, L.; Guerrero, J.M.; Lashab, A.; Wei, B.; Bazmohammadi, N.; Vasquez, J.C.; Abusorrah, A. A review of DC shipboard microgrids—Part II: Control architectures, stability analysis, and protection schemes. IEEE Trans. Power Electron. 2021, 37, 4105–4120. [Google Scholar] [CrossRef]
  5. Liu, S.; Miao, H.; Li, J.; Yang, L. Voltage control and power sharing in DC Microgrids based on voltage-shifting and droop slope-adjusting strategy. Electr. Power Syst. Res. 2023, 214, 108814. [Google Scholar] [CrossRef]
  6. Latorre, A.; Soeiro, T.B.; Geertsma, R.; Coraddu, A.; Polinder, H. Shipboard DC systems, a Critical Overview: Challenges in Primary Distribution, Power Electronics-based Protection, and Power Scalability. IEEE Open J. Ind. Electron. Soc. 2023, 4, 259–286. [Google Scholar] [CrossRef]
  7. Hassan, M.A.; Su, C.L.; Pou, J.; Sulligoi, G.; Almakhles, D.; Bosich, D.; Guerrero, J.M. DC shipboard microgrids with constant power loads: A review of advanced nonlinear control strategies and stabilization techniques. IEEE Trans. Smart Grid. 2022, 13, 3422–3438. [Google Scholar] [CrossRef]
  8. Zeng, Y.; Zhang, Q.; Liu, Y.; Zhuang, X.; Che, L.; Niu, M.; Zheng, X. State-of-charge dynamic balancing strategy for distributed energy storage system in DC shipboard microgrid. Int. J. Electr. Power Energy Systems 2021, 133, 107094. [Google Scholar] [CrossRef]
  9. Ghimire, P.; Zadeh, M.; Pedersen, E.; Thorstensen, J. Dynamic modeling, simulation, and testing of a marine DC hybrid power system. IEEE Trans. Transp. Electrif. 2020, 7, 905–919. [Google Scholar] [CrossRef]
  10. Son, Y.K.; Lee, S.Y.; Ko, S.; Kim, Y.W.; Sul, S.K. Maritime DC power system with generation topology consisting of combination of permanent magnet generator and diode rectifier. IEEE Trans. Transp. Electrif. 2020, 6, 869–880. [Google Scholar] [CrossRef]
  11. Park, D.; Zadeh, M. Dynamic modeling, stability analysis, and power management of shipboard dc hybrid power systems. IEEE Trans. Transp. Electrif. 2021, 8, 225–238. [Google Scholar] [CrossRef]
  12. Gao, X.P.; Fu, L.J.; Hu, J.; Yan, Q.S. Voltage stability analysis of DC ship power system with pulse load. J. Eng. 2019, 2019, 2027–2031. [Google Scholar] [CrossRef]
  13. Yang, J.; Yan, H.; Gu, C.; Wang, S.; Zhao, W.; Wheeler, P.; Buticchi, G. Modeling and stability enhancement of a permanent magnet synchronous generator based DC system for more electric aircraft. IEEE Trans. Ind. Electron. 2021, 69, 2511–2520. [Google Scholar] [CrossRef]
  14. Leng, M.; Zhou, G.; Li, H.; Xu, G.; Blaabjerg, F.; Dragičević, T. Impedance-based stability evaluation for multibus DC microgrid without constraints on subsystems. IEEE Trans. Power Electron. 2021, 37, 932–943. [Google Scholar] [CrossRef]
  15. Hatziargyriou, N.; Milanovic, J.; Rahmann, C.; Ajjarapu, V.; Canizares, C.; Erlich, I.; Hill, D.; Hiskens, I.; Kamwa, I.; Pal, B.; et al. Definition and classification of power system stability–revisited & extended. IEEE Trans. Power Syst. 2020, 36, 3271–3281. [Google Scholar]
  16. Ahmed, M.; Meegahapola, L.; Vahidnia, A.; Datta, M. Stability and control aspects of microgrid architectures–a comprehensive review. IEEE Access 2020, 8, 144730–144766. [Google Scholar] [CrossRef]
  17. Riccobono, A.; Cupelli, M.; Monti, A.; Santi, E.; Roinila, T.; Abdollahi, H.; Arrua, S.; Dougal, R.A. Stability of shipboard dc power distribution: Online impedance-based systems methods. IEEE Electrif. Mag. 2017, 5, 55–67. [Google Scholar] [CrossRef]
  18. Javaid, U.; Freijedo, F.D.; van der Merwe, W.; Dujic, D. Stability analysis of multi-port MVDC distribution networks for all-electric ships. IEEE J. Emerg. Sel. Top. Power Electron. 2020, 8, 1164–1177. [Google Scholar] [CrossRef]
  19. Liu, R.; Ding, L.; Xue, C.; Li, Y. Small-signal modelling and analysis of microgrids with synchronous and virtual synchronous generators. IET Energy Syst. Integr. 2023, 4. [Google Scholar] [CrossRef]
  20. Li, X.; Meng, C.; Yang, Q.; Zhao, Y.; Li, W.; Xie, S.; Jiang, C. Small-signal Stability Analysis of DC Ship Hybrid Power System with Energy Storage Device Based on Hybrid H-matrix Model. IEEE Trans. Transp. Electrif. 2023, 11. [Google Scholar] [CrossRef]
  21. Gao, M.; Liu, J. Parallel Stability Analysis of Generator and Inverter in Independent Micro grid. J. Phys. Conf. Ser. 2020, 1549, 052004. [Google Scholar] [CrossRef]
  22. Hu, X.; Fan, H.; Li, T.; Meng, Z.; Luo, P.; Zhou, H. Stability analysis and parameter configuration of parallel virtual synchronous generators in microgrid. Energy Rep. 2022, 8, 866–873. [Google Scholar] [CrossRef]
  23. Xie, P.; Yuan, C.; Guan, Y.; Tan, S.; Li, M.; Vasquez, J.C.; Guerrero, J.M. Stability analysis considering dual physical constraints of parallel-connected virtual synchronous generators forming microgrids. In Proceedings of the 2019 IEEE Energy Conversion Congress and Exposition (ECCE), Baltimore, MD, USA, 29 September 2019–3 October 2019; IEEE: Piscataway, NJ, USA, 2019; pp. 2092–2098. [Google Scholar]
  24. Raza, W.; Ali, F.; Raza, N.; Luo, Y.; Kim, K.H.; Yang, J.; Kumar, S.; Mehmood, A.; Kwon, E.E. Recent advancements in supercapacitor technology. Nano Energy 2018, 52, 441–473. [Google Scholar] [CrossRef]
  25. Singh, P.; Lather, J.S. Small-signal modeling and stability analysis of autonomous direct current microgrid with distributed energy storage system. J. Energy Storage 2021, 41, 102973. [Google Scholar] [CrossRef]
  26. Arunkumar, C.R.; Manthati, U.B. Design and small signal modelling of battery-supercapacitor HESS for DC microgrid, TENCON 2019. In Proceedings of the 2019 IEEE Region 10 Conference (TENCON), Kochi, India, 17–20 October 2019; IEEE: Piscataway, NJ, USA, 2019; pp. 2216–2221. [Google Scholar]
  27. Chen, X.; Shi, M.; Sun, H.; Li, Y.; He, H. Distributed cooperative control and stability analysis of multiple DC electric springs in a DC microgrid, IEEE Trans. Ind. Electron. 2018, 65, 5611–5622. [Google Scholar] [CrossRef]
  28. Sul, S.-K. Control of Electric Machine Drive Systems; Wiley: Hoboken, NJ, USA, 2010. [Google Scholar]
  29. Li, Y.; Shuai, Z.; Liu, X.; Hong, Y.; Wu, X.; Shen, Z.J. Stability investigation of bidirectional AC-DC converter considering operating conditions. IEEE Access 2020, 8, 131499–131510. [Google Scholar] [CrossRef]
  30. Punna, S.; Manthati, U.B.; Raveendran, A.C. Modeling, analysis, and design of novel control scheme for two-input bidirectional DC-DC converter for HESS in DC microgrid applications. Int. Trans. Electr. Energy Syst. 2021, 31, e12774. [Google Scholar] [CrossRef]
Figure 1. Structure diagram of DC distribution of SPS.
Figure 1. Structure diagram of DC distribution of SPS.
Jmse 12 00578 g001
Figure 2. Flowchart of small-signal stability analysis for DC SPS.
Figure 2. Flowchart of small-signal stability analysis for DC SPS.
Jmse 12 00578 g002
Figure 3. Control diagram of PMSG.
Figure 3. Control diagram of PMSG.
Jmse 12 00578 g003
Figure 4. Control diagram of supercapacitor.
Figure 4. Control diagram of supercapacitor.
Jmse 12 00578 g004
Figure 5. Eigenvalue distribution diagram for DC SPS.
Figure 5. Eigenvalue distribution diagram for DC SPS.
Jmse 12 00578 g005
Figure 6. Eigenvalue trajectories with varying C o values.
Figure 6. Eigenvalue trajectories with varying C o values.
Jmse 12 00578 g006
Figure 7. Eigenvalue trajectories with varying R o values.
Figure 7. Eigenvalue trajectories with varying R o values.
Jmse 12 00578 g007
Figure 8. Eigenvalue trajectories with varying L s c values.
Figure 8. Eigenvalue trajectories with varying L s c values.
Jmse 12 00578 g008
Figure 9. Eigenvalue trajectories with varying R s c values.
Figure 9. Eigenvalue trajectories with varying R s c values.
Jmse 12 00578 g009
Figure 10. Eigenvalue trajectories with varying k i s p values.
Figure 10. Eigenvalue trajectories with varying k i s p values.
Jmse 12 00578 g010
Figure 11. Eigenvalue trajectories with varying k i s i values.
Figure 11. Eigenvalue trajectories with varying k i s i values.
Jmse 12 00578 g011
Figure 12. Eigenvalue trajectories with varying k d d p values.
Figure 12. Eigenvalue trajectories with varying k d d p values.
Jmse 12 00578 g012
Figure 13. Eigenvalue trajectories with varying k d d i values.
Figure 13. Eigenvalue trajectories with varying k d d i values.
Jmse 12 00578 g013
Figure 14. Simulation model for DC SPS in MATLAB R2022a.
Figure 14. Simulation model for DC SPS in MATLAB R2022a.
Jmse 12 00578 g014
Figure 15. DC bus voltage curves for different k d d p values.
Figure 15. DC bus voltage curves for different k d d p values.
Jmse 12 00578 g015
Figure 16. DC bus current curves for different k d d p values.
Figure 16. DC bus current curves for different k d d p values.
Jmse 12 00578 g016
Figure 17. DC bus voltage curves for different k d d i values.
Figure 17. DC bus voltage curves for different k d d i values.
Jmse 12 00578 g017
Figure 18. DC bus current curves for different k d d i values.
Figure 18. DC bus current curves for different k d d i values.
Jmse 12 00578 g018
Table 1. Parameters of DC SPS.
Table 1. Parameters of DC SPS.
ParameterValueParameterValueParameterValue
Stator resistance R 0.00168 ΩDroop controller k d c p 4SC resistance R S C 0.01 Ω
Stator inductance L d 296.71 μHDroop controller k d c i 0.04SC inductance L S C 0.48 mH
Stator inductance L q 671.74 μHFlux-weakening controller k v c p 0.1SC capacitance C S C 1315 F
Permanent magnets flux ψ f 0.5882 WbFlux-weakening controller k v c i 0.4Converter resistance R o 1 mΩ
Rotor speed ω e 1500 r/mindq-axes current controller k i d p , k i q p 0.6Converter capacitance C o 470 μF
Rated DC bus voltage V b a s e 710 Vdq-axes current controller k i d i , k i q i 0.005SC voltage controller k i s p 40
DC-link capacitor C d c 9.6 mFDroop coefficient k d r o o p 0.5SC voltage controller k i s i 1.2
Load power P l o a d 900 kWSC current controller k d d p 0.0001SC current controller k d d i 0.01
Table 2. Eigenvalues at equilibrium point.
Table 2. Eigenvalues at equilibrium point.
ModesEigenvaluesOscillation
Frequency (Hz)
Damping Ratio
λ 1 −2,052,086.8673195201
λ 2 −2813.8779608901101
λ 3 , 4 −513.685428 ± 1430.090132i227.610.3381
λ 5 −2242.9575172470501
λ 6 −1727.7790800123601
λ 7 , 8 −290.581350 ± 499.169328i79.450.5031
λ 9 −908.05276872771701
λ 10 −878.11703829682301
λ 11 , 12 −63.991103 ± 80.805590i12.860.6208
λ 13 −0.23375367637644901
λ 14 −0.070707974722252201
λ 15 −0.037595233394395001
λ 16 −0.034210977484524401
λ 17 −0.00047750899636942301
λ 18 −0.0033314892430148601
λ 19 −0.0082703333849826801
λ 20 −0.0082726638887428801
λ 21 −0.0082647884114258301
λ 22 −0.0082598734452708801
Table 3. Eigenvalues and corresponding state variable influence factors.
Table 3. Eigenvalues and corresponding state variable influence factors.
ModesImpact Factors
λ 1 V d c 1 2.5 % ,   V c o 97.5%
λ 2 i d 1 74.6 % ,   i q 1 8.2 % ,   V d 1 15.1 % ,   V q 1 1.2%
λ 3 , 4 i d 1 7 % ,   i q 1 44.5 % ,   V d c 1 2.8 % ,   V d 1 6.1 % ,   V q 1 38.6%
λ 5 V d c 1 5.1 % ,   i d 2 43.4 % ,   i q 2 3.1 % ,   V d 2 28 % ,   V q 2 19.6%
λ 6 V d c 1 13.2 % ,   i d 2 8.3 % ,   i q 2 12.4 % ,   V d 2 20.1 % ,   V q 2 44.7%
λ 7 , 8 i q 1 3.1 % ,   V d c 1 39.5 % ,   i d 2 1.9 % ,   i q 2 34.7 % ,   V d 2 3.2 % ,   V q 2 8.8 % ,   i s c 5.3%
λ 9 i d 1 11.2 % ,   V d 1 70.8 % ,   V q 1 17.8%
λ 10 i d 2 13.6 % ,   i q 2 2.6 % ,   V d 2 70.5 % ,   V q 2 13.2%
λ 11 , 12 V d c 1 5.2 % ,   i q 2 3.9 % ,   i s c 45 % ,   X d 44.6%
λ 13 X v c i 1 1.6 % ,   X d c i 1 95.4 % ,   X d c i 2 2.4%
λ 14 X v c i 1 1.6 % ,   X d c i 1 3 % ,   X v c i 2 19.1 % ,   X d c i 2 58.5 % ,   X i 17.6%
λ 15 X v c i 1 14.7 % ,   X d c i 1 1.9 % ,   X v c i 2 64.7 % ,   X d c i 2 8.7 % ,   X i 9.9%
λ 16 X v c i 1 75 % ,   X v c i 2 22.2 % ,   X i 2.2%
λ 17 V s c 49.9 % ,   X i 49.4%
λ 18 X d c i 2 6 % ,   V s c 49.9 % ,   X i 44%
λ 19 X i d i 1 39.2 % ,   X i q i 1 10.7 % ,   X i d i 2 38.5 % ,   X i q i 2 11.4%
λ 20 X i d i 1 49.5 % ,   X i d i 2 48.9%
λ 21 X i q i 1 49.7 % ,   X i q i 2 49.3%
λ 22 X i d i 1 19.2 % ,   X i q i 1 30.7 % ,   X i d i 2 11.1 % ,   X i q i 2 38.9%
Disclaimer/Publisher’s Note: The statements, opinions and data contained in all publications are solely those of the individual author(s) and contributor(s) and not of MDPI and/or the editor(s). MDPI and/or the editor(s) disclaim responsibility for any injury to people or property resulting from any ideas, methods, instructions or products referred to in the content.

Share and Cite

MDPI and ACS Style

Yun, Q.; Wang, X.; Wang, S.; Zhuang, W.; Zhu, W. Stability Analysis in a Direct-Current Shipboard Power System with Parallel Permanent Magnet Synchronous Generators and Supercapacitor Integration. J. Mar. Sci. Eng. 2024, 12, 578. https://doi.org/10.3390/jmse12040578

AMA Style

Yun Q, Wang X, Wang S, Zhuang W, Zhu W. Stability Analysis in a Direct-Current Shipboard Power System with Parallel Permanent Magnet Synchronous Generators and Supercapacitor Integration. Journal of Marine Science and Engineering. 2024; 12(4):578. https://doi.org/10.3390/jmse12040578

Chicago/Turabian Style

Yun, Qinsheng, Xiangjun Wang, Shenghan Wang, Wei Zhuang, and Wanlu Zhu. 2024. "Stability Analysis in a Direct-Current Shipboard Power System with Parallel Permanent Magnet Synchronous Generators and Supercapacitor Integration" Journal of Marine Science and Engineering 12, no. 4: 578. https://doi.org/10.3390/jmse12040578

APA Style

Yun, Q., Wang, X., Wang, S., Zhuang, W., & Zhu, W. (2024). Stability Analysis in a Direct-Current Shipboard Power System with Parallel Permanent Magnet Synchronous Generators and Supercapacitor Integration. Journal of Marine Science and Engineering, 12(4), 578. https://doi.org/10.3390/jmse12040578

Note that from the first issue of 2016, this journal uses article numbers instead of page numbers. See further details here.

Article Metrics

Back to TopTop