Investigation on Low-Frequency and Broadband Sound Absorption of the Compact Anechoic Coating Considering Hydrostatic Pressure
Abstract
1. Introduction
2. Method and Model
2.1. Model of the Compact Anechoic Coating
2.2. Analysis Procedure about the Geometric Deformation
2.3. Modeling Settings for the Finite Element Simulation
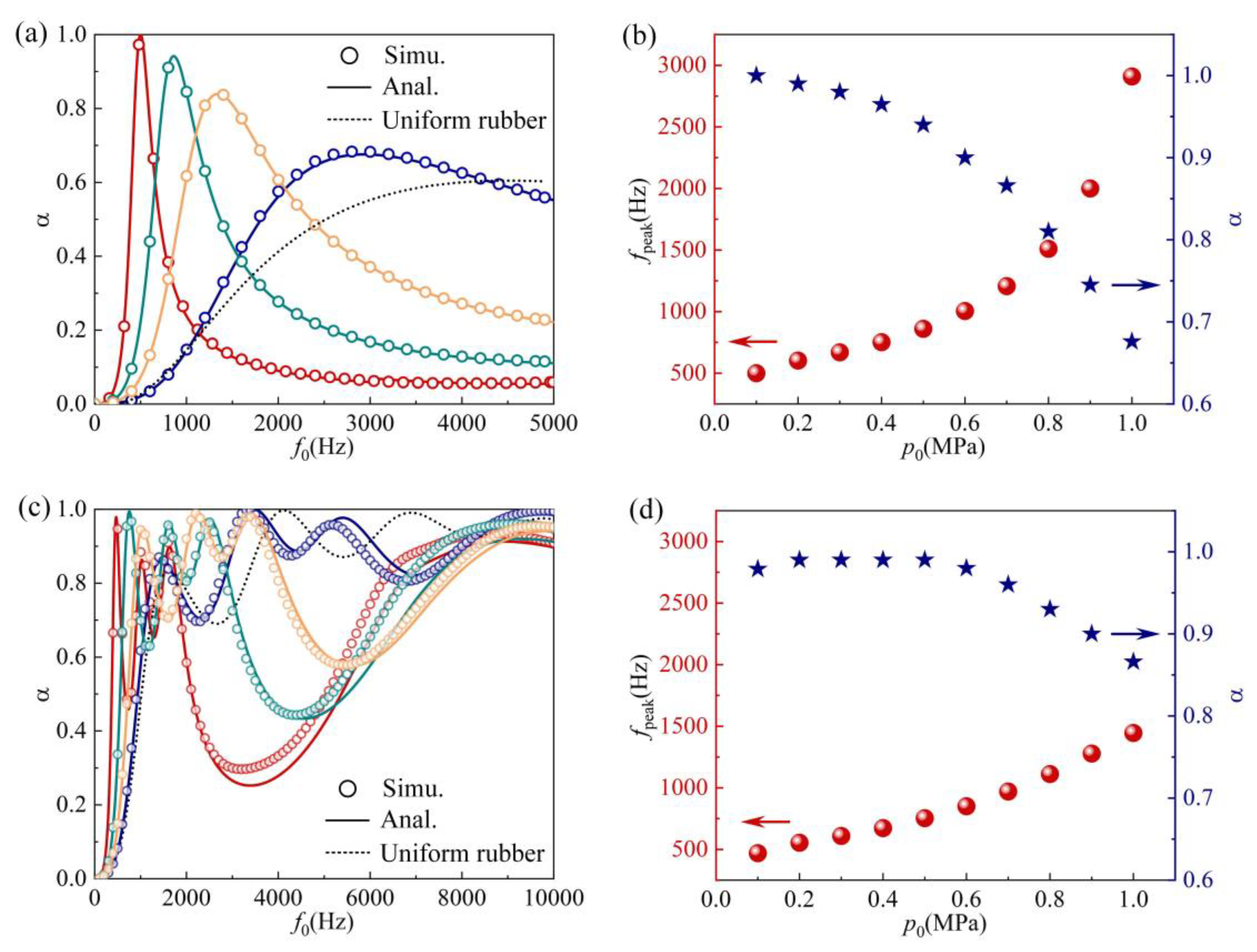
3. Results
3.1. Effect of the Geometric Deformation on Absorption Performance under Hydrostatic Pressures
3.2. Effect of the Mechanical Parameters on Absorption Performance under Hydrostatic Load
3.3. Experimental Validation
4. Discussion
5. Conclusions
Author Contributions
Funding
Institutional Review Board Statement
Informed Consent Statement
Data Availability Statement
Conflicts of Interest
References
- Gaunaurd, G. One-dimensional model for acoustic absorption in a viscoelastic medium containing short cylindrical cavities. J. Acoust. Soc. Am. 1977, 62, 298–307. [Google Scholar] [CrossRef]
- Lane, R. Absorption mechanisms for waterborne sound in Alberich anechoic layers. Ultrasonics 1981, 19, 28–30. [Google Scholar] [CrossRef]
- Bai, H.; Zhan, Z.; Liu, J.; Ren, Z. From local structure to overall performance: An overview on the design of an acoustic coating. Materials 2019, 12, 2509. [Google Scholar] [CrossRef] [PubMed]
- Fu, Y.; Kabir, I.I.; Yeoh, G.H.; Peng, Z. A review on polymer-based materials for underwater sound absorption. Polym. Test. 2021, 96, 107115. [Google Scholar] [CrossRef]
- Ivansson, S.M. Numerical design of Alberich anechoic coatings with superellipsoidal cavities of mixed sizes. J. Acoust. Soc. Am. 2008, 124, 1974–1984. [Google Scholar] [CrossRef]
- Meyer, E.; Brendel, K.; Tamm, K. Pulsation oscillations of cavities in rubber. J. Acoust. Soc. Am. 1958, 30, 1116–1124. [Google Scholar] [CrossRef]
- Yang, H.; Zhao, H.; Wen, J. Theory and numerical method for the effects of hydrostatic pressure on sound absorption of underwater acoustic coatings with air cavities. J. Sound Vib. 2022, 533, 116985. [Google Scholar] [CrossRef]
- Li, H.; Zhu, X.; Yang, G. Discussion on System of Polyurethane Underwater Anechoic Material and Research Progress in Polyurethane Anechoic Structure. Polyurethane Ind. 2009, 5. [Google Scholar] [CrossRef]
- Sharma, G.S.; Skvortsov, A.; MacGillivray, I.; Kessissoglou, N. Sound transmission through a periodically voided soft elastic medium submerged in water. Wave Motion 2017, 70, 101–112. [Google Scholar] [CrossRef]
- Sharma, G.S.; Faverjon, B.; Dureisseix, D.; Skvortsov, A.; Kessissoglou, N. Acoustic Performance of a Periodically Voided Viscoelastic Medium With Uncertainty in Design Parameters. J. Vib. Acoust. 2020, 142, 061002. [Google Scholar] [CrossRef]
- Gu, Y.; Zhong, H.; Bao, B.; Wang, Q.; Wu, J. Experimental investigation of underwater locally multi-resonant metamaterials under high hydrostatic pressure for low frequency sound absorption. Appl. Acoust. 2021, 172, 107605. [Google Scholar] [CrossRef]
- Fu, Y.; Wang, H.; Cao, P. Numerical design and optimization of metamaterials for underwater sound absorption at various hydrostatic pressures. J. Low Freq. Noise Vib. Act. Control 2023, 42, 1434–1450. [Google Scholar] [CrossRef]
- Zhong, H.; Tian, Y.; Gao, N.; Lu, K.; Wu, J. Ultra-thin composite underwater honeycomb-type acoustic metamaterial with broadband sound insulation and high hydrostatic pressure resistance. Compos. Struct. 2021, 277, 114603. [Google Scholar] [CrossRef]
- Gu, Y.; Long, H.; Cheng, Y.; Deng, M.; Liu, X. Ultrathin composite metasurface for absorbing subkilohertz low-frequency underwater sound. Phys. Rev. Appl. 2021, 16, 014021. [Google Scholar] [CrossRef]
- Feng, J.; Liang, Q.; Dou, Y.; He, J.; He, J.; Chen, T. Ultrathin Underwater Sound-Absorbing Metasurface by Coupling Local Resonance with Cavity Resonance. Phys. Rev. Appl. 2022, 18, 034054. [Google Scholar] [CrossRef]
- Zou, M.; Wu, W.; Yu, X.; Liao, B. Calculation of acoustic coating’s Impedance under hydrostatic pressure. Ship Sci. Technol. 2013, 35, 57–60. [Google Scholar]
- Tao, M.; Zhuo, L. Effect of Hydrostatic Pressure on Acoustic Performance of Sound Absorption Coating. J. Shanghai Jiaotong Univ. 2011, 45, 6. [Google Scholar]
- Dong, W.; Chen, M. Sound absorption performance analysis of anechoic coating under hydrostatic pressure considering cavity pressure. Chin. J. Ship Res. 2022, 17, 9. [Google Scholar]
- Zhao, H.; Wen, J.; Yang, H.; Lv, L.; Wen, X. Backing effects on the underwater acoustic absorption of a viscoelastic slab with locally resonant scatterers. Appl. Acoust. 2014, 76, 48–51. [Google Scholar] [CrossRef]
- Wen, J.; Zhao, H.; Lv, L.; Yuan, B.; Wang, G.; Wen, X. Effects of locally resonant modes on underwater sound absorption in viscoelastic materials. J. Acoust. Soc. Am. 2011, 130, 1201–1208. [Google Scholar] [CrossRef]
- Fang, X.; Yin, X.; Wu, J.; Li, Y.; Li, H.; Wang, W.; Li, Y.; Wu, W. Underwater metagratings for sub-kilohertz low frequency and broadband sound absorption. Int. J. Mech. Sci. 2023, 260, 108630. [Google Scholar] [CrossRef]
- Leroy, V.; Bretagne, A.; Fink, M.; Willaime, H.; Tabeling, P.; Tourin, A. Design and characterization of bubble phononic crystals. Appl. Phys. Lett. 2009, 95, 171904. [Google Scholar] [CrossRef]
- Sharma, G.S.; Skvortsov, A.; MacGillivray, I.; Kessissoglou, N. Acoustic performance of gratings of cylindrical voids in a soft elastic medium with a steel backing. J. Acoust. Soc. Am. 2017, 141, 4694–4704. [Google Scholar] [CrossRef]
- Morse, P.M.; Ingard, K.U. Theoretical Acoustics; Princeton University Press: Princeton, NJ, USA, 1986. [Google Scholar]
- Rybak, S.A.; Zozulya, O.M. One-dimensional modulation instability of wave packets in media with resonant dispersion. Phys. A 1997, 241, 128–132. [Google Scholar] [CrossRef]
- Wu, Y. Effective medium theory for elastic metamaterials in two dimensions. Phys. Rev. B 2007, 76, 205313. [Google Scholar] [CrossRef]
- Leroy, V.; Strybulevych, A.; Scanlon, M.; Page, J. Transmission of ultrasound through a single layer of bubbles. Eur. Phys. J. E 2009, 29, 123–130. [Google Scholar] [CrossRef] [PubMed]
- Ingard, U. On the Theory and Design of Acoustic Resonators. J. Acoust. Soc. Am. 2005, 25, 1037–1061. [Google Scholar] [CrossRef]
- Stinson, M.R. The propagation of plane sound waves in narrow and wide circular tubes, and generalization to uniform tubes of arbitrary cross-sectional shape. J. Acoust. Soc. Am. 1991, 89, 550–558. [Google Scholar] [CrossRef]
- Li, D.T.; Huang, S.B.; Cheng, Y.; Li, Y. Compact asymmetric sound absorber at the exceptional point. Sci. China Phys. Mech. 2021, 64, 24430. [Google Scholar] [CrossRef]
- Liu, B.; Huang, S.; Zheng, B.; Chen, X.; Zhao, J.; Qi, X.; Li, Y.; Liu, S. Tunable composite lattice structure for low-frequency and ultra-broadband underwater sound absorption. J. Acoust. Soc. Am. 2023, 153, 415–422. [Google Scholar] [CrossRef] [PubMed]
- Tjutekin, V.V. Scattering of plane waves by a cylindrical cavity in an isotropic elastic medium. Sov. Phys.-Acoust. 1959, 17, 125. [Google Scholar]
- Zhou, Z.; Huang, S.; Li, D.; Zhu, J.; Li, Y. Broadband impedance modulation via non-local acoustic metamaterials. Natl. Sci. Rev. 2022, 9, nwab171. [Google Scholar] [CrossRef]
- Huang, S.; Zhou, Z.; Li, D.; Liu, T.; Wang, X.; Zhu, J.; Li, Y. Compact broadband acoustic sink with coherently coupled weak resonances. Sci. Bull. 2020, 65, 373–379. [Google Scholar] [CrossRef]
- Beili, Z.; Keming, R. Acoustic Properties Analysis of Elastomer with Cylindrical Bores Using Equivalent Parametric Method. J. Shanghai Jiaotong Univ. 1997, 31, 20–25. [Google Scholar]
- Huang, X.; Zhu, B.; Hu, P.; Hua, H. Measurement of Dynamic Properties of Rubber under Hydrostatic Pressure by Water-filled Acoustic Tube. J. Shanghai Jiaotong Univ. 2013, 47, 1503–1508+1519. [Google Scholar]
- Romero-García, V.; Theocharis, G.; Richoux, O.; Pagneux, V. Use of complex frequency plane to design broadband and sub-wavelength absorbers. J. Acoust. Soc. Am. 2016, 139, 3395. [Google Scholar] [CrossRef] [PubMed]









| Rubber | 1000 | 1.8 | 0.499 | 0.3 |
| Steel | 7890 | 0.3 | 0 |
| 3.4 | 21.3 | 21.8 | 17.3 |
| Layer Sequence | ||||
|---|---|---|---|---|
| 1 | 2.3 | 58.4 | 37.9 | 4 |
| 2 | 3.7 | 64.5 | ||
| 3 | 5.5 | 46.1 |
| Layer Sequence | ||||
|---|---|---|---|---|
| 1 | 1.5 | 26.0 | 24.4 | 4.8 |
| 2 | 3.2 | 87.8 | 80.1 | |
| 3 | 4.2 | 32.4 | 30.1 |
Disclaimer/Publisher’s Note: The statements, opinions and data contained in all publications are solely those of the individual author(s) and contributor(s) and not of MDPI and/or the editor(s). MDPI and/or the editor(s) disclaim responsibility for any injury to people or property resulting from any ideas, methods, instructions or products referred to in the content. |
© 2024 by the authors. Licensee MDPI, Basel, Switzerland. This article is an open access article distributed under the terms and conditions of the Creative Commons Attribution (CC BY) license (https://creativecommons.org/licenses/by/4.0/).
Share and Cite
Fang, X.; Pan, X.; Zhang, X.; Li, D.; Yin, X.; Jin, Y.; Wang, W.; Wu, W. Investigation on Low-Frequency and Broadband Sound Absorption of the Compact Anechoic Coating Considering Hydrostatic Pressure. J. Mar. Sci. Eng. 2024, 12, 543. https://doi.org/10.3390/jmse12040543
Fang X, Pan X, Zhang X, Li D, Yin X, Jin Y, Wang W, Wu W. Investigation on Low-Frequency and Broadband Sound Absorption of the Compact Anechoic Coating Considering Hydrostatic Pressure. Journal of Marine Science and Engineering. 2024; 12(4):543. https://doi.org/10.3390/jmse12040543
Chicago/Turabian StyleFang, Xinsheng, Xiao Pan, Xiaowei Zhang, Dongsheng Li, Xuewen Yin, Yabin Jin, Weibo Wang, and Wenwei Wu. 2024. "Investigation on Low-Frequency and Broadband Sound Absorption of the Compact Anechoic Coating Considering Hydrostatic Pressure" Journal of Marine Science and Engineering 12, no. 4: 543. https://doi.org/10.3390/jmse12040543
APA StyleFang, X., Pan, X., Zhang, X., Li, D., Yin, X., Jin, Y., Wang, W., & Wu, W. (2024). Investigation on Low-Frequency and Broadband Sound Absorption of the Compact Anechoic Coating Considering Hydrostatic Pressure. Journal of Marine Science and Engineering, 12(4), 543. https://doi.org/10.3390/jmse12040543

