Anti-Windup Pitch Angle Control for Wind Turbines Based on Bounded Uncertainty and Disturbance Estimator
Abstract
1. Introduction
- By modeling the wind turbine and using filtered regulation error technique, the control signal is converted into an affine form that is suitable for controller design. A pitch angle controller based on the UDE is utilized to handle uncertainties and disturbances in the system, enhancing the overall system’s robustness and feasibility of the proposed controller for different types of turbines.
- A constraint coefficient is designed to solve the integration saturation problem that occurs in the traditional UDE. Integrating the elliptical bounded constraint with the UDE control framework, a bounded UDE approach is developed. This strategy enhances power generation stability, declines the corresponding mechanical load to a certain extent, and improves overall system safety. Moreover, this controller maintains the traditional UDE method’s robustness and clear system structure without requiring additional calculations.
- Simulation analyses are carried out by using a professional wind turbine platform to demonstrate the effectiveness of the proposed control strategy, and it can achieve better control performance compared with traditional methods.
2. VSWT Modeling
3. Control Objectives
4. Controller Design
4.1. The UDE-Based Controller
4.2. Design with Bounded Constraints
4.3. Proof of Stability
5. Simulation Verification
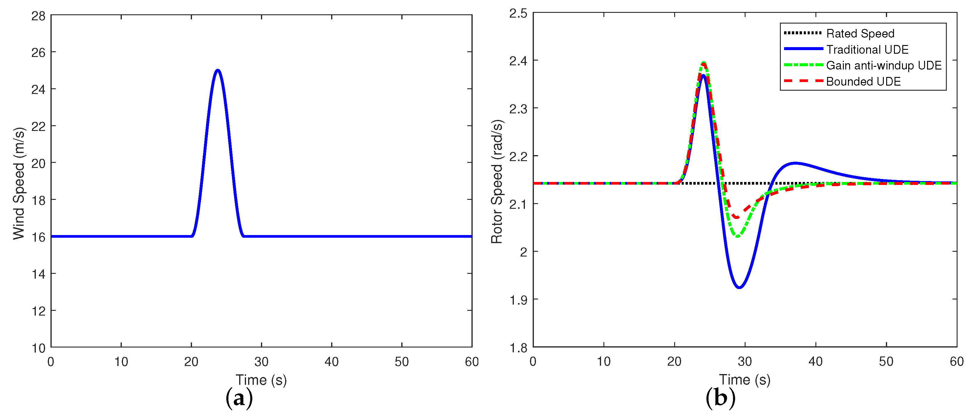
5.1. Wind Gust
5.2. Step Wind
5.3. Turbulent Wind
6. Conclusions
Author Contributions
Funding
Data Availability Statement
Conflicts of Interest
References
- Jiao, X.; Yang, Q.; Xu, B. Hybrid intelligent feedforward-feedback pitch control for VSWT with predicted wind speed. IEEE Trans. Energy Convers. 2021, 36, 2770–2781. [Google Scholar] [CrossRef]
- Ismaeel, A.; Houssein, E.H.; Hassan, A.Y.; Said, M. Performance of gradient-based optimizer for optimumwind cube design. Comput. Mater. Contin 2022, 71, 339–353. [Google Scholar]
- IRENA. Renewable Capacity Statistics; International Renewable Energy Agency (IRENA): Abu Dhabi, United Arab Emirates, 2020. [Google Scholar]
- Liu, W.; Su, X.; An, Y.; Huang, K. Local buckling prediction for large wind turbine blades. Comput. Mater. Contin. 2011, 25, 177. [Google Scholar]
- Shirkhani, M.; Tavoosi, J.; Danyali, S.; Sarvenoee, A.K.; Abdali, A.; Mohammadzadeh, A.; Zhang, C. A review on microgrid decentralized energy/voltage control structures and methods. Energy Rep. 2023, 10, 368–380. [Google Scholar] [CrossRef]
- Marouani, H.; Almehmadi, F.A.; Farkh, R.; Dhahri, H. Wind Turbine Efficiency Under Altitude Consideration Using an Improved Particle Swarm Framework. Comput. Mater. Contin. 2022, 73, 4981–4994. [Google Scholar] [CrossRef]
- Shah, K.A.; Meng, F.; Li, Y.; Nagamune, R.; Zhou, Y.; Ren, Z.; Jiang, Z. A synthesis of feasible control methods for floating offshore wind turbine system dynamics. Renew. Sustain. Energy Rev. 2021, 151, 111525. [Google Scholar] [CrossRef]
- Elkodama, A.; Ismaiel, A.; Abdellatif, A.; Shaaban, S.; Yoshida, S.; Rushdi, M.A. Control methods for horizontal axis wind turbines (HAWT): State-of-the-art review. Energies 2023, 16, 6394. [Google Scholar] [CrossRef]
- Jonkman, J.; Butterfield, S.; Musial, W.; Scott, G. Definition of a 5-MW Reference Wind Turbine for Offshore System Development; Technical report; National Renewable Energy Lab. (NREL): Golden, CO, USA, 2009.
- Iqbal, A.; Ying, D.; Saleem, A.; Hayat, M.A.; Mateen, M. Proposed particle swarm optimization technique for the wind turbine control system. Meas. Control. 2020, 53, 1022–1030. [Google Scholar] [CrossRef]
- Meghni, B.; Benamor, A.; Hachana, O.; Azar, A.T.; Boulmaiz, A.; Saad, S.; El-kenawy, E.S.M.; Kamal, N.A.; Fati, S.M.; Bahgaat, N.K. Rooted Tree Optimization for Wind Turbine Optimum Control Based on Energy Storage System. Comput. Mater. Contin. 2023, 74, 3977. [Google Scholar] [CrossRef]
- Mehedi, I.M.; Al-Saggaf, U.M.; Vellingiri, M.T.; Milyani, A.H.; Bin Saad, N.; Bin Yahaya, N.Z. OBSO Based Fractional PID for MPPT-Pitch Control of Wind Turbine Systems. Comput. Mater. Contin. 2022, 71, 4001–4017. [Google Scholar] [CrossRef]
- Zhao, S.; Yang, Q.; Cheng, P.; Deng, R.; Xia, J. Adaptive resilient control for variable-speed wind turbines against false data injection attacks. IEEE Trans. Sustain. Energy 2022, 13, 971–985. [Google Scholar] [CrossRef]
- Wang, Z.; Zhang, H.; Cao, X.; Liu, E.; Li, H.; Zhang, J. Modeling and Detection Scheme for Zero-Dynamics Attack on Wind Power System. IEEE Trans. Smart Grid 2023, 15, 934–943. [Google Scholar] [CrossRef]
- Bohn, C.; Atherton, D. An analysis package comparing PID anti-windup strategies. IEEE Control Syst. Mag. 1995, 15, 34–40. [Google Scholar]
- Konstantopoulos, G.C.; Zhong, Q.C.; Ren, B.; Krstic, M. Bounded integral control of input-to-state practically stable nonlinear systems to guarantee closed-loop stability. IEEE Trans. Autom. Control 2016, 61, 4196–4202. [Google Scholar] [CrossRef]
- Tarbouriech, S.; Turner, M. Anti-windup design: An overview of some recent advances and open problems. IET Control Theory Appl. 2009, 3, 1–19. [Google Scholar] [CrossRef]
- Inthamoussou, F.A.; Bianchi, F.D.; De Battista, H.; Mantz, R.J. LPV wind turbine control with anti-windup features covering the complete wind speed range. IEEE Trans. Energy Convers. 2014, 29, 259–266. [Google Scholar] [CrossRef]
- Beltran, B.; Ahmed-Ali, T.; Benbouzid, M.E.H. Sliding mode power control of variable-speed wind energy conversion systems. IEEE Trans. Energy Convers. 2008, 23, 551–558. [Google Scholar] [CrossRef]
- Goyal, S.; Deolia, V.K.; Agrawal, S. An Advanced Neuro-Fuzzy Tuned PID Controller for Pitch Control of Horizontal Axis Wind Turbines. ECTI Trans. Electr. Eng. Electron. Commun. 2022, 20, 296–305. [Google Scholar] [CrossRef]
- Leith, D.J.; Leithead, W. Implementation of wind turbine controllers. Int. J. Control 1997, 66, 349–380. [Google Scholar] [CrossRef]
- Garelli, F.; Camocardi, P.; Mantz, R.J. Variable structure strategy to avoid amplitude and rate saturation in pitch control of a wind turbine. Int. J. Hydrog. Energy 2010, 35, 5869–5875. [Google Scholar] [CrossRef]
- Kanev, S.; van Engelen, T. Exploring the limits in individual pitch control. In Proceedings of the European Wind Energy Conference, Marseille, France, 16–19 March 2009; pp. 16–19. [Google Scholar]
- Ren, B.; Zhong, Q.C. UDE-based robust control of variable-speed wind turbines. In Proceedings of the 39th Annual Conference of the IEEE Industrial Electronics Society (IECON 2013), Vienna, Austria, 10–13 November 2013; pp. 3818–3823. [Google Scholar]
- Wang, Y.; Ren, B.; Zhong, Q.C. Bounded UDE-based controller for input constrained systems with uncertainties and disturbances. IEEE Trans. Ind. Electron. 2020, 68, 1560–1570. [Google Scholar] [CrossRef]
- Rauh, A.; Seelert, W. The Betz optimum efficiency for windmills. Appl. Energy 1984, 17, 15–23. [Google Scholar] [CrossRef]
- Yang, Q.; Jiao, X.; Luo, Q.; Chen, Q.; Sun, Y. L1 adaptive pitch angle controller of wind energy conversion systems. ISA Trans. 2020, 103, 28–36. [Google Scholar] [CrossRef] [PubMed]
- Bianchi, F.D.; De Battista, H.; Mantz, R.J. Wind Turbine Control Systems: Principles, Modelling and Gain Scheduling Design; Springer: London, UK, 2007; Volume 19. [Google Scholar]
- Jiao, X.; Sun, Y.; Ying, Y.; Yang, Q. Effective wind speed estimation based maximum power point tracking control for variable-speed wind turbine. In Proceedings of the 2017 Chinese Automation Congress (CAC), Jinan, China, 20–22 October 2017; pp. 6685–6690. [Google Scholar]
- Luo, R.; Peng, Z.; Hu, J.; Ghosh, B.K. Adaptive optimal control of affine nonlinear systems via identifier–critic neural network approximation with relaxed PE conditions. Neural Netw. 2023, 167, 588–600. [Google Scholar] [CrossRef]
- Zaragoza, J.; Pou, J.; Arias, A.; Spiteri, C.; Robles, E.; Ceballos, S. Study and experimental verification of control tuning strategies in a variable speed wind energy conversion system. Renew. Energy 2011, 36, 1421–1430. [Google Scholar] [CrossRef]
- Shaltout, M.L.; Ma, Z.; Chen, D. An adaptive economic model predictive control approach for wind turbines. J. Dyn. Syst. Meas. Control 2018, 140, 051007. [Google Scholar] [CrossRef]
- Zhao, L.; Chen, B.; Lu, J. Minimum Variance Control of Constant Power Output For Wind Energy Conversion System Above Rated Wind. In Proceedings of the 2010 Asia-Pacific Power and Energy Engineering Conference, Chengdu, China, 28–31 March 2010; pp. 1–4. [Google Scholar]
- Guo, C.; Hu, J.; Hao, J.; Celikovsky, S.; Hu, X. Fixed-time safe tracking control of uncertain high-order nonlinear pure-feedback systems via unified transformation functions. arXiv 2023, arXiv:2305.00505. [Google Scholar] [CrossRef]
- Jiao, X.; Meng, W.; Yang, Q.; Fu, L.; Chen, Q. Adaptive continuous neural pitch angle control for variable-speed wind turbines. Asian J. Control 2019, 21, 1966–1979. [Google Scholar] [CrossRef]
- Abbas, F.A.R.; Abdulsada, M.A. Simulation of wind-turbine speed control by MATLAB. Int. J. Comput. Electr. Eng. 2010, 2, 1793–8163. [Google Scholar] [CrossRef]
- Hansen, M.H.; Zahle, F. Aeroelastic Optimization of MW Wind Turbines; Danmarks Tekniske Universitet, Risø Nationallaboratoriet for Bæredygtig Energi: Roskilde, Denmark, 2011. [Google Scholar]
- Iov, F.; Hansen, A.D.; Sørensen, P.; Blaabjerg, F. Wind Turbine Blockset in Matlab/Simulink-General Overview and Description of the Models; Aalborg Universitet, Risø National Laboratory: Roskilde, Denmark, 2004. [Google Scholar]
- Plumley, C.; Leithead, W.; Jamieson, P.; Bossanyi, E.; Graham, M. Comparison of individual pitch and smart rotor control strategies for load reduction. J. Phys. Conf. Ser. 2014, 524, 012054. [Google Scholar] [CrossRef]
- Jain, A.; Schildbach, G.; Fagiano, L.; Morari, M. On the design and tuning of linear model predictive control for wind turbines. Renew. Energy 2015, 80, 664–673. [Google Scholar] [CrossRef]
- Hatami, A.; Moetakef-Imani, B. Innovative adaptive pitch control for small wind turbine fatigue load reduction. Mechatronics 2016, 40, 137–145. [Google Scholar] [CrossRef]
- Meisami-Azad, M.; Grigoriadis, K.M. Anti-windup linear parameter-varying control of pitch actuators in wind turbines. Wind Energy 2015, 18, 187–200. [Google Scholar] [CrossRef]
- Wright, A.D.; Fingersh, L. Advanced Control Design for Wind Turbines; Part I: Control Design, Implementation, and Initial Tests; Technical report; National Renewable Energy Lab. (NREL): Golden, CO, USA, 2008.
- Jiao, X.; Yang, Q.; Fan, B.; Chen, Q.; Sun, Y.; Wang, L. EWSE and uncertainty and disturbance estimator based pitch angle control for wind turbine systems operating in above-rated wind speed region. J. Dyn. Syst. Meas. Control 2020, 142, 031006. [Google Scholar] [CrossRef]
- Song, D.; Yang, J.; Cai, Z.; Dong, M.; Su, M.; Wang, Y. Wind estimation with a non-standard extended Kalman filter and its application on maximum power extraction for variable speed wind turbines. Appl. Energy 2017, 190, 670–685. [Google Scholar] [CrossRef]
- Jonkman, B.J. TurbSim User’s Guide; Technical report; National Renewable Energy Lab. (NREL): Golden, CO, USA, 2006.
- Xie, J.; Dong, H.; Zhao, X. Data-driven torque and pitch control of wind turbines via reinforcement learning. Renew. Energy 2023, 215, 118893. [Google Scholar] [CrossRef]










| Parameters | Value | Parameters | Value |
|---|---|---|---|
| Air density | 1.25 kg/m3 | Rated power | 1.5 MW |
| Gearbox ratio | 83.531 | Generator rated torque | 8376 N · m |
| Wind rotor’s external damping coefficient | 45.52 N·m/(rad·s) | Generator’s external damping coefficient | 0.4 N·m/(rad·s) |
| Cut-out wind speed | 25 m/s | Cut-in wind speed | 3 m/s |
| Inertial constant of generator | 90 kg·m2 | Rotor radius | 40 m |
| Inertial constant of rotor | 4,950,000 kg·m2 | Rated speed | 2.1423 rad/s |
| MAE (rad/s) | ST (rad/s) | MAPE (%) | PMS (rad/s2) | PF (rad/s) | |
|---|---|---|---|---|---|
| Traditional UDE | 0.0339 | 0.0693 | 1.6133 | 1.0000 | 1.0000 |
| Gain anti-windup UDE | 0.0211 | 0.0546 | 0.9528 | 0.7224 | 0.6903 |
| Bounded UDE | 0.0198 | 0.0512 | 0.8842 | 0.5971 | 0.6385 |
| MAE (rad/s) | ST (rad/s) | MAPE (%) | PMS (rad/s2) | PF (rad/s) | |
|---|---|---|---|---|---|
| Traditional UDE | 0.0178 | 0.0359 | 0.8195 | 1.0000 | 1.0000 |
| Gain anti-windup UDE | 0.0188 | 0.0454 | 0.8345 | 0.8676 | 0.9101 |
| Bounded UDE | 0.0166 | 0.0408 | 0.7415 | 0.7026 | 0.9132 |
| MAE (rad/s) | ST (rad/s) | MAPE (%) | PMS (rad/s2) | PF (rad/s) | |
|---|---|---|---|---|---|
| Traditional UDE | 0.0511 | 0.1372 | 2.9191 | 1.0000 | 1.0000 |
| Gain anti-windup UDE | 0.0691 | 0.1021 | 3.6397 | 1.4325 | 0.9617 |
| Bounded UDE | 0.0504 | 0.1376 | 2.8890 | 0.8858 | 0.9412 |
Disclaimer/Publisher’s Note: The statements, opinions and data contained in all publications are solely those of the individual author(s) and contributor(s) and not of MDPI and/or the editor(s). MDPI and/or the editor(s) disclaim responsibility for any injury to people or property resulting from any ideas, methods, instructions or products referred to in the content. |
© 2024 by the authors. Licensee MDPI, Basel, Switzerland. This article is an open access article distributed under the terms and conditions of the Creative Commons Attribution (CC BY) license (https://creativecommons.org/licenses/by/4.0/).
Share and Cite
Jiao, X.; Wang, G.; Wang, X.; Zhang, Z.; Tian, Y.; Fan, X. Anti-Windup Pitch Angle Control for Wind Turbines Based on Bounded Uncertainty and Disturbance Estimator. J. Mar. Sci. Eng. 2024, 12, 473. https://doi.org/10.3390/jmse12030473
Jiao X, Wang G, Wang X, Zhang Z, Tian Y, Fan X. Anti-Windup Pitch Angle Control for Wind Turbines Based on Bounded Uncertainty and Disturbance Estimator. Journal of Marine Science and Engineering. 2024; 12(3):473. https://doi.org/10.3390/jmse12030473
Chicago/Turabian StyleJiao, Xuguo, Guozhong Wang, Xin Wang, Zhenyong Zhang, Yanbing Tian, and Xiwen Fan. 2024. "Anti-Windup Pitch Angle Control for Wind Turbines Based on Bounded Uncertainty and Disturbance Estimator" Journal of Marine Science and Engineering 12, no. 3: 473. https://doi.org/10.3390/jmse12030473
APA StyleJiao, X., Wang, G., Wang, X., Zhang, Z., Tian, Y., & Fan, X. (2024). Anti-Windup Pitch Angle Control for Wind Turbines Based on Bounded Uncertainty and Disturbance Estimator. Journal of Marine Science and Engineering, 12(3), 473. https://doi.org/10.3390/jmse12030473

