A Method for Sound Speed Profile Prediction Based on CNN-BiLSTM-Attention Network
Abstract
1. Introduction
2. CNN-BiLSTM-Attention Model
2.1. CNN
2.2. BiLSTM
2.3. AM
3. Materials and Experiments
3.1. Data Source
3.2. Experimental Data
3.3. Experimental Process
3.3.1. Dataset Splitting
3.3.2. Model Training
Model Prediction
3.4. Model Evaluation
4. Results and Discussion
4.1. Analysis of Sound Speed Profile Prediction Results for the Experimental Point
4.2. Analysis of Sound Speed Profile Prediction Results in the Experimental Area
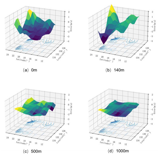
4.2.1. Analysis of Prediction Results for Different Water Layers
4.2.2. Analysis of Prediction Results for Different Sound Speed Profiles
5. Conclusions
Author Contributions
Funding
Institutional Review Board Statement
Informed Consent Statement
Data Availability Statement
Conflicts of Interest
References
- Heidemann, J.; Stojanovic, M.; Zorzi, M. Underwater sensor networks: Applications, advances and challenges. Philos. Trans. R. Soc. A Math. Phys. Eng. Sci. 2012, 370, 158–175. [Google Scholar] [CrossRef] [PubMed]
- Ahmed, A.; Younis, M. Distributed real-time sound speed profiling in underwater environments. In Proceedings of the 2017 IEEE International Conference on Communications (ICC), Paris, France, 21–25 May 2017; IEEE: Piscataway, NJ, USA, 2017; pp. 1–7. [Google Scholar]
- Zhang, X.; Zhang, Y.; Zhang, J.; Nie, B.S.; Yao, Z.S. EOF Analysis of Sound Speed Profile Sequences in the Waters East of Taiwan. Adv. Mar. Sci. 2010, 28, 498–506. [Google Scholar]
- Li, Q. Progress in Acoustic Research. J. Acoust. 2001, 4, 295–301. [Google Scholar]
- Li, J. Principles, Techniques and Methods of Multibeam Surveying; Ocean Press: Beijing, China, 1999. [Google Scholar]
- He, G.; Liu, F.L.; Yu, P.; Yang, S.X.; Zhang, Z.R.; Zhao, Z.B. Sound Speed Correction in Multibeam Echosounder Systems. Mar. Geol. Quat. Geol. 2000, 4, 109–114. [Google Scholar]
- Zhao, J.; Liu, J. Multibeam Bathymetric and Image Data Processing; Wuhan University Press: Wuhan, China, 2008. [Google Scholar]
- Zhou, J.; Zhou, Q.; Lü, L.; Chen, C.; Huang, H.L. Discussion on the Correction of Sound Speed Profiles in Multibeam Surveys. Hydrogr. Surv. Charting 2014, 34, 62–65+68. [Google Scholar]
- Ding, J.; Zhou, X.; Tang, Q. Correction Technique for Ray Refraction of Multibeam Echosounder Systems Based on Equivalent Sound Speed Profile Method. Hydrogr. Surv. Charting 2004, 6, 27–29. [Google Scholar]
- Capell, W.J. Determination of sound velocity profile errors using multibeam data. In Proceedings of the Oceans ’99. MTS/IEEE. Riding the Crest into the 21st Century, Conference and Exhibition, Conference Proceedings (IEEE Cat. No.99CH37008), Seattle, WA, USA, 13–16 September 1999; IEEE & Marine Technol. Soc: Piscataway, NJ, USA, 1999; Volume 3, pp. 1144–1148. [Google Scholar]
- Tonchia, H.; Bisquay, H. The effect of sound velocity on wide swath multibeam system data. In Proceedings of the OCEANS 96 MTS/IEEE Conference Proceedings, The Coastal Ocean—Prospects for the 21st Century, Fort Lauderdale, FL, USA, 23–26 September 1996; IEEE: Piscataway, NJ, USA, 1996; Volume 2, pp. 969–974. [Google Scholar]
- Dinn, D.F.; Loncarevic, B.D.; Costello, G. The effect of sound velocity errors on multi-beam sonar depth accuracy. In Proceedings of the “Challenges of Our Changing Global Environment”, Conference Proceedings, OCEANS ’95 MTS/IEEE, San Diego, CA, USA, 9–12 October 1995; IEEE: Piscataway, NJ, USA, 1995; Volume 2, pp. 1001–1010. [Google Scholar]
- Park, J.C.; Kennedy, R.M. Remote sensing of ocean sound speed profiles by a perceptron neural network. IEEE J. Ocean. Eng. 1996, 21, 216–224. [Google Scholar] [CrossRef]
- Wang, T.; Su, L.; Ren, Q.; Wang, W. Application of Recurrent Neural Network in the Joint Inversion of Shallow Water Sound Speed and Sound Source. J. Harbin Eng. Univ. 2021, 42, 1133–1139. [Google Scholar]
- Hu, J. Sound Speed Profile Inversion Based on RBF Neural Network and Software Implementation; Xiangtan University: Xiangtan, China, 2018. [Google Scholar]
- Wang, T.; Su, L.; Ren, Q.; Wang, W. Prediction Method for Full Ocean Depth Sound Speed Profiles Based on Attention Mechanism. J. Electron. Inf. Technol. 2022, 44, 726–736. [Google Scholar]
- Huang, C.; Lu, X.; Ye, A.; Luo, S. Quality Control and Evaluation of Seafloor Topographic Measurement Results (II): Acquisition of Sound Speed Profiles in Deep and Distant Sea Areas. Hydrogr. Surv. Charting 2017, 37, 12–16+20. [Google Scholar]
- Zhang, Q.; Chen, X.; Liu, Q. Research on Sound Speed Profile Acquisition Methods in Offshore Multibeam Bathymetric Survey. Hydrogr. Surv. Charting 2019, 39, 1–4. [Google Scholar]
- Carnes, M.R.; Mitchell, J.L.; De Witt, P.W. Synthetic temperature profiles derived from Geosat altimetry: Comparison with air-dropped expendable bathythermograph profiles. J. Geophys. Res. Ocean. 1990, 95, 17979–17992. [Google Scholar] [CrossRef]
- Sun, J.; Zhang, J.; Tang, Y. Sound Speed Profile Inversion Method Using Double Population Constrained QPSO-BP. Sci. Surv. Mapp. 2021, 46, 127–134. [Google Scholar]
- Shen, Y.; Ma, Y.; Tu, Q.; Jiang, X. Inversion Method and Experimental Verification of Shallow Water Sound Speed Profile. J. Northwestern Polytech. Univ. 2000, 2, 212–215. [Google Scholar]
- Zhang, Z.; Ma, Y.; Ni, J.; Tong, L. Inversion of Shallow Water Sound Speed Profile Based on the Time Difference of Acoustic Ray Arrival. J. Northwestern Polytech. Univ. 2002, 1, 36–39. [Google Scholar]
- Tang, J.; Yang, S. Inversion of Sound Speed Profile in Seawater by Propagation Time. J. Harbin Eng. Univ. 2006, 5, 733–736+756. [Google Scholar]
- Sun, W.; Bao, J.; Jin, S.; Xiao, F. Correction of Multibeam Seafloor Topographic Distortion and Sound Speed Profile Inversion. Geomat. Inf. Sci. Wuhan Univ. 2016, 41, 349–355. [Google Scholar]
- Xie, L.; Liu, C.; Liang, W. Reconstruction and Inversion of Sound Speed Profiles Based on Dictionary Learning. J. Mar. Technol. 2023, 42, 12–19. [Google Scholar]
- Yuan, H.; Jia, S.; Jin, S.; Zhang, L.; Wang, H. Sound Speed Correction of Crowd-Sourced Bathymetric Data Using GA-NN Model Inversion of Sound Speed Profiles. Geomat. Inf. Sci. Wuhan Univ. 2023, 48, 377–385. [Google Scholar] [CrossRef]
- Jain, S.; Ali, M.M. Estimation of Sound Speed Profiles Using Artificial Neural Networks. IEEE Geosci. Remote Sens. Lett. 2006, 3, 467–470. [Google Scholar] [CrossRef]
- Huang, J.; Luo, Y.; Shi, J.; Ma, X.; Li, Q.Q.; Li, Y.Y. Rapid Modeling of the Sound Speed Field in the South China Sea Based on a Comprehensive Optimal LM-BP Artificial Neural Network. J. Mar. Sci. Eng. 2021, 9, 488. [Google Scholar] [CrossRef]
- Li, H.; Qu, K.; Zhou, J. Reconstructing Sound Speed Profile from Remote Sensing Data: Nonlinear Inversion Based on Self-Organizing Map. IEEE Access 2021, 9, 109754–109762. [Google Scholar] [CrossRef]
- Cao, Y.; Xie, M. Stock Price Prediction Analysis Based on WD-CNN-LSTM Model. J. North China Univ. Water Resour. Electr. Power (Soc. Sci. Ed.) 2023, 39, 15–22. [Google Scholar]
- Qiu, R.; Zhou, H.; Wu, H. Short-Term Prediction Study of Berth Demand Based on LSTM Recurrent Neural Network. Technol. Appl. Autom. 2019, 38, 107–113. [Google Scholar]
- Chen, Y.; Zhao, H.; Zhou, R.; Xu, P.; Zhang, K.; Dai, Y.; Zhang, H.; Zhang, J.; Gao, T. CNN-BiLSTM Short-Term Wind Power Forecasting Method Based on Feature Selection. IEEE J. Radio Freq. Identif. 2022, 6, 922–927. [Google Scholar] [CrossRef]
- Staffini, A. A CNN–BiLSTM Architecture for Macroeconomic Time Series Forecasting. Eng. Proc. 2023, 39, 33. [Google Scholar]
- Cai, H.; Chen, X.; Ling, J.; Xu, Q. Short-Term Load Forecasting Based on Radam Optimized CNN-BiLSTM-AE Hybrid Model. In Proceedings of the 2022 Power System and Green Energy Conference (PSGEC), Shanghai, China, 25–27 August 2022; pp. 626–631. [Google Scholar]
- LeCun, Y.; Bottou, L.; Bengio, Y.; Haffner, P. Gradient-Based Learning Applied to Document Recognition. Proc. IEEE 1998, 86, 2278–2324. [Google Scholar] [CrossRef]
- Zhang, Y.; Cao, H.; Kan, X. Snow Cover Identification in Xinjiang Region Based on Spatiotemporal Feature Fusion of FY-4A/AGRI. Remote Sens. Technol. Appl. 2020, 35, 1337–1347. [Google Scholar]
- Zhuo, D.; Jing, J.; Zhang, H. Classification of Short Cut Felt Defects Based on Convolutional Neural Networks. Prog. Lasers Optoelectron. 2019, 56, 144–151. [Google Scholar]
- Rumelhart, D.E.; Hintont, G.E.; Williams, R.J. Learning representations by back-propagating errors. Nature 1986, 323, 533–536. [Google Scholar] [CrossRef]
- Li, W.; Yang, X.; Chen, K. Automatic Heart Sound Classification Based on CNN and RNN Joint Network. Comput. Eng. Des. 2020, 41, 46–51. [Google Scholar]
- Hochreiter, S.; Schmidhuber, J. Long Short-Term Memory. Neural Comput. 1997, 9, 1735–1780. [Google Scholar] [CrossRef] [PubMed]
- Jiang, Q.; Feng, R.; Zhang, R.; Wang, J. Multi-Scenario Gait Authentication on Smartphones Based on GRU. J. Netw. Inf. Secur. 2022, 8, 26–39. [Google Scholar]
- Schuster, M.; Paliwal, K.K. Bidirectional recurrent neural networks. IEEE Trans. Signal Process. 1997, 45, 2673–2681. [Google Scholar] [CrossRef]
- Vaswani, A.; Shazeer, N.; Parmar, N.; Uszkoreit, J.; Jones, L.; Gomez, A.N.; Kaiser, Ł.; Polosukhin, I. Attention Is All You Need. arXiv 2023, arXiv:1706.03762. [Google Scholar]
- Zhou, F.; Zhao, J.; Zhou, C. Determination of the Optimal Sound Speed Formula for Multibeam Echosounder Systems. Taiwan Strait 2001, 4, 411–419. [Google Scholar]
- Li, B.; Zhai, J. A Novel Sound Speed Profile Prediction Method Based on the Convolutional Long-Short Term Memory Network. J. Mar. Sci. Eng. 2022, 10, 572. [Google Scholar] [CrossRef]
















| Experimental Object | Maximum Sound Speed (m/s) | Minimum Sound Speed (m/s) | Average Value (m/s) | Data Dimension |
|---|---|---|---|---|
| Experimental Point | 1546.67 | 1480.30 | 1508.72 | |
| Experimental Area | 1548.00 | 1479.81 | 1508.85 |
| Experimental Object | Experimental Point | Experimental Area |
|---|---|---|
| Input of training and validation dataset | ||
| Output of training and validation dataset | ||
| Input of test dataset | ||
| Output of test dataset |
| Experimental Object | RMSE (m/s) | RE (%) | ACC |
|---|---|---|---|
| CNN | 1.46 | −0.061 | 0.99939 |
| LSTM | 1.14 | 0.048 | 0.99952 |
| CNN-LSTM | 1.06 | −0.050 | 0.99950 |
| CNN-BiLSTM | 0.99 | −0.046 | 0.99954 |
| CNN-LSTM-Attention | 0.97 | −0.046 | 0.99954 |
| CNN-BiLSTM-Attention | 0.72 | 0.029 | 0.99971 |
| Metric | Max | Min | Mean |
|---|---|---|---|
| RMSE (m/s) | 1.685 | 0.148 | 0.919 |
| RE (%) | 0.00946 | −0.0418 | −0.016 |
| ACC | 0.99992 | 0.99907 | 0.9995 |
| Metric | Max | Min | Mean |
|---|---|---|---|
| RMSE (m/s) | 2.164 | 0.3466 | 0.966 |
| RE (%) | 0.1218 | −0.1043 | −0.016 |
| ACC | 0.99992 | 0.99907 | 0.9995 |
| Position Point Id | Longitude | Latitude |
|---|---|---|
| 0 | 126.5 | 18.5 |
| 1 | 129.5 | 16.5 |
| 2 | 129.5 | 20.5 |
| 3 | 128.5 | 18.5 |
Disclaimer/Publisher’s Note: The statements, opinions and data contained in all publications are solely those of the individual author(s) and contributor(s) and not of MDPI and/or the editor(s). MDPI and/or the editor(s) disclaim responsibility for any injury to people or property resulting from any ideas, methods, instructions or products referred to in the content. |
© 2024 by the authors. Licensee MDPI, Basel, Switzerland. This article is an open access article distributed under the terms and conditions of the Creative Commons Attribution (CC BY) license (https://creativecommons.org/licenses/by/4.0/).
Share and Cite
Wei, Z.; Shaohua, J.; Gang, B.; Yang, C.; Chengyang, P.; Haixing, X. A Method for Sound Speed Profile Prediction Based on CNN-BiLSTM-Attention Network. J. Mar. Sci. Eng. 2024, 12, 414. https://doi.org/10.3390/jmse12030414
Wei Z, Shaohua J, Gang B, Yang C, Chengyang P, Haixing X. A Method for Sound Speed Profile Prediction Based on CNN-BiLSTM-Attention Network. Journal of Marine Science and Engineering. 2024; 12(3):414. https://doi.org/10.3390/jmse12030414
Chicago/Turabian StyleWei, Zhang, Jin Shaohua, Bian Gang, Cui Yang, Peng Chengyang, and Xia Haixing. 2024. "A Method for Sound Speed Profile Prediction Based on CNN-BiLSTM-Attention Network" Journal of Marine Science and Engineering 12, no. 3: 414. https://doi.org/10.3390/jmse12030414
APA StyleWei, Z., Shaohua, J., Gang, B., Yang, C., Chengyang, P., & Haixing, X. (2024). A Method for Sound Speed Profile Prediction Based on CNN-BiLSTM-Attention Network. Journal of Marine Science and Engineering, 12(3), 414. https://doi.org/10.3390/jmse12030414
