Dynamic Response Mechanism of Thin-Walled Plate under Confined and Unconfined Blast Loads
Abstract
1. Introduction
2. Experimental Approaches
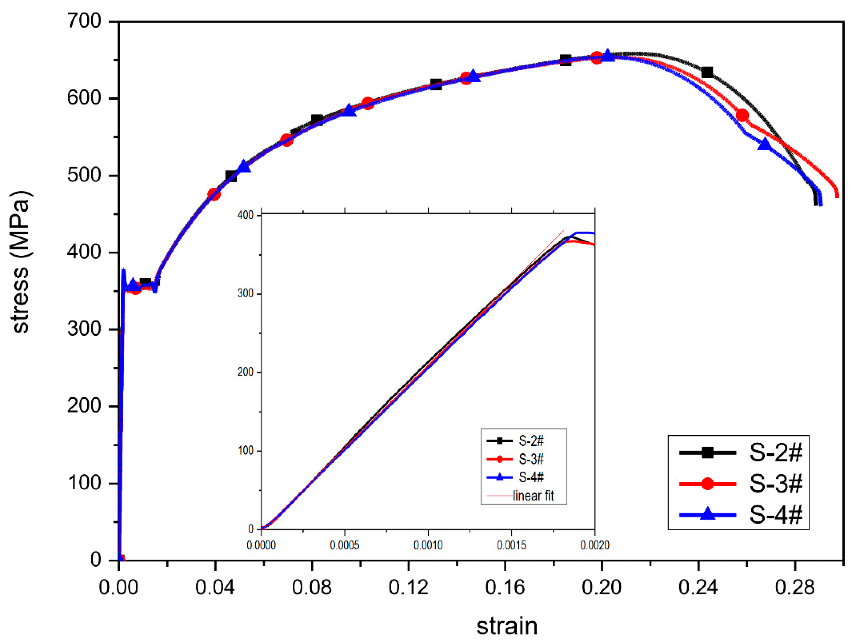
2.1. Material Properties
2.2. Setup and DIC Technique
2.3. Dynamic Response Process Obtained through 3D-DIC
3. Numerical Simulations
3.1. Finite Element Model
3.2. Material Model and Parameters
3.3. Experimental Validation
4. Discussion
4.1. Dynamic Response Processes
4.2. Response Mechanism
5. Conclusions
- (a)
- The deformation features and dynamic response of typical ship steel plates under confined blast loads were analyzed through both experimental and numerical results. The results showed that outward bulging in the side plate center and in-plane buckling in the middle position of the boundary plates were observed in both the numerical and experimental results. The measured DIC curve and the numerically calculated curves are similar in both shape and peak value, and the period of oscillation of the numerical result fits well with the DIC result.
- (b)
- The dynamic responses of the steel plate under UB load and CB load were compared. The results showed that the dynamic response of the plate could be divided into three phases under both the UB and CB loads, while only the dynamic response in phases I and II were different.
- (c)
- Differing from starting at the center and propagating to the boundary in the case of the UB condition, in phase I, a plastic hinge in the CB condition occurred close to the boundary and propagated in the opposite direction. In phase II, two plastic hinge lines propagated towards each other, and a platform existed between the boundary while the center remained undeformed in the UB condition. While in the CB condition, a unique phenomenon of larger deformation in the peripheral region than the central area was produced. All these achievements can provide guidelines for the crashworthiness design of different kinds of defensive structures in ships and warships.
Author Contributions
Funding
Institutional Review Board Statement
Informed Consent Statement
Data Availability Statement
Acknowledgments
Conflicts of Interest
References
- Li, Y.; Ren, X.; Zhao, T.; Xiao, D.; Liu, K.; Fang, D. Dynamic response of stiffened plate under internal blast: Experimental and numerical investigation. Mar. Struct. 2021, 77, 102957. [Google Scholar] [CrossRef]
- Zhang, D.; Yao, S.; Lu, F.; Song, J.; Ding, Y. Dynamic response and damage analysis of steel box wall under internal blast loading. Adv. Mech. Eng. 2019, 11, 1687814018822601. [Google Scholar] [CrossRef]
- Zhang, P.; Liu, J.; Cheng, Y.; Hou, H.; Wang, C.; Li, Y. Dynamic response of metallic trapezoidal corrugated-core sandwich panels subjected to air blast loading—An Experimental study. Mater. Des. 2015, 65, 221–230. [Google Scholar] [CrossRef]
- Zhao, N.; Yao, S.J.; Zhang, D.; Lu, F.Y.; Sun, C.M. Experimental and numerical studies on the dynamic response of stiffened plates under confined blast loads. Thin-Walled Struct. 2020, 154, 106839. [Google Scholar] [CrossRef]
- Li, H.; Shen, C.; Lu, G.; Wang, Z. Response of cylindrical tubes subjected to internal blast loading. Eng. Struct. 2022, 272, 115004. [Google Scholar] [CrossRef]
- Liu, J.; An, F.J.; Niu, Z.Y.; Zhang, L.; Feng, B.; Li, Y.; Wu, C. Study on the blast-resistance of polyurea-steel plates subjected to underwater explosion. Ocean Eng. 2022, 260, 111814. [Google Scholar] [CrossRef]
- Nurick, G.N.; Olson, M.D.; Fagnan, J.R.; Levin, A. Deformation and tearing of blast–loaded stiffened square plates. Int. J. Impact Eng. 1995, 16, 273–291. [Google Scholar] [CrossRef]
- Hoo Fatt, M.S.; Sirivolu, D. Marine composite sandwich plates under air and water blasts. Mar. Struct. 2017, 56, 163–185. [Google Scholar] [CrossRef]
- Nurick, G.N.; Shave, G.C. The deformation and tearing of thin square plates subjected to impulsive loads—An experimental study. Int. J. Impact Eng. 1996, 18, 99–116. [Google Scholar] [CrossRef]
- Bonorchis, D.; Nurick, G.N. The analysis and simulation of welded stiffener plates subjected to localised blast loading. Int. J. Impact Eng. 2010, 37, 260–273. [Google Scholar] [CrossRef]
- Chung Kim Yuen, S.; Butler, A.; Bornstein, H.; Cholet, A. The influence of orientation of blast loading on quadrangular plates. Thin-Walled Struct. 2018, 131, 827–837. [Google Scholar] [CrossRef]
- Yuen, S.C.K.; Nurick, G.N. Experimental and numerical studies on the response of quadrangular stiffened plates. Part I: Subjected to uniform blast load. Int. J. Impact Eng. 2005, 31, 55–83. [Google Scholar] [CrossRef]
- Jacob, N.; Nurick, G.N.; Langdon, G.S. The effect of stand-off distance on the failure of fully clamped circular mild steel plates subjected to blast loads. Eng. Struct. 2007, 29, 2723–2736. [Google Scholar] [CrossRef]
- Mehreganian, N.; Louca, L.A.; Langdon, G.S.; Curry, R.J.; Abdul-Karim, N. The response of mild steel and armour steel plates to localised air-blast loading-comparison of numerical modelling techniques. Int. J. Impact Eng. 2018, 115, 81–93. [Google Scholar] [CrossRef]
- Yuan, Y.; Tan, P.J. Deformation and failure of rectangular plates subjected to impulsive loadings. Int. J. Impact Eng. 2013, 59, 46–59. [Google Scholar] [CrossRef]
- Mohammadzadeh, B.; Noh, H.C. An analytical and numerical investigation on the dynamic responses of steel plates considering the blast loads. Int. J. Steel Struct. 2019, 19, 603–617. [Google Scholar] [CrossRef]
- Shi, S.Y.; Zhu, L.; Yu, T.X. Elastic-Plastic Response of Clamped Square Plates Subjected to Repeated Quasi-Static Uniform Pressure. Int. J. Appl. Mech. 2018, 10, 1850067. [Google Scholar] [CrossRef]
- Schiffer, A.; Tagarielli, V.L. The dynamic response of composite plates to underwater blast: Theoretical and numerical modelling. Int. J. Impact. Eng. 2014, 70, 1–13. [Google Scholar] [CrossRef][Green Version]
- Latourte, F.; Gregoire, D.; Zenkert, D.; Wei, X.; Espinosa, H.D. Failure mechanisms in composite panels subjected to underwater impulsive loads. J. Mech. Phys. Solids 2011, 59, 1623–1646. [Google Scholar] [CrossRef]
- Jones, N. Note on the impact behaviour of fibre-metal laminates. Int. J. Impact Eng. 2017, 108, 147–152. [Google Scholar] [CrossRef]
- Lin, H.; Han, C.; Yang, L.; Zhang, L.; Luan, H.; Han, P.; Xu, H.; Zhang, S. Numerical Investigation on Performance Optimization of Offshore Sandwich Blast Walls with Different Honeycomb Cores Subjected to Blast Loading. J. Mar. Sci. Eng. 2022, 10, 1743. [Google Scholar] [CrossRef]
- Liu, F.; Zhang, M.T.; Wang, Z.Y. Experimental and simulation research on falling weight impact damage of carbon fiber unidirectional laminates. J. Ordnance Equip. Eng. 2022, 43, 16–24. [Google Scholar]
- Kim, J.M.; Varma, A.H.; Lee, K.; Kim, K. Steel-Plate Composite Walls Subjected to Missile Impact: Numerical Evaluation of Local Damage. J. Struct. Eng. 2022, 148, 04022153. [Google Scholar] [CrossRef]
- Zheng, C.; Wang, Y.W.; Kong, X.S.; Zhou, H.; Liu, H.; Wu, W. Predicting the Deflection of Square Plates Subjected to Fully Confined Blast Loading. J. Mar. Sci. Eng. 2020, 8, 1031. [Google Scholar] [CrossRef]
- Qin, Y.Z.; Yao, X.L.; Wang, Z.; Wang, Y. Experimental investigation on damage features of stiffened cabin structures subjected to internal blast loading. Ocean Eng. 2022, 265, 112639. [Google Scholar] [CrossRef]
- Langdon, G.S.; Kriek, S.; Nurick, G.N. Influence of venting on the response of scaled aircraft luggage containers subjected to internal blast loading. Int. J. Impact Eng. 2020, 141, 103567. [Google Scholar] [CrossRef]
- Yue, X.S.; Zhou, H.; Kong, X.S.; Zheng, C.; Wu, W.G. Experimental and simulation study of afterburning effect for blast load in confined cabin. Zhongguo Jianchuan Yanjiu 2023, 18, 223–232. [Google Scholar] [CrossRef]
- Fay, S.D.; Rigby, S.E.; Tyas, A.; Clarke, S.D.; Reay, J.J.; Warren, J.; Brown, R. Displacement timer pins: An experimental method for measuring the dynamic deformation of explosively loaded plates. Int. J. Impact Eng. 2015, 86, 124–130. [Google Scholar] [CrossRef]
- Yao, S.J.; Zhang, D.; Lu, F.Y.; Wang, W.; Chen, X.G. Damage features and dynamic response of RC beams under blast. Eng. Fail. Anal. 2016, 62, 103–111. [Google Scholar] [CrossRef]
- Yao, S.J.; Zhang, D.; Chen, X.G.; Lu, F.Y.; Wang, W. Experimental and numerical study on the dynamic response of RC slabs under blast loading. Eng. Fail. Anal. 2016, 66, 120–129. [Google Scholar] [CrossRef]
- Helm, J.D.; McNeill, S.R.; Sutton, M.A. Improved 3D image correlation for surface displacement measurement. Opt. Eng. 1996, 35, 1911–1920. [Google Scholar] [CrossRef]
- Sutton, M.A.; Orteu, J.; Schreier, H.W. Image Correlation for Shape, Motion and Deformation Measurements; Springer: Greer, SC, USA, 2009. [Google Scholar]
- Tiwari, V.; Sutton, M.A.; McNeill, S.R.; Xu, S.; Deng, X.; Fourney, W.L.; Bretall, D. Application of 3D image correlation for full-field transient plate deformation measurements during blast loading. Int. J. Impact Eng. 2009, 36, 862–874. [Google Scholar] [CrossRef]
- Rigby, S.E.; Tyas, A.; Curry, R.J.; Langdon, G.S. Experimental Measurement of Specific Impulse Distribution and Transient Deformation of Plates Subjected to Near-Field Explosive Blasts. Exp. Mech. 2019, 59, 163–178. [Google Scholar] [CrossRef]
- Spranghers, K.; Vasilakos, I.; Lecompte, D.; Sol, H.; Vantomme, J. Numerical simulation and experimental validation of the dynamic response of aluminum plates under free air explosions. Int. J. Impact Eng. 2013, 54, 83–95. [Google Scholar] [CrossRef]
- Kumar, P.; LeBlanc, J.; Stargel, D.S.; Shukla, A. Effect of plate curvature on blast response of aluminum panels. Int. J. Impact Eng. 2012, 46, 74–85. [Google Scholar] [CrossRef]
- LS-DYNA Keyword User’s Manual; Livermore Software Technology Corporation: Livermore, CA, USA, 2012.
- Li, S.Q.; Lu, G.X.; Wang, Z.H.; Zhao, L.M.; Wu, G.Y. Finite element simulation of metallic cylindrical sandwich shells with graded aluminum tubular cores subjected to internal blast loading. Int. J. Mech. Sci. 2015, 96–97, 1–12. [Google Scholar] [CrossRef]
- Yuan, Y.; Zhang, C.J.; Xu, Y.X. Influence of standoff distance on the deformation of square steel plates subjected to internal blast loadings. Thin-Walled Struct. 2021, 164, 107914. [Google Scholar] [CrossRef]
- Yao, S.J.; Zhang, D.; Lu, Z.J.; Lin, Y.; Lu, F. Experimental and numerical investigation on the dynamic response of steel chamber under internal blast. Eng. Struct. 2018, 168, 877–888. [Google Scholar] [CrossRef]
- Dey, S.; Børvik, T.; Hopperstad, O.S.; Langseth, M. On the influence of constitutive relation in projectile impact of steel plates. Int. J. Impact Eng. 2007, 34, 464–486. [Google Scholar] [CrossRef]
- Fan, Z.Q.; Li, X.B.; Huang, T.; Chen, W. An Investigation of the Damage Mechanism of Multilayer Liquid-Containing Protective Structure under Combined Blast Wave and Fragment Loading. J. Mar. Sci. Eng. 2023, 11, 2327. [Google Scholar] [CrossRef]
- Yao, S.J.; Wang, Z.F.; Zhang, D.; Lu, F.; Zhao, N.; Wang, Y. Damage evaluation and prediction of steel box structures under internal blast. J. Mech. Sci. Technol. 2022, 36, 5125–5133. [Google Scholar] [CrossRef]
- Ma, J.; Fan, F.; Zhi, X. Counter-intuitive collapse of single-layer reticulated domes subject to interior blast loading. Thin-Walled Struct. 2015, 96, 130–138. [Google Scholar] [CrossRef]
- Flores-Johnson, E.A.; Li, Q.M. A brief note on the counter-intuitive region of a square plate. Int. J. Impact Eng. 2010, 38, 136–142. [Google Scholar] [CrossRef][Green Version]




















| J–C Model | (kg/m3) | E (GPa) | G (GPa) | A (MPa) | B (MPa) | n | c | m | |
|---|---|---|---|---|---|---|---|---|---|
| 7830 | 211 | 80.8 | 0.3 | 355 | 414 | 1.09 | 0.01 | 0.669 | |
| Source | Test | Test | [14,40] | [14,40] | Test | Test | Test | [41,43] | [41,43] |
| Gruneisen EOS | C (m/s) | S1 | S2 | S3 | |||||
| 4569 | 1.49 | 0 | 0 | 2.17 | 0.46 | ||||
| Source | [40,41] | [40,41] | [40,41] | [40,41] |
Disclaimer/Publisher’s Note: The statements, opinions and data contained in all publications are solely those of the individual author(s) and contributor(s) and not of MDPI and/or the editor(s). MDPI and/or the editor(s) disclaim responsibility for any injury to people or property resulting from any ideas, methods, instructions or products referred to in the content. |
© 2024 by the authors. Licensee MDPI, Basel, Switzerland. This article is an open access article distributed under the terms and conditions of the Creative Commons Attribution (CC BY) license (https://creativecommons.org/licenses/by/4.0/).
Share and Cite
Yao, S.; Chen, Y.; Sun, C.; Zhao, N.; Wang, Z.; Zhang, D. Dynamic Response Mechanism of Thin-Walled Plate under Confined and Unconfined Blast Loads. J. Mar. Sci. Eng. 2024, 12, 224. https://doi.org/10.3390/jmse12020224
Yao S, Chen Y, Sun C, Zhao N, Wang Z, Zhang D. Dynamic Response Mechanism of Thin-Walled Plate under Confined and Unconfined Blast Loads. Journal of Marine Science and Engineering. 2024; 12(2):224. https://doi.org/10.3390/jmse12020224
Chicago/Turabian StyleYao, Shujian, Yikai Chen, Chengming Sun, Nan Zhao, Zhonggang Wang, and Duo Zhang. 2024. "Dynamic Response Mechanism of Thin-Walled Plate under Confined and Unconfined Blast Loads" Journal of Marine Science and Engineering 12, no. 2: 224. https://doi.org/10.3390/jmse12020224
APA StyleYao, S., Chen, Y., Sun, C., Zhao, N., Wang, Z., & Zhang, D. (2024). Dynamic Response Mechanism of Thin-Walled Plate under Confined and Unconfined Blast Loads. Journal of Marine Science and Engineering, 12(2), 224. https://doi.org/10.3390/jmse12020224
