A New Multi-Mechanism Synergistic Acoustic Structure for Underwater Low-Frequency and Broadband Sound Absorption
Abstract
:1. Introduction
2. Acoustic Model and Calculation Method
2.1. Model of MMSC−AS
2.2. Acoustic Calculation Model for MMSC−AS
3. Numerical Results and Analyses
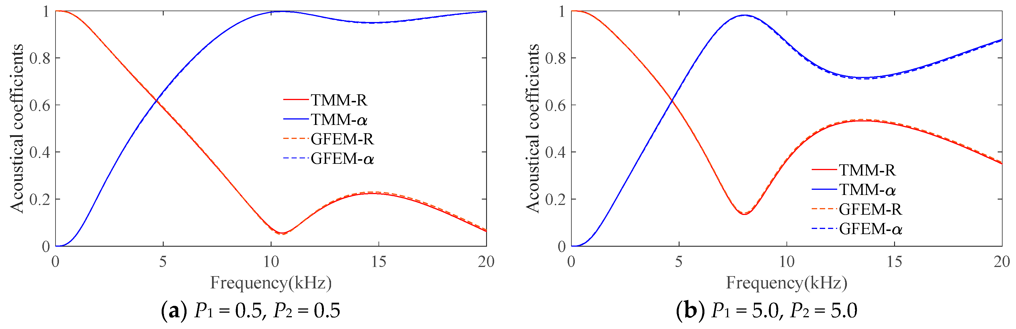
3.1. Acoustic Model Validation
3.2. Sound Absorption Characteristics of the MMSC−AS
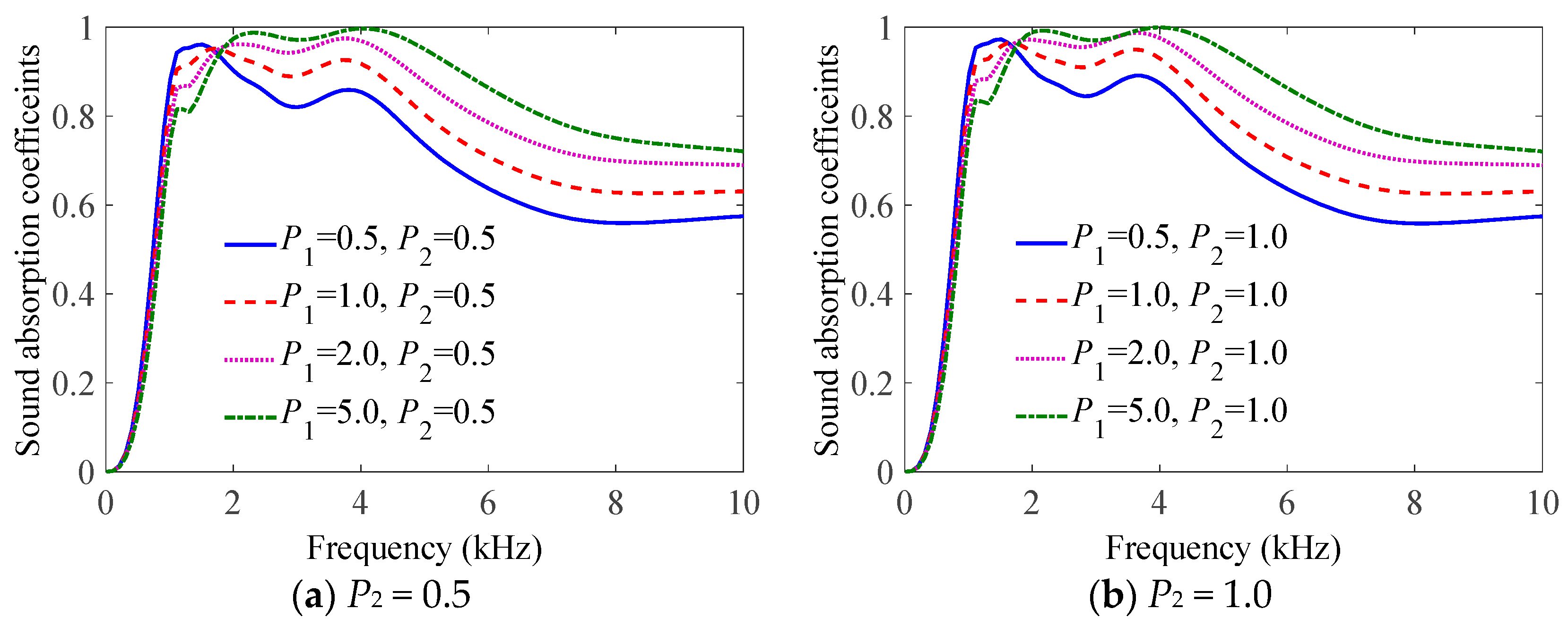
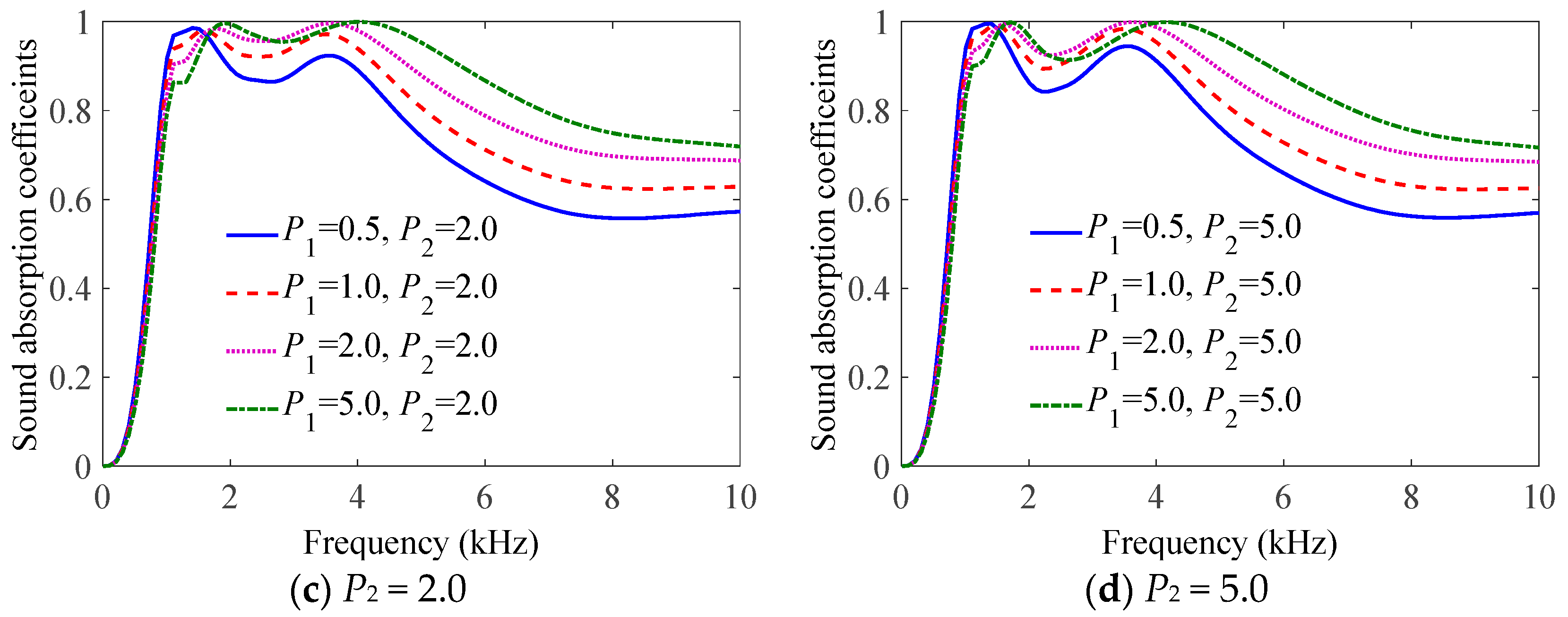
3.3. The Effects of Sound Absorption Characteristics
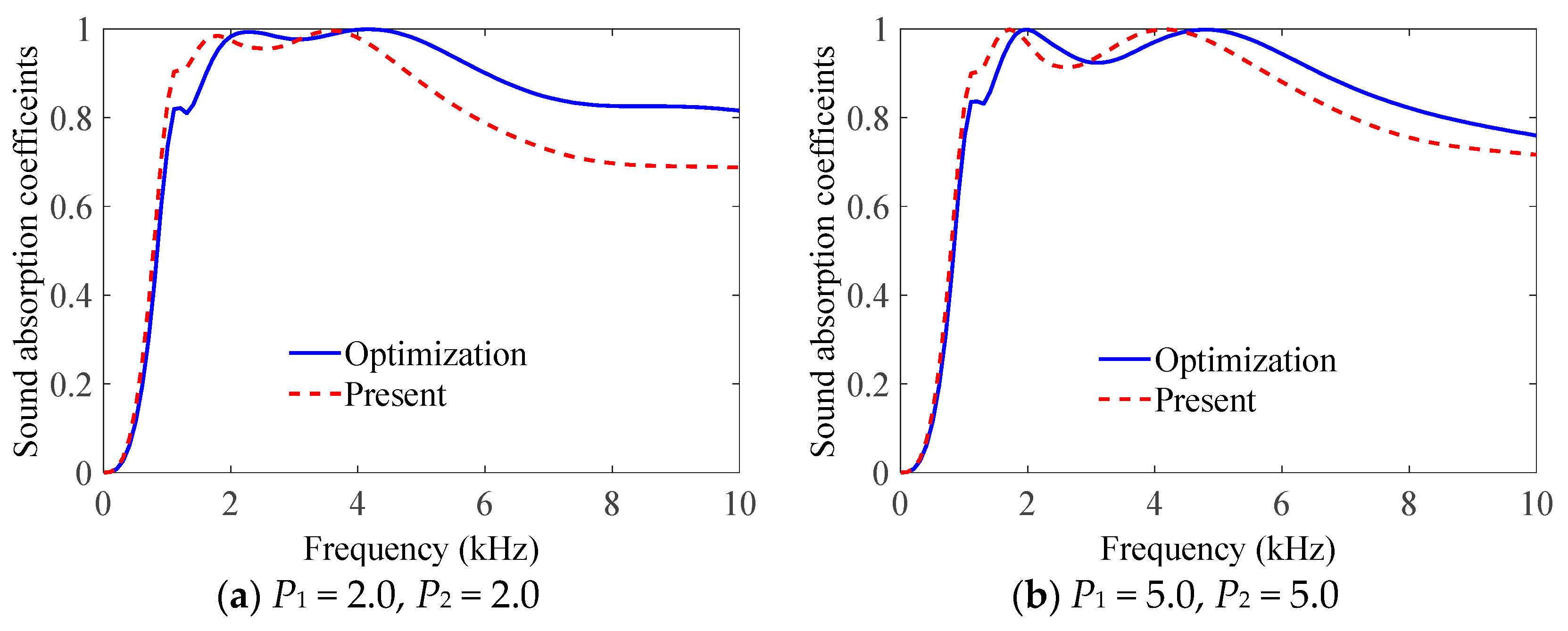
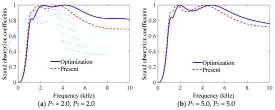
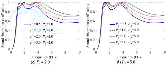
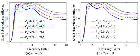
3.4. Optimization of Sound Absorption Characteristics
4. Conclusions
- (1)
- The accuracy of the G-FEM was better than that of the FEM when calculating the acoustic coefficients of the FGAS under the condition of the same number of finite elements meshes;
- (2)
- Owing to the presence of multiple sound wave modulation mechanisms inside the MMSC−AS, the synergy between various mechanisms enriched the energy dissipation modes of sound waves, which widened the sound absorption frequency band with effect, thus achieving the underwater low-frequency and broadband sound absorption performance;
- (3)
- The MMSC−AS could be regulated by adjusting material or structural parameters that affect sound absorption characteristics based on the sound wave modulation mechanism of the MMSC−AS in different frequency bands;
- (4)
- The sound absorption characteristics of the MMSC−AS could be effectively ameliorated by optimizing the material or the structural parameters, while the sound absorption characteristics at low frequencies could be ameliorated by optimizing the distribution or filling ratio of the resonators.
Author Contributions
Funding
Institutional Review Board Statement
Informed Consent Statement
Data Availability Statement
Acknowledgments
Conflicts of Interest
References
- Wang, X.; Guo, L.; Yin, J.; Liu, Z.; Han, X. Narrowband Chan-Vese model of sonar image segmentation: A adaptive ladder initialization approach. Appl. Acoust. 2016, 113, 238–254. [Google Scholar] [CrossRef]
- Wang, X.; Jiao, J.; Yin, J.; Zhao, W.; Han, X.; Sun, B. Underwater sonar image classification using adaptive weights convolutional neural network. Appl. Acoust. 2019, 146, 145–154. [Google Scholar] [CrossRef]
- Hosten, B.; Castaings, M. Transfer matrix of multilayered absorbing and anisotropic media. Measurements and simulations of ultrasonic wave propagation through composite materials. J. Acoust. Soc. Am. 1993, 94, 1488–1495. [Google Scholar] [CrossRef]
- Cervenka, P.; Challande, P. A new efficient algorithm to compute the exact reflection and transmission factors for plane waves in layered absorbing media (liquids and solids). J. Acoust. Soc. Am. 1991, 89, 1579–1589. [Google Scholar] [CrossRef]
- Sastry, J.; Munjal, M. Response of a Multi-Layered Infinite Cylinder to a Plane Wave Excitation by Means of Transfer Matrices. J. Sound Vib. 1998, 209, 99–121. [Google Scholar] [CrossRef]
- Gaunaurd, G. One-dimensional model for acoustic absorption in a viscoelastic medium containing short cylindrical cavities. J. Acoust. Soc. Am. 1977, 62, 298–307. [Google Scholar] [CrossRef]
- Kerr, F.H. The scattering of a plane elastic wave by spherical elastic inclusions. Int. J. Eng. Sci. 1992, 30, 169–186. [Google Scholar] [CrossRef]
- Brouard, B.; Lafarge, D.; Allard, J.-F. A general method of modelling sound propagation in layered media. J. Sound Vib. 1995, 183, 129–142. [Google Scholar] [CrossRef]
- Sharma, G.S.; Skvortsov, A.; MacGillivray, I.; Kessissoglou, N. Sound transmission through a periodically voided soft elastic medium submerged in water. Wave Motion 2017, 70, 101–112. [Google Scholar] [CrossRef]
- Sharma, G.S.; Skvortsov, A.; MacGillivray, I.; Kessissoglou, N. Acoustic performance of gratings of cylindrical voids in a soft elastic medium with a steel backing. J. Acoust. Soc. Am. 2017, 141, 4694–4704. [Google Scholar] [CrossRef]
- Sharma, G.S.; Skvortsov, A.; MacGillivray, I.; Kessissoglou, N. Sound absorption by rubber coatings with periodic voids and hard inclusions. Appl. Acoust. 2019, 143, 200–210. [Google Scholar] [CrossRef]
- Meng, T. Simplified model for predicting acoustic performance of an underwater sound absorption coating. J. Vib. Control. 2012, 20, 339–354. [Google Scholar] [CrossRef]
- Hasheminejad, S.M.; Maleki, M. Interaction of a plane progressive sound wave with a functionally graded spherical shell. Ultrasonics 2006, 45, 165–177. [Google Scholar] [CrossRef] [PubMed]
- Hasheminejad, S.M.; Rajabi, M. Acoustic resonance scattering from a submerged functionally graded cylindrical shell. J. Sound Vib. 2007, 302, 208–228. [Google Scholar] [CrossRef]
- Liu, Z.; Zhang, X.; Mao, Y.; Zhu, Y.Y.; Yang, Z.; Chan, C.T.; Sheng, P. Locally Resonant Sonic Materials. Science 2000, 289, 1734–1736. [Google Scholar] [CrossRef] [PubMed]
- Liu, Z.; Chan, C.T.; Sheng, P. Analytic model of phononic crystals with local resonances. Phys. Rev. B 2005, 71, 014103. [Google Scholar] [CrossRef]
- Li, J.; Chan, C.T. Double-negative acoustic metamaterial. Phys. Rev. E 2004, 70, 055602. [Google Scholar] [CrossRef]
- Lai, Y.; Wu, Y.; Sheng, P.; Zhang, Z.-Q. Hybrid elastic solids. Nat. Mater. 2011, 10, 620–624. [Google Scholar] [CrossRef]
- Yang, Z.; Mei, J.; Yang, M.; Chan, N.H.; Sheng, P. Membrane-Type Acoustic Metamaterial with Negative Dynamic Mass. Phys. Rev. Lett. 2008, 101, 204301. [Google Scholar] [CrossRef]
- Xiao, Y.; Wen, J.; Wen, X. Sound transmission loss of metamaterial-based thin plates with multiple subwavelength arrays of attached resonators. J. Sound Vib. 2012, 331, 5408–5423. [Google Scholar] [CrossRef]
- Mei, J.; Ma, G.; Yang, M.; Yang, Z.; Wen, W.; Sheng, P. Dark acoustic metamaterials as super absorbers for low-frequency sound. Nat. Commun. 2012, 3, 756. [Google Scholar] [CrossRef] [PubMed]
- Wang, X.; Luo, X.; Zhao, H.; Huang, Z. Acoustic perfect absorption and broadband insulation achieved by double-zero metamaterials. Appl. Phys. Lett. 2018, 112, 021901. [Google Scholar] [CrossRef]
- Lu, K.; Wu, J.H.; Guan, D.; Gao, N.; Jing, L. A lightweight low-frequency sound insulation membrane-type acoustic metamaterial. AIP Adv. 2016, 6, 025116. [Google Scholar] [CrossRef]
- Ma, F.; Wu, J.H.; Huang, M.; Zhang, W.; Zhang, S. A purely flexible lightweight membrane-type acoustic metamaterial. J. Phys. D Appl. Phys. 2015, 48, 175105. [Google Scholar] [CrossRef]
- Ma, F.; Huang, M.; Wu, J.H. Acoustic metamaterials with synergetic coupling. J. Appl. Phys. 2017, 122, 215102. [Google Scholar] [CrossRef]
- Ma, F.; Wang, L.; Du, P.; Wang, C.; Wu, J.H. A three-dimensional broadband underwater acoustic concentrator. J. Phys. D Appl. Phys. 2022, 55, 195110. [Google Scholar] [CrossRef]
- Veselago, V.G.; Vinogradov, E.A.; Golovanov, V.I.; Zhukov, A.A.; Romanov, A.A.; Kapustyan, A.V.; Urlichich, Y.M.; Lavrishchev, V.P. Waveguide propagation of microwave radiation in two-layer metamaterial. Tech. Phys. Lett. 2011, 37, 220–222. [Google Scholar] [CrossRef]
- Veselago, V.G. Waves in metamaterials: Their role in modern physics. Physics-Uspekhi 2012, 54, 1161–1165. [Google Scholar] [CrossRef]
- Veselago, V.; Braginsky, L.; Shklover, V.; Hafner, C. Negative Refractive Index Materials. J. Comput. Theor. Nanosci. 2006, 3, 189–218. [Google Scholar] [CrossRef]
- Wen, J.; Zhao, H.; Lv, L.; Yuan, B.; Wang, G.; Wen, X. Effects of locally resonant modes on underwater sound absorption in viscoelastic materials. J. Acoust. Soc. Am. 2011, 130, 1201–1208. [Google Scholar] [CrossRef]
- Zhao, H.; Wen, J.; Yang, H.; Lv, L.; Wen, X. Backing effects on the underwater acoustic absorption of a viscoelastic slab with locally resonant scatterers. Appl. Acoust. 2014, 76, 48–51. [Google Scholar] [CrossRef]
- Meng, H.; Wen, J.; Zhao, H.; Lv, L.; Wen, X. Analysis of absorption performances of anechoic layers with steel plate backing. J. Acoust. Soc. Am. 2012, 132, 69–75. [Google Scholar] [CrossRef] [PubMed]
- Wang, Y.; Zhao, H.; Yang, H.; Zhong, J.; Yu, D.; Wen, J. Inverse design of structured materials for broadband sound absorption. J. Phys. D Appl. Phys. 2021, 54, 265301. [Google Scholar] [CrossRef]
- Zhao, H.; Zheng, Q.; Wang, Y.; Cao, J.; Wang, C.; Wen, J. Acoustic absorption of a metamaterial panel: Mechanism, boundary effect and experimental demonstration. Appl. Acoust. 2021, 184, 108369. [Google Scholar] [CrossRef]
- Wu, F.; Xiao, Y.; Yu, D.; Zhao, H.; Wang, Y.; Wen, J. Low-frequency sound absorption of hybrid absorber based on micro-perforated panel and coiled-up channels. Appl. Phys. Lett. 2019, 114, 151901. [Google Scholar] [CrossRef]
- Zhang, Y.; Pan, J. Underwater sound scattering and absorption by a coated infinite plate with a distributed inhomogeneity. J. Acoust. Soc. Am. 2013, 133, 2082–2096. [Google Scholar] [CrossRef] [PubMed]
- Zhang, Y.; Huang, H.; Zheng, J.; Pan, J. Underwater sound scattering and absorption by a coated infinite plate with attached periodically located inhomogeneities. J. Acoust. Soc. Am. 2015, 138, 2707–2721. [Google Scholar] [CrossRef] [PubMed]
- Zhang, Y.; Pan, J.; Chen, K.; Zhong, J. Subwavelength and quasi-perfect underwater sound absorber for multiple and broad frequency bands. J. Acoust. Soc. Am. 2018, 144, 648–659. [Google Scholar] [CrossRef]
- Jiang, H.; Wang, Y.; Zhang, M.; Hu, Y.; Lan, D.; Zhang, Y.; Wei, B. Locally resonant phononic woodpile: A wide band anomalous underwater acoustic absorbing material. Appl. Phys. Lett. 2009, 95, 104101. [Google Scholar] [CrossRef]
- Jiang, H.; Wang, Y. Phononic glass: A robust acoustic-absorption material. J. Acoust. Soc. Am. 2012, 132, 694–699. [Google Scholar] [CrossRef]
- Chen, M.; Jiang, H.; Feng, Y.; Wang, Y. Investigation of locally resonant absorption and factors affecting the absorption band of a phononic glass. Appl. Phys. A 2014, 117, 2067–2072. [Google Scholar] [CrossRef]
- Chen, M.; Meng, D.; Zhang, H.; Jiang, H.; Wang, Y. Resonance-coupling effect on broad band gap formation in locally resonant sonic metamaterials. Wave Motion 2016, 63, 111–119. [Google Scholar] [CrossRef]
- Gao, N.; Zhang, Y. A low frequency underwater metastructure composed by helix metal and viscoelastic damping rubber. J. Vib. Control. 2018, 25, 538–548. [Google Scholar] [CrossRef]
- Gao, N.; Zhang, Z. Optimization design and experimental verification of composite absorber with broadband and high efficiency sound absorption. Appl. Acoust. 2021, 183, 108288. [Google Scholar] [CrossRef]
- Gao, N.; Lu, K. An underwater metamaterial for broadband acoustic absorption at low frequency. Appl. Acoust. 2020, 169, 107500. [Google Scholar] [CrossRef]
- Gu, Y.; Zhong, H.; Bao, B.; Wang, Q.; Wu, J. Experimental investigation of underwater locally multi-resonant metamaterials under high hydrostatic pressure for low frequency sound absorption. Appl. Acoust. 2021, 172, 107605. [Google Scholar] [CrossRef]
- Gao, N.; Yu, H.; Liu, J.; Deng, J.; Huang, Q.; Chen, D.; Pan, G. Experimental investigation of composite metamaterial for underwater sound absorption. Appl. Acoust. 2023, 211, 109466. [Google Scholar] [CrossRef]
- Zhang, Y.; Cheng, L. Ultra-thin and broadband low-frequency underwater acoustic meta-absorber. Int. J. Mech. Sci. 2021, 210, 106732. [Google Scholar] [CrossRef]
- Shi, K.; Hu, D.; Li, D.; Jin, G. Sound absorption behaviors of composite functionally graded acoustic structure under hydrostatic pressure. Appl. Acoust. 2023, 211, 109474. [Google Scholar] [CrossRef]
- Tornabene, F.; Viola, E. Free vibrations of four-parameter functionally graded parabolic panels and shells of revolution. Eur. J. Mech.—A/Solids 2009, 28, 991–1013. [Google Scholar] [CrossRef]
- Qu, Y.; Long, X.; Yuan, G.; Meng, G. A unified formulation for vibration analysis of functionally graded shells of revolution with arbitrary boundary conditions. Compos. Part B Eng. 2013, 50, 381–402. [Google Scholar] [CrossRef]
- Abdel-Basset, M.; Mohamed, R.; Mirjalili, S. A novel Whale Optimization Algorithm integrated with Nelder–Mead simplex for multi-objective optimization problems. Knowl.-Based Syst. 2021, 212, 106619. [Google Scholar] [CrossRef]





















| Materials | Density (kg/m3) | Young’s Modulus (Pa) | Poisson’s Ratio | Loss Factor | |
|---|---|---|---|---|---|
| Impedance match layer | Epoxy | 1100 | 1.4 × 108 | 0.49 | 0.6 |
| Functionally graded layer | Epoxy | 1100 | 1.4 × 108 | 0.49 | 0.6 |
| Inorganic fillers | 1700 | 3.4 × 108 | 0.49 | 0.6 | |
| Steel plate backing | Steel | 7800 | 2.07 × 1011 | 0.3 | 0 |
| Variables | rc11/mm | rc12/mm | hc1/mm | rc21/mm | rc22/mm | hc1/mm |
|---|---|---|---|---|---|---|
| Range | [3, 10] | [3, 10] | [10, 25] | [3, 12] | [3, 12] | [10, 25] |
| Initial value | 8 | 8 | 20 | 12 | 12 | 20 |
| Variables | Young’s Modulus (Pa) | Density (kg/m3) | Poisson’s Ratio | P1 | P2 |
|---|---|---|---|---|---|
| Range | [2.4, 5.4] ×108 | [2.1, 4.1] ×103 | [0.45, 0.49] | [0.5, 5.0] | [0.5, 5.0] |
| Initial value | 2.4 × 108 | 3100 | 0.45 | 1.0 | 1.0 |
Disclaimer/Publisher’s Note: The statements, opinions and data contained in all publications are solely those of the individual author(s) and contributor(s) and not of MDPI and/or the editor(s). MDPI and/or the editor(s) disclaim responsibility for any injury to people or property resulting from any ideas, methods, instructions or products referred to in the content. |
© 2023 by the authors. Licensee MDPI, Basel, Switzerland. This article is an open access article distributed under the terms and conditions of the Creative Commons Attribution (CC BY) license (https://creativecommons.org/licenses/by/4.0/).
Share and Cite
Shi, K.; Li, D.; Hu, D.; Shen, Q.; Jin, G. A New Multi-Mechanism Synergistic Acoustic Structure for Underwater Low-Frequency and Broadband Sound Absorption. J. Mar. Sci. Eng. 2023, 11, 2373. https://doi.org/10.3390/jmse11122373
Shi K, Li D, Hu D, Shen Q, Jin G. A New Multi-Mechanism Synergistic Acoustic Structure for Underwater Low-Frequency and Broadband Sound Absorption. Journal of Marine Science and Engineering. 2023; 11(12):2373. https://doi.org/10.3390/jmse11122373
Chicago/Turabian StyleShi, Kangkang, Dongsheng Li, Dongsen Hu, Qi Shen, and Guoyong Jin. 2023. "A New Multi-Mechanism Synergistic Acoustic Structure for Underwater Low-Frequency and Broadband Sound Absorption" Journal of Marine Science and Engineering 11, no. 12: 2373. https://doi.org/10.3390/jmse11122373
APA StyleShi, K., Li, D., Hu, D., Shen, Q., & Jin, G. (2023). A New Multi-Mechanism Synergistic Acoustic Structure for Underwater Low-Frequency and Broadband Sound Absorption. Journal of Marine Science and Engineering, 11(12), 2373. https://doi.org/10.3390/jmse11122373
