Next Article in Journal
Underwater Drag Reduction Failure of Superhydrophobic Surface Caused by Adhering Spherical Air Bubbles
Next Article in Special Issue
Prescribed Performance-Based Formation Control for Multiple Autonomous Underwater Helicopters with Complex Dynamic Characteristics
Previous Article in Journal
Two New Species of Desmoscolex (Nematoda: Desmoscolecidae) from Subtidal Benthic Habitats in Korea, with a Comparative Analysis of Cephalic Setae Variability
Previous Article in Special Issue
Collision Avoidance for Unmanned Surface Vehicles in Multi-Ship Encounters Based on Analytic Hierarchy Process–Adaptive Differential Evolution Algorithm
 
 
Font Type:
Arial Georgia Verdana
Font Size:
Aa Aa Aa
Line Spacing:
Column Width:
Background:
Article

Trans-Media Motion Control of a Hybrid Aerial Underwater Vehicle Considering Actuator Dynamic Input Saturation

1
Tianjin Navigation Instrument Research Institute, Tianjin 300131, China
2
School of Oceanography, Shanghai Jiao Tong University, Shanghai 200240, China
*
Authors to whom correspondence should be addressed.
J. Mar. Sci. Eng. 2024, 12(12), 2169; https://doi.org/10.3390/jmse12122169
Submission received: 30 October 2024 / Revised: 20 November 2024 / Accepted: 26 November 2024 / Published: 27 November 2024
(This article belongs to the Special Issue Unmanned Marine Vehicles: Perception, Planning, Control and Swarm)

Abstract

Hybrid aerial underwater vehicles (HAUVs) have shown broad development prospects for rapid emergency response and marine scientific observation at the sea–air interface in recent decades. The trans-media motion control problem of HAUV is a special and critical problem in the HAUV field. This paper extracts the key factors of HAUV trans-media motion control: the significant changes in dynamic input saturation of the actuator and hydrodynamic force on the HAUV body during the trans-media process. In response to the issue, this paper firstly established a HAUV trans-media motion model considering actuator dynamic input saturation based on the measured HAUV trans-media test data. Then, this paper developed a control strategy for the priority attitude angle and rear heave during the trans-media process of multi-rotor HAUV, and designed a trans-media motion control algorithm that considers actuator dynamic input saturation and model uncertainty. The stability of the control algorithm was proven through Lyapunov stability theory. Finally, this paper conducted simulation verification on the designed control algorithm, and the results showed that compared with the traditional sliding mode control algorithm, this control algorithm had a significant improvement in the performance of trans-media speed control. The speed overshoot of the traditional sliding mode control algorithm was 4.25 times that of the control algorithm proposed in this paper.

1. Introduction

With the development of marine vehicles, it is found that it is difficult for UUVs (Unmanned Underwater Vehicles) and UAVs (Unmanned Aerial Vehicles) to complete certain special tasks, such as observation of the air–sea interface. Thus, a hybrid aerial underwater vehicle (HAUV) that can fly in the air, move underwater, and transition repeatedly was developed. The HAUV provides a new technological means for marine scientific observation at the sea–air interface and rapid emergency response. As a new type of unmanned ocean observation platform, HAUV can achieve three-dimensional ocean observation (underwater, surface, and air), which has attracted the attention of researchers from various countries around the world. At present, some HAUVs have been developed worldwide [1,2,3,4,5,6,7,8,9], mainly including three types based on the principle of trans-media motion: fixed-wing HAUV, multi-rotor HAUV, and biomimetic HAUV. Among them, the multi-rotor HAUV, shown in Figure 1, has become a hot research topic due to its advantages in trans-media manipulation control. Therefore, this paper chooses a multi-rotor HAUV “Nezha I”, shown in Figure 2, as the research object.
The main difference between HAUVs and traditional marine vehicles lies in the trans-media process.
On the one hand, different from thrusters in single media, HAUV’s trans-media thruster is faced with complex physical problems, such as a nearly 800 times density difference between water and air and the interaction between propeller blades and free liquid surface during the trans-media process. The trans-media process of such thrusters is highly complex and involves significant dynamic changes in the upper limit of their dynamic saturation.
On the other hand, in the water exit process of the HAUV body, the free liquid surface will uplift and deform, and then the free liquid surface will break and collapse, accompanied by a large amount of broken water and residual water in the shell structure of HAUV. Taking the resistance of HAUV during water exit as an example, the minimum value is 0 and the maximum value is 46% of gravity. During the water entry process of the HAUV body, the slamming between the HAUV body and the free liquid surface results in large deformation of the free liquid surface. In these complex physical phenomena, the flow field around HAUV changes dramatically, and there are significant dynamic changes in the trans-media dynamics of the HAUV body.
The trans-media motion of HAUVs faces dual challenges, including significant dynamic changes in the upper limit of dynamic saturation of trans-media thrusters and significant dynamic changes in the trans-media dynamics of the HAUV body.
Currently, some research institutions have conducted research on the trans-media motion control of HAUV.
Some research results have been obtained on the motion control of multi-rotor HAUV in the trans-media process. PID (Proportion Integration Differentiation) control is the world’s most widely used control method. Many research institutions have studied the control effect of PID control and improved PID control in the trans-media process of multi-rotor HAUV. Researchers from the University of Auckland designed a classical PD (Proportion Differentiation) controller for LoonCopter and used the controller to successfully realize the reciprocating take-off and landing [10]. A joint research team in Brazil used gain-scheduling PD control to conduct numerical simulations of HAUV [11]. The team also designed a PID controller for HyDrone and verified the effect of trans-media motion control through simulation [12]. Researchers at Rutgers University designed a basic gain-scheduling PID controller for Naviator in the early stage, which mainly switches two sets of different PID control parameters based on the sensor’s judgment of the body’s water entry and exit state so as to achieve trans-media motion control [13,14]. Subsequently, the team designed a composite trajectory-tracking controller with switching law based on the hybrid system theory, in which the position control loop and attitude control loop adopted a feedback linearization controller and a PID controller, respectively, and the method was verified by simulation [11]. Researchers of Shanghai Maritime University designed a Fuzzy P + ID attitude controller for multi-rotor HAUV to maintain the attitude stability of the system in the trans-media process [15].
For the trans-media motion control problem of HAUV, although the classical PID control can achieve relatively basic control objectives, its control performance is less than satisfactory, especially in the case of environmental disturbance. Therefore, some scientific research institutions have studied the nonlinear control methods of HAUV in the trans-media process. The joint team in Brazil took into account the influence of different environments on the change in HAUV parameters, linearized the multi-rotor HAUV conditions in water and air into two determined continuous systems, respectively, and designed H2 robust switching control based on the LMI method with the aid of piecewise the Lyapunov function method [16]. The Air Force Engineering University designed an adaptive sliding mode control strategy [17] for the trans-media motion of multi-rotor HAUV and tried to use the algorithm to achieve online estimation and compensation for the uncertainties of the system model and the unknown time-varying environmental impacts so as to improve the robustness of the system to environmental changes in the trans-media process. A classical sliding mode controller was designed to realize the stability control of altitude and attitude in the simulation test of the trans-media motion process (linear trans-media dynamic model) by Dalian Maritime University [18]. Shanghai Jiao Tong University proposed an adaptive dynamic surface control strategy that can achieve altitude and attitude tracking in the trans-media HAUV process to address the impact of environmental changes on system dynamics [19]. The design process of the controller requires the six-degree-of-freedom motion of the system to be divided into six subsystems with a strict feedback form, which requires the system to use the small-angle hypothesis to process the model. So, the control strategy has some limitations in use. In subsequent studies, researchers used nonlinear disturbance observers to conduct online observations of generalized disturbances suffered by the system, estimate the impact degree of environmental changes and wind and wave disturbance loads in real time, and compensate for them so as to realize the control system’s active adaptation to unmodeled dynamic characteristics and active suppression of environmental disturbances [20].
However, the above research results have not taken into account the significant changes in the upper limit of dynamic saturation of the trans-media thruster and the significant changes in the trans-media dynamic of the HAUV body during the trans-media process, which is urgently needed. Moreover, with the development of marine science and the increasing quality requirements for sea–air interface observation data, the stationarity of HAUV in trans-media processes urgently needs to be improved. For multi-rotor HAUV, the uniform trans-media motion is currently the ideal motion state for ocean observation, as it can minimize the negative impact of significant acceleration on sensors. The focus of this study is on how to design a reasonable controller to make the trans-media motion of multi-rotor HAUV more stable under dual challenges.
The research content of this paper mainly includes the design of trans-media motion control algorithms for HAUV considering dynamic input saturation, stability proof of control algorithms based on Lyapunov stability theory, and simulation verification of the designed control algorithms. The subsequent arrangement of this paper is as follows: Section 2 introduces the trans-media model of HAUV; Section 3 introduces controller design and stability verification; Section 4 introduces the simulation results; Section 5 introduces the conclusion. Table A1 in Appendix A describes the symbol comparison table; Appendix B describes the relationship between this work and the previous work.

2. Trans-Media Model of HAUV

As the basis of control design and simulation, the trans-media model of HAUV is established in this paper. The model in this paper focuses on the trans-media process of HAUV. The influence of the HAUV yaw angle in the trans-media process is relatively small, so this paper ignores it, and the model is reduced to five degrees of freedom. At the same time, the nonlinear dynamics term based on test data is introduced to the existing linear dynamics model of HAUV in this paper, which makes the simulation of HAUV in the trans-media process close to reality. The HAUV modeling in this paper mainly includes four parts: the definition of the coordinate system and coordinate transformation, the dynamics model of the HAUV body, the dynamics model of the trans-media thruster, and the environment model.

2.1. Coordinate System and Coordinate Transformation

Fixed coordinate system  E ξ η ζ  (Figure 3): The origin  E  is chosen at the starting point of the HAUV motion. The  E ξ  axis is in the horizontal plane. The  E η  axis is also located in the horizontal plane of the  E ξ  axis, which is obtained by rotating the  E ξ  axis 90 degrees clockwise; the  E ζ  axis is perpendicular to the  E ξ η  coordinate plane and is positive towards the center of the earth.
Body coordinate system  G x y z : The origin  O  is generally taken at the center of gravity of the HAUV. The  O x  axis,  O y  axis, and  O z  axis in the body coordinate system are the intersection lines of the waterplane, transverse section, and longitudinal middle section passing through point  O . Their directions follow the right-hand rule. It is generally believed that the  O x  axis points to the head as positive, the  O y  axis points to the right as positive, and the  O z  axis points down as positive.
In order to unify the symbols, the generalized position vector of HAUV in the fixed coordinate system is defined as  η = ( x , y , z , φ , θ , 0 ) T , and the generalized force vector in the fixed coordinate system is defined as  F = ( X , Y , Z , K , M , 0 ) T . The generalized speed vector in satellite coordinates is defined as  V = ( u , v , w , p , q , 0 ) T . The variables in brackets correspond to surge ( u ), sway ( v ), heave ( w ), pitch ( p ), roll ( q ), and yaw ( 0 ), respectively.
The motion parameters in the fixed coordinate system can be converted to the motion parameters in the satellite coordinate system, and the conversion relationship is as follows:
V = J 1 η ˙
V ˙ = J 1 η ¨ J ˙ J 1 η ˙
where  J  is the generalized speed transformation matrix, which can be derived as follows:
The usual processing method of coordinate transformation is to rotate and convert along the  O z  axis,  O y  axis, and  O x  axis in turn, because this can ensure that the rotation between the three degrees of freedom does not affect the converted motion parameters. The transformation matrix  R b n  is as follows:
R b n = c ψ c θ s ψ c ϕ + c ψ s θ s ϕ s ψ s ϕ + c ψ c ϕ s θ s ψ c θ c ψ c ϕ + s ϕ s θ s ψ c ψ s ϕ + s ψ c ϕ s θ s θ c θ s ϕ c θ c ϕ
s  is the sin function.
c  is the cos function.
t  is the tan function.
The transformation matrix  T  of the overall diagonal speed is as follows:
T = 1 s ϕ t θ c ϕ t θ 0 c ϕ s ϕ 0 s ϕ / c θ c ϕ / c θ
The generalized speed transformation matrix is as follows:
J = R b n 0 3 × 3 0 3 × 3 T

2.2. Trans-Media Dynamic Model of HAUV Body

This paper refers to the HAUV trans-media process modeling method in the literature [10] and improves it based on the published test data [21], which is specifically expressed in the following form:
M η ¨ + C R B η ˙ + g + F d = τ + F D
where  F D  is the disturbance vector and  F d  is the trans-media hydrodynamic vector. The trans-media hydrodynamic term  F d  was trained by machine learning methods in our previous study.
M = m       m       m 0 0 I x       I y       I z
C R B =         0         0 m w m v m w 0 m u m v m u 0 0 m w m v m w 0 m u m v m u 0 0      0 I y q 0         0 I x p I y q I x p           0
g = 0 0 ( m g B ) c o s θ s i n φ B ( 0.5 h z G ) c o s θ s i n φ B ( 0.5 h z G ) s i n θ 0
τ = 0 0 τ w τ φ τ θ 0

2.3. Input Saturation of Trans-Media Thrusters

The numbers and corresponding positions of the trans-media thrusters in this paper are shown in Figure 4.
As defined in Figure 4, the upper limit of dynamic input saturation that the trans-media thrusters can provide in heave, roll, and pitch can be written as follows:
f θ h P , θ , φ = m a x { P 2 m a x L a , P 1 m a x L a }
f φ h P , θ , φ = m a x { P 3 m a x L a , P 4 m a x L a }
f z h P , θ , φ = m a x { τ φ * + τ θ * L a , τ φ * + τ θ * L a + P 1 m a x + P 2 m a x + P 3 m a x + P 4 m a x }
where  f θ h P , θ , φ  is the upper limit of dynamic input saturation on the pitch degree of freedom under the current state,  f φ h P , θ , φ  is the upper limit of dynamic input saturation on the roll degree of freedom under the current state, and  f z h P , θ , φ  is the upper limit of dynamic input saturation on the heave degree of freedom under the current state.  τ φ * τ θ *  are the control moments of multi-rotor HAUV on the degrees of freedom of roll and pitch,  P i m a x  represents the maximum trans-media thrust of the  i -th trans-media thruster under the current state, and  L a  is the length of the multi-rotor HAUV arm.
In this paper, the upper limit of dynamic saturation of a single trans-media thruster is obtained through the dynamic test under 100% throttle. The trans-media thruster is mounted on the trans-media hydrodynamic platform mentioned in Reference [21]. During the test, the throttle of the trans-media thruster is 100%. Then, the sliding module slowly rises at a speed of 5 mm/s, driving the HAUV to achieve slow trans-media movement. The force balance will collect all the force data of HAUV in the trans-media process. Finally, the data will be processed and applied to this paper. Figure 5 shows the test phenomena of the trans-media thruster test.

2.4. Environment Model

The multi-rotor HAUV faces the disturbance of wind, currents, and waves in the actual marine environment. In order to simulate the trans-media motion of multi-rotor HAUV realistically, the influence of wind, currents, and waves is added into the simulation environment. For data on relevant disturbance forces and disturbance moments, please refer to the numerical calculation results in Reference [22]. In this paper, the influence of wind, currents, and waves on multi-rotor HAUV is regarded as disturbing forces and disturbing moments outside the body dynamics model established in this paper, and the influence of waves on trans-media thrusters is ignored. In this paper, a set of conditions in the literature [22] is selected as the basis for the wind, current, and wave disturbance dynamics, in which the current speed is 0.5 m/s, the wind speed on the offshore surface is 0.5 m/s, the wave period T is 0.5 s, and the wave height is 0.05 m.

3. Control Design

This section will introduce the motion control algorithm for the trans-media process of HAUV, mainly including control strategy, controller design, and stability verification.

3.1. Control Strategy

The attitude angle (pitch and roll) of HAUV in the trans-media process has a decisive impact and should be the priority in the control. The increase in attitude angle will cause a larger amplitude and longer duration of trans-media excitation force generated by trans-media thrusters, leading to the failure of trans-media motion. After prioritizing the control of attitude, the heave is controlled. The three degrees of freedom of sway, surge, and yaw are not controlled during the trans-media process in this paper.
The above control strategy provides a basic framework for the trans-media motion control of HAUV. The trans-media motion of HAUVs faces dual challenges, including significant dynamic changes in the upper limit of dynamic saturation of trans-media thrusters and significant dynamic changes in the trans-media dynamics of the HAUV body.
On the one hand, for the challenge of the upper limit of dynamic saturation mentioned above, this paper found a solution from the control field of other carriers [23].
In the field of control, when the output signal of the controller is greater than the upper limit of the actuator’s capability, the actuator input saturation effect will occur. In most cases, the method for handling actuator input saturation in industrial control systems is to make the actuator’s capacity sufficiently large. The control signal calculated by the controller is far below the actuator’s capacity upper limit. However, this approach not only reduces the overall performance of the system but also increases costs. For example, in the aviation industry, oversized actuators can lead to an increase in aircraft mass, which reduces the overall performance of the aircraft and increases costs. Therefore, in the design of control algorithms, it is important to consider the saturation effect of actuator inputs and fully utilize the available power of actuators. In the current design of multi-rotor HAUV, the redundant thrust of the trans-media thruster is usually higher than 150%. Obviously, the significant variation in the upper limit of input saturation during the trans-media process makes the overall design of multi-rotor HAUV overly conservative.
In the design of multi-rotor HAUV, researchers usually adopt a processing method similar to industrial control systems to maximize the success rate of the trans-media process, that is, using higher-thrust trans-media thrusters. On the one hand, this has resulted in the difficulty of achieving optimal overall performance for multi-rotor HAUV. On the other hand, it has also led to a decrease in control effectiveness, particularly making the problem of control variable overshoot more prominent. The conservative design mentioned above has certain shortcomings in performance and costs. However, this conservative method can increase the success rate of the trans-media process. Suppose the conservative design scheme mentioned above is not adopted. In that case, the saturation of the actuator input will lead to a decrease in the motion control effect of the multi-rotor HAUV in the trans-media process and even instability.
Therefore, how to design the control law reasonably and fully utilize the dynamic saturation upper limit of the trans-media thruster is one of the key points of the controller design in this paper.
On the other hand, for the challenge of significant dynamic changes in the trans-media dynamics of the HAUV body above, this paper adopts a model-based control method based on the experimental data in the previous study [21]. This paper summarizes the following factors that should be considered in the trans-media motion control algorithm for HAUV. Firstly, the control algorithm designed in this paper should have a strong anti-disturbance ability to cope with the significant hydrodynamic changes. Secondly, the control algorithm should consider the impact of model uncertainty. Thirdly, the control algorithm should focus on the influence of the dynamic input saturation upper limit of the trans-media thruster during the trans-media process, and design a reasonable anti-windup compensator.
This paper proposes an improved sliding mode control (SMC) algorithm that takes into account the dynamic input saturation of the actuator and model uncertainty, based on the key considerations of the trans-media motion control algorithm for HAUV mentioned above. The control logic is shown in Figure 6. Based on the logic of the SMC algorithm shown in Figure 6, three anti-windup compensators and three nonlinear time-varying input saturation calculators ( f θ ,   f φ , f z ) are designed, respectively. The calculation results of the nonlinear time-varying input saturation calculators are directly output to the anti-windup compensators. The nonlinear time-varying input saturation calculator is based on the modeling of dynamic input saturation for a trans-media thruster in Section 2.3. It should be noted that the priority of the control strategy is firstly the attitude angle (pitch and roll) and then heave, so  f θ  and  f φ  are calculated first, and then  f z  is calculated. At the same time, based on the distribution characteristics of HAUV actuators, the influence of  f θ  and  f φ  on  f z  is considered.
In response to the first and second factors, this paper selects a model-based control algorithm (SMC) based on the existing multi-rotor HAUV body dynamics model to cope with the significant hydrodynamic changes. At the same time, based on the sliding mode control algorithm, the uncertainty of the model was considered. In response to the third factor, this paper refers to the anti-windup method in Reference [23] and designs a multi-rotor HAUV trans-media motion control algorithm considering the trans-media dynamic saturation of the thrusters. Also, this paper implements a dead zone of throttle restriction in the model of trans-media thrusters to ensure that the simulation is as close to the actual situation as possible.

3.2. Controller Design

The dynamic model of multi-rotor HAUV mentioned above can be rewritten as follows.
M * η ¨ + C * R B η ˙ + g * + F d = τ * + F D *
Among them,  F D *  is the disturbance vector of wind waves and currents, and  F d  is the trans-media hydrodynamic vector.
M * = J T M J 1
C * R B = J T [ C R B M J 1 J ˙ ] J 1
g * = J T g
F D * = J T F D
The definition of the input saturation function  s a t τ i *  is as follows:
τ i * = s a t τ i * = τ i * τ i * f i ( h P , θ , φ ) f i ( h P , θ , φ ) τ i * > f i ( h P , θ , φ )
The subscript  i  in the formula represents the  i -th degree of freedom, where  i  corresponds to  x , y , z , θ , φ  from 1 to 5, respectively.  f i ( h P , θ , φ )  represents the upper limit of actuator input saturation at the  i -th degree of freedom. The subscript * represents the corresponding quantity converted to the body coordinate system. Under the above definition, this paper chooses the exponential convergence law in Formula (20), and the designed control law can be written in the form of Formula (21).
s i ˙ = ξ i s i k 1 i s g n s i       ( ξ i > 0 ,   k 1 i > 0 )
τ i * = C R B i * η ˙ i + g i * + F d i ρ ^ i s g n s i + M i * [ η d i ¨ λ i ( η i ˙ η d i ˙ ) ξ i ( s i w i ) k 1 i s g n s i   ]
Among them,
w i ˙ = k 3 i w i s i τ i * + 1 2 τ i * 2 w i 2 w i + τ i * w i ε i 0 w i < ε i
τ i * = f i h P , θ , φ τ i *
ρ ^ i ˙ = k 2 i s i M i * 1 , k 2 i > 0
s i = e i ˙ + λ i e i
e i = η i η d i
In the formula,  w i  is the anti-windup adaptive compensation variable at the  i -th degree of freedom,  ρ ^ i  is the model uncertainty adaptive compensation variable at the  i -th degree of freedom,  s i  is the sliding mode variable at the  i -th degree of freedom, and  e i  is the generalized position tracking error at the i-th degree of freedom.  ε i λ i ξ i k 1 i k 2 i , and  k 3 i  are all constants greater than 0.  η d i  is the generalized expected position at the  i -th degree of freedom.

3.3. Stability Analysis

This paper will provide a detailed theoretical proof of the stability of the control algorithm designed in this paper, which considers actuator dynamic input saturation, model uncertainty, and actuator dead zone, based on Lyapunov stability theory. The control algorithm designed in this paper only controls the three degrees of freedom of roll, pitch, and heave of the multi-rotor HAUV, with the subscript  i  corresponding to  z , θ , a n d φ , respectively. In the stability proof, this paper adopts the method of proving different degrees of freedom separately, and uniformly uses the subscript  i  to represent them, avoiding repetition. The dynamic model of  i -degree-of-freedom multi-rotor HAUV under model uncertainty can be expressed in the following form:
M i * η i ¨ + C * R B i η ˙ i + g i * + F d i = τ i * + D i
In the formula,  D i  is a time-varying unknown disturbance, assuming it satisfies  D i ρ i ,   ρ i > 0 .
ρ i  is an unknown constant. Let the estimated value of  ρ i  be  ρ ^ i , which also satisfies  D i ρ ^ i ,   ρ ^ i > 0 .
Let the sliding mode variable in the i-th degree of freedom be  s i = e i ˙ + λ i e i .
In the formula,  e i = η i η d i , e i ˙ = η i ˙ η d i ˙ , and
s i ˙ = e i ¨ + λ i e i ˙ .
Substituting Formula (27) into Formula (28) yields the following:
s i ˙ = M i * 1 τ i * + D i C R B i * η ˙ i g i * F d i η d i ¨ + λ i ( η i ˙ η d i ˙ )
Take the Lyapunov function as follows:
V = 1 2 i = 3 5 s i 2 + 1 2 i = 3 5 1 k 2 i ρ ~ i 2 + 1 2 i = 3 5 w i 2
In the formula,  ρ ~ i = ρ ^ i ρ i , and
V ˙ = i = 3 5 s i s i ˙ + i = 3 5 1 k 2 i ρ ~ i ρ ~ i ˙ + i = 3 5 w i w i ˙
Substituting  ρ ~ i = ρ ^ i ρ i  into Formula (31),
V ˙ = i = 3 5 s i s i ˙ + i = 3 5 1 k 2 i ρ ~ i ρ ^ i ˙ + i = 3 5 w i w i ˙
Substituting Formulas (24) and (29) into Formula (32),
V ˙ = i = 3 5 s i M i * 1 τ i * + D i C R B i * η ˙ i g i * F d i η d i ¨ + λ i η i ˙ η d i ˙     + i = 3 5 M i * 1 ( ρ ^ i ρ i ) s i + i = 3 5 w i w i ˙
Substituting the control law Formula (21) into Formula (33),
V ˙ = i = 3 5 s i M i * 1 D i ρ ^ i s g n s i ξ i s i w i k 1 i s g n s i                     + i = 3 5 M i * 1 ( ρ ^ i ρ i ) s i + i = 3 5 w i w i ˙
Substituting control law Formula (22) into Formula (34), and based on  a a , where  a  is any real number, the following inequality can be obtained:
V ˙ i = 3 5 [ M i * 1 D i ρ i s i k 1 i s i ξ i s i 2 + ξ i w i s i k 3 i w i 2 ]                          + i = 3 5 M i * 1 ( ρ ^ i ρ i ) s i + i = 3 5 ( s i τ i * 1 2 τ i * 2 + τ i * w i )
And according to  D i ρ ^ i , the following inequality can be obtained:
V ˙ i = 3 5 [ M i * 1 D i ρ i s i k 1 i s i ξ i s i 2 + ξ i w i s i k 3 i w i 2 ]                          + i = 3 5 M i * 1 ( D i ρ i ) s i + i = 3 5 ( s i τ i * 1 2 τ i * 2 + τ i * w i )
According to the triangle inequality,
w i s i 1 2 s i 2 + 1 2 w i 2
τ i * w i 1 2 τ i * 2 + 1 2 w i 2
According to inequality (37) and inequality (38), Formula (36) can be further scaled, and after organization, the following inequality can be obtained:
V ˙ i = 3 5 [ M i * 1 D i ρ i s i k 1 i s i ] + i = 3 5 M i * 1 D i ρ i s i                          + i = 3 5 [ 1 2 ξ i s i 2 s i τ i * + ( 1 2 ξ i k 3 i + 1 2 ) w i 2 ]
According to  D i ρ i D i ρ i 0 . In Formula (39),  M i * 1 D i ρ i s i k 1 i s i 1 2 ξ i s i 2 M i * 1 D i ρ i s i , and  s i τ i *  are all negative under the conditions of  k 1 i > 0  and  ξ i > 0 . Therefore,  V ˙ 0  only when  1 2 ξ i k 3 i + 1 2 < 0 .
According to Lyapunov stability theory, the improved sliding mode control algorithm proposed in this paper considering actuator dynamic input saturation, model uncertainty, and actuator dead zone is stable only when  1 2 ξ i k 3 i + 1 2 < 0 .

4. Simulation

The simulation focuses on the working conditions of trans-media motion at a uniform speed. We believe that in this short period of time and facing dual large changes (large changes in the trans-media dynamics of HAUV body and large changes in the saturation upper limit of the trans-media thruster), achieving uniform water exit of the multi-rotor HAUV is a great challenge to motion control. It is also an important measure of the ultimate trans-media maneuverability of the multi-rotor HAUV. In ocean science observations, the ability of multi-rotor HAUV to achieve relatively uniform trans-media motion has a significant impact on the measurement quality of sensor data. Therefore, this paper focuses on the simulation study of the multi-rotor HAUV moving at a uniform trans-media speed of |w| = 0.1 m/s. The simulation research is divided into two parts: simulation under static water conditions and simulation under wind, waves, and currents conditions.

4.1. Simulation Results Under Static Water Conditions

The initial conditions during the simulation process under static water conditions were as follows: initial position vector  η 0 = ( 0 , 0 , 0.167 , 0 , 0 , 0 ) T , initial speed vector  V 0 = ( 0 , 0 , 0 , 0 , 0 , 0 ) T , and expected position vector  η d = ( 0 , 0 , 0.167 0.1 t , 0 , 0 , 0 ) T , where t is time. This paper focuses on a comparative study of sliding mode control algorithms that consider dynamic input saturation and sliding mode control algorithms that do not consider dynamic input saturation. During the simulation process, the corresponding control parameters were mainly divided into two parts: the first part, which initially only considered the sliding mode control parameters under the model uncertainties of  λ = ( 0 , 0 , 196 , 100 , 50 , 0 ) T ξ = ( 0 , 0 , 6 , 256 , 256 , 0 ) T k 1 = ( 0 , 0 , 0.01 , 0.01 , 0.01 , 0 ) T , and  k 2 = ( 0 , 0 , 0.1 , 0.1 , 0.1 , 0 ) T ; in the second part, based on the above, the control parameters for the dynamic input saturation part of the actuator were further considered:  k 3 = ( 0 , 0 , 3.5 , 180 , 200 , 0 ) T  and  ε = ( 0 , 0 , 0.001 , 0.1 , 0.1 , 0 ) T .
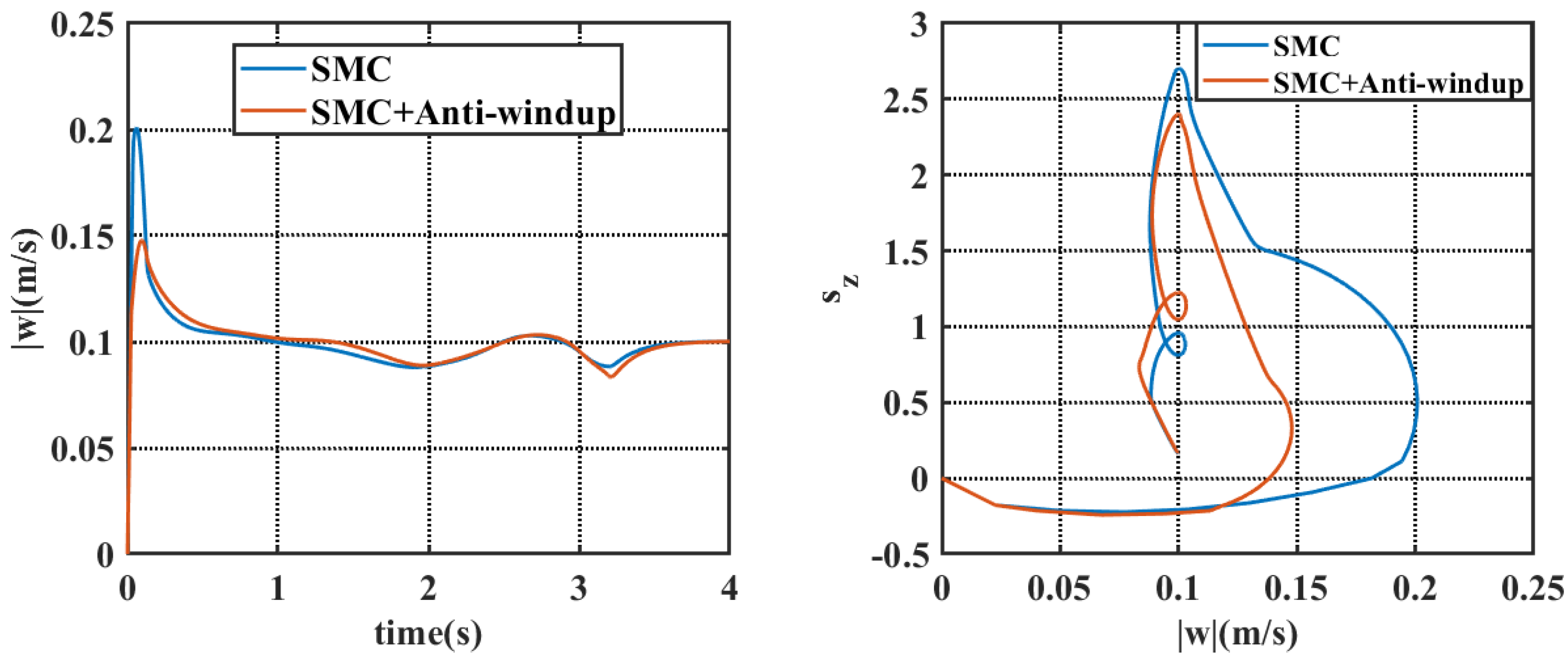
Figure 7, Figure 8 and Figure 9 show the simulation results of multi-rotor HAUV trans-media motion control under the initial conditions and control parameters mentioned above. As shown in Figure 6, the control algorithm designed in this paper significantly improved performance in controlling the trans-media speed of multi-rotor HAUV compared to the traditional sliding mode control algorithms. The maximum speed overshoot of the traditional sliding mode control method (0.085 m/s) is 4.25 times that of the control algorithm designed in this paper (0.020 m/s).
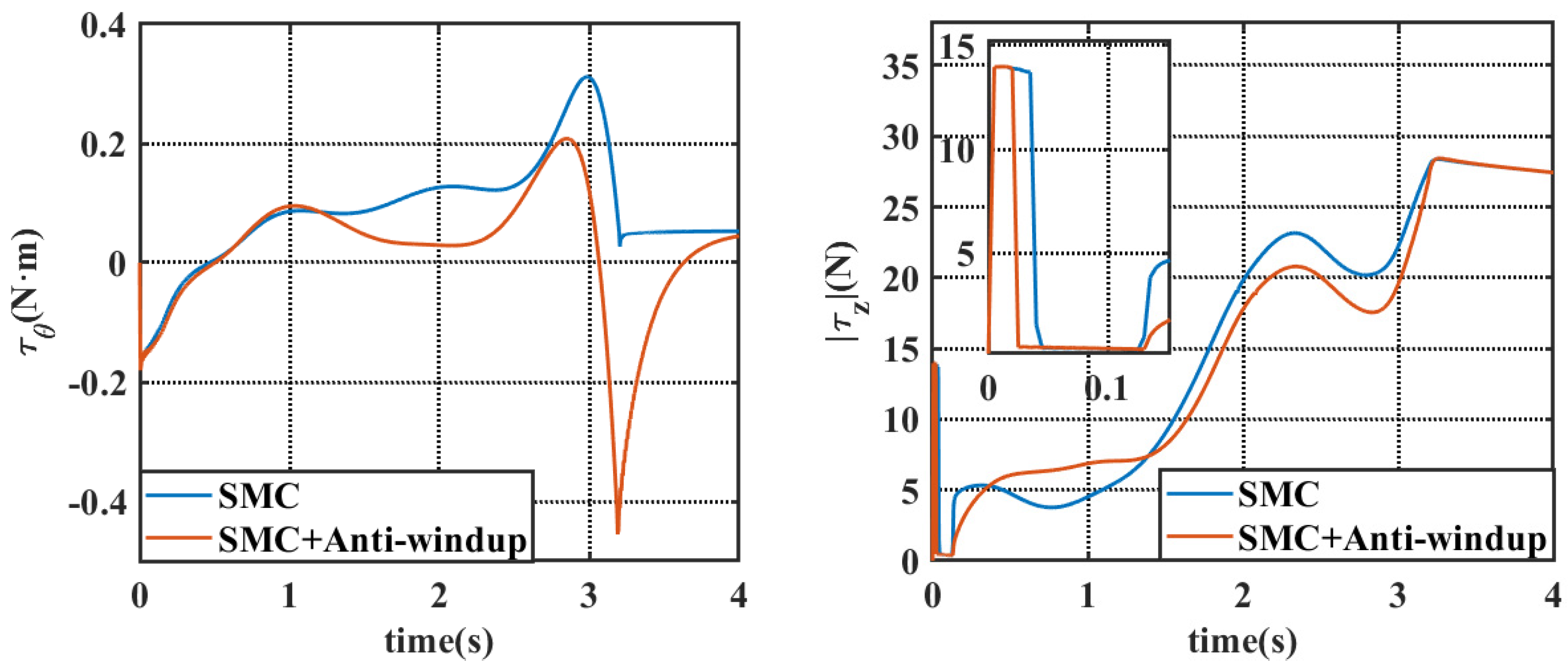
From Figure 8, it can be seen that the dynamic input saturation of the actuator, which is a key consideration in the design of the control algorithm in this paper, played a significant role. In the early stage of trans-media motion of multi-rotor HAUV, it faced the limitation of dynamic saturation of the actuator, as shown in Figure 8. At this time, the anti-windup compensator designed in this paper played an important role in compensating for the output of the controller before significant trans-media speed overshoot occurred. The duration of actuator input saturation in  τ z  was reduced by 60.0%. As shown in Figure 8, the anti-windup compensator designed in this paper reduced the trans-media speed overshoot and made the trans-media movement smoother.
Figure 9 shows the generalized position tracking error of multi-rotor HAUV in the simulation process of trans-media motion control. The traditional sliding mode control algorithm and the control algorithm designed in this paper both had very small control tracking errors in roll angle and pitch angle. However, the maximum error of the control algorithm designed in this paper was 9.3% lower than that of the traditional sliding mode control in the aspect of vertical position control tracking error.

4.2. Simulation Results Under Wind, Wave, and Current Conditions

Multi-rotor HAUV faces disturbances from wind, waves, and currents in actual marine environments. In order to simulate the trans-media motion of multi-rotor HAUV more realistically, this paper added the influence of wind, wave, and current disturbance forces in the simulation environment. The data of relevant disturbance forces and moments are detailed in the numerical calculation results in Reference [22]. This paper considered the influence of wind, waves, and currents on multi-rotor HAUV as disturbance forces and moments outside the body dynamics model established in this paper, ignoring the influence of waves on the trans-media thruster. This paper selected a set of operating conditions from Reference [22] as the basis for the dynamics of wind, wave, and current disturbances, where the currents speed is 0.5 m/s, the wind speed near the sea surface is 0.5 m/s, the wave period T is 0.5 s, and the wave height is 0.05 m. In the simulation of multi-rotor HAUV motion control considering wind, waves, and currents, all initial conditions and control parameters were the same as those in the simulation of multi-rotor HAUV motion control under static water conditions. In contrast, in the simulation of multi-rotor HAUV motion control considering wind, waves, and currents environments, this paper introduced wind, wave, and current disturbance forces and moments along the  E ξ  direction. At the same time, it was found that the wave phase  t w 0  at the initial moment of the multi-rotor HAUV trans-media motion had a significant impact on the trans-media motion. Therefore, this paper selected four representative initial wave phases ( t w 0 = 0 t w 0 = 0.25 T t w 0 = 0.50 T , and  t w 0 = 0.75 T ). The simulation results are as follows:
When  t w 0 = 0 , as shown in Figure 10, under the disturbances of wind, waves, and currents, the control algorithm designed in this paper still had a significant improvement in performance in controlling the trans-media speed of multi-rotor HAUV compared to the traditional sliding mode control algorithm. The maximum speed overshoot of the traditional sliding mode control method (0.096 m/s) was 4.17 times that of the control algorithm designed in this paper (0.023 m/s). In terms of the maximum value of  s z , the control algorithm designed in this paper was 15.5% less than the traditional sliding mode control in Figure 10.
Figure 11 shows the comparison between the control algorithm designed in this paper and the traditional sliding mode control force under wind, wave, and current disturbances ( t w 0 = 0 ). In the early stage of trans-media motion of multi-rotor HAUV, it faced the limitation of dynamic saturation of the actuator, as shown in Figure 11. At this time, the anti-windup compensator designed in this paper played an important role in compensating for the output of the controller before significant trans-media speed overshoot occurred. As shown in Figure 11, the duration of actuator input saturation in  τ z  was reduced by 83.3%. The anti-windup compensator designed in this paper reduced the trans-media speed overshoot and made the trans-media movement smoother.
Figure 12 shows the generalized position tracking error of multi-rotor HAUV in the simulation process of trans-media motion control under wind, wave, and current disturbances ( t w 0 = 0 ). It can be seen that even under the disturbances of wind, waves, and currents, the control algorithm designed in this paper still had certain advantages in controlling tracking errors compared to traditional sliding mode control. In terms of the maximum control error of  θ , the control algorithm designed in this paper was 30.4% less than the traditional sliding mode control in Figure 12. In terms of the maximum control error of  z , the control algorithm designed in this paper was 16.7% less than the traditional sliding mode control. Since the wind, wave, and current disturbances in this paper was only along the  E ξ  direction, the control error of the roll angle was almost identical to that under static water conditions. Therefore, in order to avoid repetition, this paper will not display the results of the roll degrees of freedom in the subsequent simulation results.
When  t w 0 = 0.25 T , as shown in Figure 13, under the disturbances of wind, waves, and currents, the control algorithm designed in this paper still had a significant improvement in performance in controlling the trans-media speed of multi-rotor HAUV compared to the traditional sliding mode control algorithm. The maximum speed overshoot of the traditional sliding mode control method (0.099 m/s) was 4.5 times that of the control algorithm designed in this paper (0.022 m/s). In terms of the maximum value of  s z , the control algorithm designed in this paper was 15.7% less than the traditional sliding mode control in Figure 13.
The comparison between the control algorithm designed in this paper and the traditional sliding mode control force under wind, wave, and current disturbances ( t w 0 = 0.25 T ) is shown in Figure 14. Under the constraint of dynamic saturation of the actuator in the multi-rotor HAUV, as shown in Figure 14, the anti-windup compensator designed in this paper compensated for the controller’s output before significant trans-media speed overshoot occurred, reducing 81.6% duration of actuator input saturation in  τ z , maximizing the effectiveness of the trans-media thruster’s trans-media capability.
Figure 15 shows the generalized position tracking error of multi-rotor HAUV during trans-media motion control simulation under wind, wave, and current disturbances ( t w 0 = 0.25 T ). It can be seen that even under the disturbances of wind, waves, and currents ( t w 0 = 0.25 T ), the control algorithm designed in this paper still had a 16.3% reduction in the amplitude of control tracking error compared with traditional sliding mode control.
When  t w 0 = 0.50 T , as shown in Figure 16 and Figure 17, under the disturbances of wind, waves, and currents, the control algorithm designed in this paper still had a significant improvement in performance compared to the traditional sliding mode control algorithms in controlling the trans-media speed of multi-rotor HAUV. As shown in Figure 17, the duration of actuator input saturation in  τ z  was reduced by nearly 99%. The maximum speed overshoot of the traditional sliding mode control method (0.100 m/s) was 4.35 times that of the control algorithm designed in this paper (0.023 m/s). In terms of the maximum value of  s z , the control algorithm designed in this paper was 11.1% less than the traditional sliding mode control in Figure 16.
Figure 18 shows the generalized position tracking error of multi-rotor HAUV during trans-media motion control simulation under wind, wave, and current disturbances ( t w 0 = 0.50 T ). It can be seen that under the disturbances of wind, waves, and currents ( t w 0 = 0.50 T ), the control algorithm designed in this paper was 15.3% less than the traditional sliding mode control in terms of the amplitude of vertical position control tracking error, but performed poorly in terms of pitch angle control error. However, the overall pitch angle error was at a relatively low level.
When  t w 0 = 0.75 T , as shown in Figure 19 and Figure 20, under the disturbances of wind, waves, and currents, the control algorithm designed in this paper considering dynamic input saturation, model uncertainty, and actuator dead zone still had a significant improvement in performance in controlling the trans-media speed of multi-rotor HAUV compared to the traditional sliding mode control algorithm. The maximum speed overshoot of the traditional sliding mode control method (0.101 m/s) was 2.5 times that of the control algorithm designed in this paper (0.048 m/s). In terms of the duration of actuator input saturation in  τ z , the control algorithm designed in this paper was 47.3% less than the traditional sliding mode control in Figure 20.
Figure 21 shows the generalized position tracking error of multi-rotor HAUV during trans-media motion control simulation under wind, wave, and current disturbances ( t w 0 = 0.75 T ). It can be seen that under the disturbances of wind, waves, and currents ( t w 0 = 0.75 T ), the control algorithm designed in this paper had certain advantages over traditional sliding mode control in terms of the amplitude of vertical position control tracking error, but performed poorly in terms of pitch angle control error. However, the overall pitch angle error was at a relatively low level.
Figure 22 shows the control effect of multi-rotor HAUV on trans-media motion speed during trans-media motion control simulation under different initial wave phases  t w 0 . It can be seen that under the disturbances of wind, waves, and currents with different initial wave phases, the performance of the control algorithm designed in this paper in controlling the trans-media speed of multi-rotor HAUV varied. It can be roughly divided into two categories: multi-rotor HAUV located at the wave equilibrium position ( t w 0 = 0  and  t w 0 = 0.5 T ), and multi-rotor HAUV located at the wave crest or trough ( t w 0 = 0.25 T  and  t w 0 = 0.75 T ). From Figure 22, it can be seen that when the multi-rotor HAUV was in the equilibrium position of the waves, the multi-rotor HAUV performed better in controlling the trans-media speed. Without considering the influence of waves on the trans-media thruster, the multi-rotor HAUV was more suitable for performing uniform trans-media motion tasks when it was in the wave equilibrium position.

5. Conclusions

This paper focused on designing a control strategy and algorithm for the multi-rotor HAUV trans-media process under the conditions of significant changes in hydrodynamic forces and saturated dynamic changes in actuator inputs. Based on the experimental data currently available to the public, firstly, the important factors in the trans-media motion control process of HAUV were analyzed, and a control strategy was developed first to control the attitude angle and then control the draft depth. On the basis of the above control strategy, a multi-rotor HAUV trans-media motion control algorithm considering actuator dynamic input saturation and model uncertainty was designed, and the stability of the designed control algorithm was proved through Lyapunov stability theory. At the same time, simulation verification was conducted on the designed control algorithm, and the results showed that the control algorithm considering dynamic input saturation and model uncertainty had significantly improved performance in trans-media speed control of multi-rotor HAUV compared with the traditional sliding mode control algorithm. The maximum speed overshoot of the traditional sliding mode control method was 4.25 times that of the designed control algorithm. The anti-windup compensator played an important role in improving the trans-media motion performance of multi-rotor HAUV. Without considering the influence of waves on the trans-media thruster, the multi-rotor HAUV was more suitable for performing uniform trans-media motion tasks when it was in the wave equilibrium position.
However, the complexity of the control algorithm proposed in this paper is relatively high, including derivation and integration, and the required computing power of the controller is relatively high. This brings some challenges for the practical application of the algorithm to HAUV. The practical application of the control algorithm proposed in this paper to Nezha I will also be part of our future research work. And with the development of hardware, the control algorithm proposed in this paper shows great promise for application to HAUV.

Author Contributions

T.W., Z.Z. and Y.B. contributed to conceptualization, methodology, formal analysis, and writing—original draft preparation; L.L. and Y.D. contributed to conceptualization, draft preparation, supervision, project administration, and funding acquisition. All authors have read and agreed to the published version of the manuscript.

Funding

This research was funded in part by the National Natural Science Foundation of China under grant 41706108. It was also funded in part by the Science and Technology Commission of Shanghai Municipality Project 20dz1206600, and the Natural Science Foundation of Shanghai under Grant 20ZR1424800.

Informed Consent Statement

Informed consent was obtained from all subjects involved in the study.

Data Availability Statement

Data are contained within the article.

Conflicts of Interest

The authors declare no conflicts of interest.

Appendix A

Table A1. The symbol comparison table.
Table A1. The symbol comparison table.
VariableDefinition
η = ( x , y , z , φ , θ , 0 ) T Generalized position vector in fixed coordinate system
F = ( X , Y , Z , K , M , 0 ) T Generalized force vector in fixed coordinate system
V = ( u , v , w , p , q , 0 ) T Generalized speed vector in satellite coordinates
J Generalized speed transformation matrix
M System inertia matrix
C R B Rigid-body Coriolisand centripetal matrix
g Vector of gravitational/buoyancy forces and moments
F d Trans-media hydrodynamic vector
F D Disturbance vector
f θ h P , θ , φ The upper limit of dynamic input saturation in the pitch degree of freedom
f φ h P , θ , φ The upper limit of dynamic input saturation in the roll degree of freedom
f z h P , θ , φ The upper limit of dynamic input saturation in the heave degree of freedom
P i m a x Maximum trans-media thrust of the i-th trans-media thruster
L a Length of the multi-rotor HAUV arm
s a t τ i * Input saturation function
s i Sliding mode variable at the i-th degree of freedom
w i Anti-windup adaptive compensation variable
ρ ^ i Model uncertainty adaptive compensation variable at the i-th degree of freedom
e i Generalized position tracking error at the i-th degree of freedom
ε i ,   λ i ,   ξ i ,   k 1 i ,   k 2 i , k 3 i constants
η d i Generalized expected position at the i-th degree of freedom
D i a time-varying unknown disturbance

Appendix B

In a previous study, it was confirmed that HAUV (Nezha I) possesses trans-media kinematic stability, on the basis of which the study in this paper was carried out. For more information on the previous article, please visit https://www.mdpi.com/2077-1312/10/2/275 (accessed on 25 November 2024).

References

  1. Yang, X.; Wang, T.; Liang, J.; Yao, G.; Liu, M. Survey on the novel hybrid aquatic–aerial amphibious aircraft: Aquatic unmanned aerial vehicle (AquaUAV). Prog. Aerosp. Sci. 2015, 74, 131–151. [Google Scholar] [CrossRef]
  2. Zimmerman, S.; Abdelkefi, A. Review of marine animals and bioinspired robotic vehicles: Classifications and characteristics. Prog. Aerosp. Sci. 2017, 93, 95–119. [Google Scholar] [CrossRef]
  3. Narayanan, A.; Rajeshirke, P.; Sharma, A.; Pestonjamasp, K. Survey of the emerging bio-inspired Unmanned Aerial Underwater Vehicles. IOP Conf. Ser. Mater. Sci. Eng. 2020, 810, 012078. [Google Scholar] [CrossRef]
  4. Farinha, A.; Tria, J.; Zufferey, R.; Armanini, S.F.; Kovac, M. Challenges in control and autonomy of unmanned aerial-aquatic vehicles. In Proceedings of the 2021 29th Mediterranean Conference on Control and Automation (MED), Puglia, Italy, 22–25 June 2021; pp. 937–942. [Google Scholar]
  5. Ma, Z.; Chen, D.; Li, G.; Jing, X.; Xiao, S. Configuration design and trans-media control status of the hybrid aerial underwater vehicles. Appl. Sci. 2022, 12, 765. [Google Scholar] [CrossRef]
  6. Tan, Y.; Chen, B. Survey on the development of aerial–aquatic hybrid vehicles. Unmanned Syst. 2021, 9, 263–282. [Google Scholar] [CrossRef]
  7. Yao, G.; Li, Y.; Zhang, H.; Wang, T.; Sun, F.; Yang, X. Review of hybrid aquatic-aerial vehicle (HAAV): Classifications, current status, applications, challenges and technology perspectives. Prog. Aerosp. Sci. 2023, 139, 100902. [Google Scholar] [CrossRef]
  8. Miranda Pinheiro, P.; Dias de Oliveira Evald, P.J.; Bedin Grando, R.; Alves Neto, A.; Drews, P.L.J., Jr. Hybrid Unmanned Aerial Underwater Vehicles: Asurvey on Concepts and Technologies. SSRN 2023, 4424715. [Google Scholar]
  9. Zheng, T. Current status and prospect of aquatic-aerial unmanned vehicles. Highlights Sci. Eng. Technol. 2023, 46, 125–133. [Google Scholar] [CrossRef]
  10. Alzu’Bi, H.; Mansour, L.; Rawashdeh, O. Loon Copter: Implementation of a hybrid unmanned aquatic-aerial quadcopter with active buoyancy control. J. Robot. Syst. 2018, 35, 764–778. [Google Scholar] [CrossRef]
  11. Drews, P.L.J.; Neto, A.A.; Campos, M.F. Hybrid unmanned aerial underwater vehicle: Modeling and simulation. In Proceedings of the 2014 IEEE/RSJ International Conference on Intelligent Robots and Systems, Chicago, IL, USA, 14–18 September 2014; pp. 4637–4642. [Google Scholar]
  12. Horn, A.C.; Pinheiro, P.M.; Silva, C.B.; Neto, A.A.; Drews, P.L.J., Jr. A study on configuration of propellers for multirotor-like hybrid aerial-aquatic vehicles. In Proceedings of the 2019 19th International Conference on Advanced Robotics (ICAR), Belo Horizonte, Brazil, 2–6 December 2019; pp. 173–178. [Google Scholar]
  13. Sun, X.; Cao, J.; Li, Y.; Wang, B. Design and field test of a foldable wing unmanned aerial–underwater vehicle. J. Field Robot. 2023, 41, 347–373. [Google Scholar] [CrossRef]
  14. Maia, M.; Soni, P.; Diez, F. Demonstration of an aerial and submersible vehicle capable of flight and underwater navigation with seamless air-water transition. arXiv 2015, arXiv:1507.01932. [Google Scholar]
  15. Chen, Q.; Zhu, D.; Liu, Z. Attitude control of aerial and underwater vehicles using single-input FUZZY P+ID controller. Appl. Ocean Res. 2020, 107, 102460. [Google Scholar] [CrossRef]
  16. Neto, A.A.; Mozelli, L.A.; Drews, P.L.J., Jr.; Campos, M.F.M. Attitude control for a hybrid unmanned aerial underwater vehicle: A robust switched strategy with global stability. In Proceedings of the 2015 IEEE International Conference on Robotics and Automation (ICRA), Seattle, WA, USA, 26–30 May 2015; pp. 395–400. [Google Scholar]
  17. Ma, Z.; Feng, J.; Yang, J. Research on vertical air–water trans-media control of hybrid unmanned aerial underwater vehicles based on adaptive sliding mode dynamical surface control. Int. J. Adv. Robot. Syst. 2018, 15, 1729881418770531. [Google Scholar] [CrossRef]
  18. Chen, Y.; Liu, Y.; Meng, Y.; Yu, S.; Zhuang, Y. System modeling and simulation of an unmanned aerial underwater vehicle. J. Mar. Sci. Eng. 2019, 7, 444. [Google Scholar] [CrossRef]
  19. Lu, D.; Xiong, C.; Zeng, Z.; Lian, L. Adaptive dynamic surface control for a hybrid aerial underwater vehicle with parametric dynamics and uncertainties. IEEE J. Ocean. Eng. 2019, 45, 740–758. [Google Scholar] [CrossRef]
  20. Lu, D.; Guo, Y.; Xiong, C.; Zeng, Z.; Lian, L. Takeoff and landing control of a hybrid aerial underwater vehicle on disturbed water’s surface. IEEE J. Ocean. Eng. 2021, 47, 295–311. [Google Scholar] [CrossRef]
  21. Wei, T.; Li, J.; Zeng, Z.; Lian, L. Trans-media resistance investigation of hybrid aerial underwater vehicle base on hydrodynamic experiments and machine learning. Ocean Eng. 2022, 266, 112808. [Google Scholar] [CrossRef]
  22. Wei, T.; Zhou, Z.; Wang, Y.; Zeng, Z.; Lian, L. Hydrodynamic study of hybrid aerial underwater vehicle in the wind, wave, and current environment. In Proceedings of the 2023 IEEE Underwater Technology (UT), Tokyo, Japan, 6–9 March 2023. [Google Scholar]
  23. Cui, R.; Zhang, X.; Cui, D. Adaptive sliding-mode attitude control for autonomous underwater vehicles with input nonlinearities. Ocean Eng. 2016, 123, 45–54. [Google Scholar] [CrossRef]
Figure 1. The existing representative multi-rotor HAUV.
Figure 1. The existing representative multi-rotor HAUV.
Jmse 12 02169 g001
Figure 2. Diagram of “Nezha I”.
Figure 2. Diagram of “Nezha I”.
Jmse 12 02169 g002
Figure 3. Definition of the coordinate system.
Figure 3. Definition of the coordinate system.
Jmse 12 02169 g003
Figure 4. Multi-rotor HAUV trans-media thruster designation and position.
Figure 4. Multi-rotor HAUV trans-media thruster designation and position.
Jmse 12 02169 g004
Figure 5. The dynamic test of trans-media thruster under 100% throttle.
Figure 5. The dynamic test of trans-media thruster under 100% throttle.
Jmse 12 02169 g005
Figure 6. Control logic diagram.
Figure 6. Control logic diagram.
Jmse 12 02169 g006
Figure 7. Comparative simulation results of multi-rotor HAUV motion control with uniform trans-media speed in still water (1).
Figure 7. Comparative simulation results of multi-rotor HAUV motion control with uniform trans-media speed in still water (1).
Jmse 12 02169 g007
Figure 8. Comparative simulation results of multi-rotor HAUV motion control with uniform trans-media speed in still water (2).
Figure 8. Comparative simulation results of multi-rotor HAUV motion control with uniform trans-media speed in still water (2).
Jmse 12 02169 g008aJmse 12 02169 g008b
Figure 9. Comparative simulation results of multi-rotor HAUV motion control with uniform trans-media speed in still water (3).
Figure 9. Comparative simulation results of multi-rotor HAUV motion control with uniform trans-media speed in still water (3).
Jmse 12 02169 g009
Figure 10. Comparative simulation results of multi-rotor HAUV motion control with uniform trans-media speed when  t w 0 = 0  (1).
Figure 10. Comparative simulation results of multi-rotor HAUV motion control with uniform trans-media speed when  t w 0 = 0  (1).
Jmse 12 02169 g010
Figure 11. Comparative simulation results of multi-rotor HAUV motion control with uniform trans-media speed when  t w 0 = 0  (2).
Figure 11. Comparative simulation results of multi-rotor HAUV motion control with uniform trans-media speed when  t w 0 = 0  (2).
Jmse 12 02169 g011
Figure 12. Comparative simulation results of multi-rotor HAUV motion control with uniform trans-media speed when  t w 0 = 0  (3).
Figure 12. Comparative simulation results of multi-rotor HAUV motion control with uniform trans-media speed when  t w 0 = 0  (3).
Jmse 12 02169 g012
Figure 13. Comparative simulation results of multi-rotor HAUV motion control with uniform trans-media speed when  t w 0 = 0.25 T  (1).
Figure 13. Comparative simulation results of multi-rotor HAUV motion control with uniform trans-media speed when  t w 0 = 0.25 T  (1).
Jmse 12 02169 g013
Figure 14. Comparative simulation results of multi-rotor HAUV motion control with uniform trans-media speed when  t w 0 = 0.25 T  (2).
Figure 14. Comparative simulation results of multi-rotor HAUV motion control with uniform trans-media speed when  t w 0 = 0.25 T  (2).
Jmse 12 02169 g014
Figure 15. Comparative simulation results of multi-rotor HAUV motion control with uniform trans-media speed when  t w 0 = 0.25 T  (3).
Figure 15. Comparative simulation results of multi-rotor HAUV motion control with uniform trans-media speed when  t w 0 = 0.25 T  (3).
Jmse 12 02169 g015
Figure 16. Comparative simulation results of multi-rotor HAUV motion control with uniform trans-media speed when  t w 0 = 0.50 T  (1).
Figure 16. Comparative simulation results of multi-rotor HAUV motion control with uniform trans-media speed when  t w 0 = 0.50 T  (1).
Jmse 12 02169 g016
Figure 17. Comparative simulation results of multi-rotor HAUV motion control with uniform trans-media speed when  t w 0 = 0.50 T  (2).
Figure 17. Comparative simulation results of multi-rotor HAUV motion control with uniform trans-media speed when  t w 0 = 0.50 T  (2).
Jmse 12 02169 g017
Figure 18. Comparative simulation results of multi-rotor HAUV motion control with uniform trans-media speed when  t w 0 = 0.50 T  (3).
Figure 18. Comparative simulation results of multi-rotor HAUV motion control with uniform trans-media speed when  t w 0 = 0.50 T  (3).
Jmse 12 02169 g018
Figure 19. Comparative simulation results of multi-rotor HAUV motion control with uniform trans-media speed when  t w 0 = 0.75 T  (1).
Figure 19. Comparative simulation results of multi-rotor HAUV motion control with uniform trans-media speed when  t w 0 = 0.75 T  (1).
Jmse 12 02169 g019
Figure 20. Comparative simulation results of multi-rotor HAUV motion control with uniform trans-media speed when  t w 0 = 0.75 T  (2).
Figure 20. Comparative simulation results of multi-rotor HAUV motion control with uniform trans-media speed when  t w 0 = 0.75 T  (2).
Jmse 12 02169 g020aJmse 12 02169 g020b
Figure 21. Comparative simulation results of multi-rotor HAUV motion control with uniform trans-media speed when  t w 0 = 0.75 T  (3).
Figure 21. Comparative simulation results of multi-rotor HAUV motion control with uniform trans-media speed when  t w 0 = 0.75 T  (3).
Jmse 12 02169 g021
Figure 22. Comparison of control effect of SMC + anti-windup algorithm under different  t w 0 .
Figure 22. Comparison of control effect of SMC + anti-windup algorithm under different  t w 0 .
Jmse 12 02169 g022
Disclaimer/Publisher’s Note: The statements, opinions and data contained in all publications are solely those of the individual author(s) and contributor(s) and not of MDPI and/or the editor(s). MDPI and/or the editor(s) disclaim responsibility for any injury to people or property resulting from any ideas, methods, instructions or products referred to in the content.

Share and Cite

MDPI and ACS Style

Wei, T.; Bi, Y.; Zeng, Z.; Lian, L.; Dan, Y. Trans-Media Motion Control of a Hybrid Aerial Underwater Vehicle Considering Actuator Dynamic Input Saturation. J. Mar. Sci. Eng. 2024, 12, 2169. https://doi.org/10.3390/jmse12122169

AMA Style

Wei T, Bi Y, Zeng Z, Lian L, Dan Y. Trans-Media Motion Control of a Hybrid Aerial Underwater Vehicle Considering Actuator Dynamic Input Saturation. Journal of Marine Science and Engineering. 2024; 12(12):2169. https://doi.org/10.3390/jmse12122169

Chicago/Turabian Style

Wei, Tongjin, Yuanbo Bi, Zheng Zeng, Lian Lian, and Yangwen Dan. 2024. "Trans-Media Motion Control of a Hybrid Aerial Underwater Vehicle Considering Actuator Dynamic Input Saturation" Journal of Marine Science and Engineering 12, no. 12: 2169. https://doi.org/10.3390/jmse12122169

APA Style

Wei, T., Bi, Y., Zeng, Z., Lian, L., & Dan, Y. (2024). Trans-Media Motion Control of a Hybrid Aerial Underwater Vehicle Considering Actuator Dynamic Input Saturation. Journal of Marine Science and Engineering, 12(12), 2169. https://doi.org/10.3390/jmse12122169

Note that from the first issue of 2016, this journal uses article numbers instead of page numbers. See further details here.

Article Metrics

Back to TopTop