Numerical Simulation of the Horizontal Water-Entry Process of High-Speed Vehicles
Abstract
1. Introduction
2. Numerical Models and Simulation Methods
2.1. Simulation Domain
2.1.1. Vehicle Model
2.1.2. Computing Domain and Coordinate System
2.2. Grid Division
2.3. Governing Equations
2.4. Turbulence Model
2.5. Fluid Cavitation Model
2.6. Simulation Methods
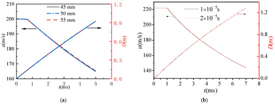
2.7. Grid Independence Verification
2.8. Numerical Calculation Method Verification
3. Results and Discussion
3.1. Characteristics of Vehicle Water-Entry Process
3.1.1. Flow Field Characteristics During the Vehicle Water-Entry Process
- (1)
 - Fluid cavitation characteristics
 
- (2)
 - Fluid resistance characteristics
 
3.1.2. Motion Characteristics of the Vehicle Water-Entry Process
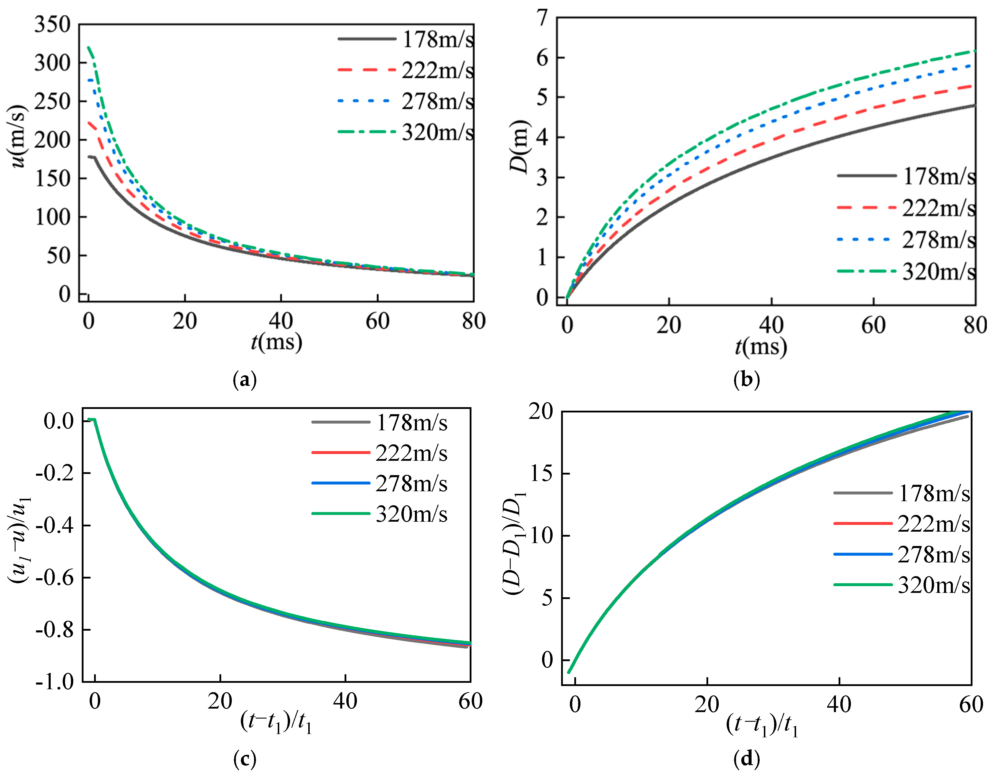
3.2. Effect of Vehicle Initial Velocity on the Water-Entry Process
3.2.1. Effect of Vehicle Initial Velocity on Cavitation Characteristics
3.2.2. Effect of Initial Velocity on Vehicle Motion Characteristics
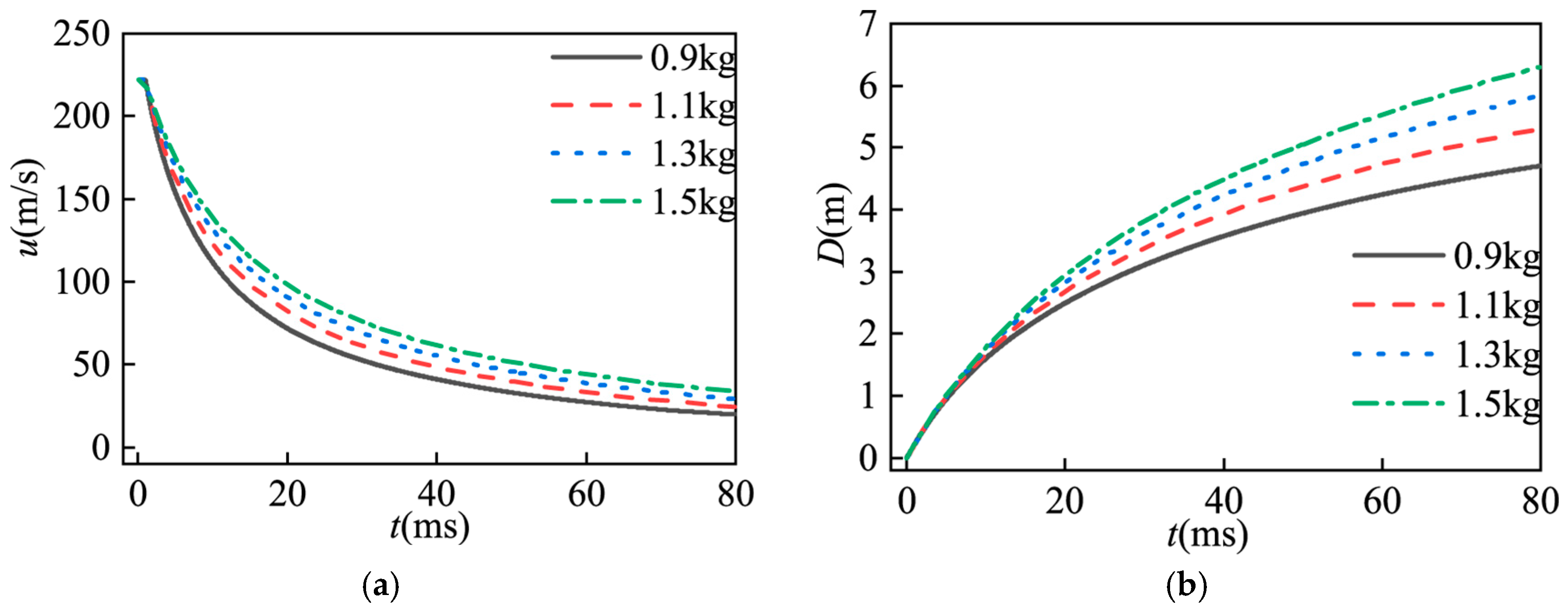
3.3. Effect of Vehicle Mass on the Water-Entry Process
3.3.1. Effect of Vehicle Mass on Cavitation Characteristics
3.3.2. Effect of Vehicle Mass on Its Motion Characteristics
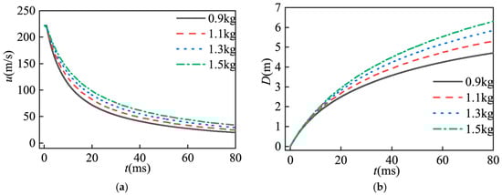
3.4. Effect of Vehicle Structure on the Water-Entry Process
3.4.1. Effect of Vehicle Structure on Cavitation Characteristics
3.4.2. Effect of Vehicle Structure on Its Motion Characteristics
4. Conclusions
- (1)
 - During the process of a vehicle entering water at high speed, fluid cavitation can be divided into three stages: the cavity development stage, the cavity saturation stage, and the cavity collapse stage. In the stage of cavitation development, it is mainly composed of air and water vapor. When it reaches the saturation stage, the volume of water vapor reaches its peak, while air accounts for only a small part. In the subsequent collapse stage, air and water vapor continue to dissipate, and the cavitation is mainly composed of water vapor.
 - (2)
 - Increasing the initial velocity or mass of the vehicle can increase the generation rate of water vapor in the cavitation development stage, producing more water vapor and delaying the time for cavitation collapse. The maximum volume of vapor generated and its corresponding required time are in proportion to the initial velocity and mass of the vehicle. After the streamlined design of the vehicle structure, the amount of water vapor generated during the water-entry process is significantly reduced.
 - (3)
 - The flow resistance coefficient can also be divided into three stages, namely, the sudden change stage at the moment of the vehicle entering the water, the stable stage, and the gradually increasing stage. The initial velocity of the vehicle has limited influence on the flow resistance coefficient. The mass of the vehicle has little effect on the flow resistance coefficient in the stable stage. However, as the mass of the vehicle decreases, the time interval of the stable stage is shortened, and the flow resistance coefficient is greater in the gradually increasing stage. The fluid resistance and its coefficient for a vehicle with a streamlined design are obviously lower than those of the unoptimized vehicle.
 - (4)
 - After the high-speed vehicle enters water horizontally, its speed slows down gradually and then flattens out. The higher the initial velocity of the vehicle, the faster it slows down after entering the water. After a certain period of time, the instantaneous velocities for the vehicles with different initial velocities are almost the same, and the displacement gaps among them remain almost unchanged. The larger the mass of the vehicle, the slower the decrease in velocity after entering the water, and the greater the displacement among the vehicles with different masses. The instantaneous velocity for the vehicle with a streamlined design decreases slower after entering the water and runs farther within the same time when compared with the unoptimized vehicle.
 
Author Contributions
Funding
Informed Consent Statement
Data Availability Statement
Conflicts of Interest
References
- Gu, H.B.; Qian, L.; Causon, D.M.; Mingham, C.; Lin, P. Numerical simulation of water impact of solid bodies with vertical and oblique entries. Ocean Eng. 2014, 75, 128–137. [Google Scholar] [CrossRef]
 - Tassin, A.; Korobkin, A.A.; Cooker, M.J. On analytical models of vertical water entry of a symmetric body with separation and cavity initiation. Appl. Ocean Res. 2014, 48, 33–41. [Google Scholar] [CrossRef]
 - Lee, M.; Longoria, R.G.; Wilson, D.E. Cavity dynamics in high-speed water entry. Phys. Fluids 1997, 9, 540–550. [Google Scholar] [CrossRef]
 - Mirzaei, M.; Taghvaei, H.; Alishahi, M.M. Mathematical modeling of the oblique water-entry of cylindrical vehicles. Ocean Eng. 2020, 205, 107257. [Google Scholar] [CrossRef]
 - Mirzaei, M.; Taghvaei, H.; Golneshan, A.A. Improvement of cavity shape modeling in water-entry of circular cylinders by considering the cavity memory effect. Appl. Ocean Res. 2024, 97, 102073. [Google Scholar] [CrossRef]
 - Truscott, T.T.; Gomez, J.T.; Beal, D.N.; Techet, A. Shallow-angle water entry of ballistic vehicles. In Proceedings of the CAV2009—7th International Symposium on Cavitation, Ann Arbor, MI, USA, 16–20 August 2009. [Google Scholar]
 - Guo, Z.T.; Zhang, W.; Wang, C. Experimental and theorerical study on the high speed horizontal water entry behaviors of cylindrical vehicles. J. Hydromech. 2012, 24, 217–225. [Google Scholar]
 - Ahn, B.-K.; Lee, T.-K.; Kim, H.-T.; Lee, C.S. Experimental investigation of supercavitating flows. Int. J. Nav. Archit. Ocean Eng. 2012, 4, 123–131. [Google Scholar] [CrossRef]
 - Chen, T.; Huang, W.; Zhang, W.; Qi, Y.; Guo, Z. Experimental investigation on trajectory stability of high-speed water entry vehicles. Ocean Eng. 2019, 175, 16–24. [Google Scholar] [CrossRef]
 - Sui, Y.-T.; Zhang, A.M.; Ming, F.-R.; Li, S. Experimental investigation of oblique water entry of high-speed truncated cone vehicles: Cavity dynamics and impact load. J. Fluids Struct. 2021, 104, 103305. [Google Scholar] [CrossRef]
 - Du, Y.; Wang, Z.; Wang, Y.; Wang, J.; Qiu, R.; Huang, C. Study on the cavity dynamics of water entry for horizontal objects with different geometrical shapes. Ocean Eng. 2022, 252, 111242. [Google Scholar] [CrossRef]
 - Zhao, C.; Wang, C.; Wei, Y.; Zhang, X.; Sun, T. Experimental study on oblique water entry of vehicles. Mod. Phys. Lett. B 2016, 30, 1650348. [Google Scholar] [CrossRef]
 - Qi, D.; Feng, J.; Xu, B.; Zhang, J.; Li, Y. Investigation of water entry impact forces on airborne-launched AUVs. Eng. Appl. Comput. Fluid Mech. 2016, 10, 475–486. [Google Scholar] [CrossRef]
 - Hou, Y.; Huang, Z.; Guo, Z.; Chen, Z.; Liu, R.; Luo, Y. Experimental Investigation on Shallow-angle Oblique Water-entry of a High-speed Supercavitating Vehicle. Binggong Xuebao Acta Armament. 2020, 41, 332–341. [Google Scholar]
 - Aristoff, J.M.; Bush, J.W.M. Water entry of small hydrophobic spheres. J. Fluid Mech. 2009, 619, 45–78. [Google Scholar] [CrossRef]
 - Truscott, T.T.; Wright, M.M.; Langley, K.R. Holy balls! Balls that walk on water. Phys. Fluids 2012, 24, 091103. [Google Scholar] [CrossRef]
 - Vincent, L.; Xiao, T.; Yohann, D.; Jung, S.; Kanso, E. Dynamics of water entry. J. Fluid Mech. 2018, 846, 508–535. [Google Scholar] [CrossRef]
 - He, C.T.; Wang, C.; Min, J.X.; Jin, D.Q.; Huang, H.L. Numerical simulation of early air-cavity of cylinder cone with vertical water-entry. Gongcheng Lixue Eng. Mech. 2012, 29, 237–243. [Google Scholar]
 - Panciroli, R.; Abrate, S.; Minak, G.; Zucchelli, A. Hydroelasticity in water-entry problems: Comparison between experimental and SPH results. Compos. Struct. 2012, 94, 532–539. [Google Scholar] [CrossRef]
 - Shi, Y.; Pan, G.; Yan, G.X.; Yim, S.C.; Jiang, J. Numerical study on the cavity characteristics and impact loads of AUV water entry. Appl. Ocean Res. 2019, 89, 44–58. [Google Scholar] [CrossRef]
 - Jiang, C.-X.; Shuai, Z.-J.; Zhang, X.-Y.; Li, W.Y.; Li, F.C. Numerical study on the transient behavior of water-entry supercavitating flow around a cylindrical vehicle influenced by turbulent drag-reducing additives. Appl. Therm. Eng. 2016, 104, 450–460. [Google Scholar] [CrossRef]
 - Zhang, G.Y.; Hou, Z.; Sun, T.-Z.; Wei, H.-P.; Li, N.; Zhou, B.; Gao, Y.-J. Numerical simulation of the effect of waves on cavity dynamics for oblique water entry of a cylinder. J. Hydrodyn. 2020, 32, 1178–1190. [Google Scholar] [CrossRef]
 - Yan, H.; Liu, Y.; Kominiarczuk, J.; Yue, D.K.P. Cavity dynamics in water entry at low Froude numbers. J. Fluid Mech. 2009, 641, 441–461. [Google Scholar] [CrossRef]
 - Lu, L.; Wang, C.; Li, Q.; Sahoo, P.K. Numerical investigation of water-entry characteristics of high-speed parallel vehicles. Int. J. Nav. Archit. Ocean Eng. 2021, 13, 450–465. [Google Scholar] [CrossRef]
 - Zhang, J.H.; Zhang, Y.W.; Zhang, B. Research on hydrodynamic characteristic of super-cavitating vehicle in heave state. Jisuan Lixue Xuebao Chin. J. Comput. Mech. 2012, 29, 983–988. [Google Scholar]
 - Ma, Q.-P.; Wei, Y.-J.; Wang, C.; Cao, W.; Chen, C.Q. Numerical simulation of deep closure of high-speed water entry cavity of cone-cylinder. Binggong Xuebao Acta Armament. 2014, 35, 1451–1457. [Google Scholar]
 - Schnerr, G.H.; Sauer, J. Physical and numerical modeling of unsteady cavitation dynamics. In Proceedings of the 4th International Conference on Multiphase Flow, New Orleans, LO, USA, 27 May 2001. [Google Scholar]
 - Singhala, K.; Athavalem, M.; Li, H.; Jiang, Y. Mathematical Basis and Validation of the Full Cavitation Model. J. Fluids Eng. 2002, 124, 617–624. [Google Scholar] [CrossRef]
 - Launder, B.E.; Spalding, D.B. The Numerical Computation of Turbulent Flows. Comput. Methods Appl. Mech. Eng. 1974, 3, 269–289. [Google Scholar] [CrossRef]
 























| The Shape of Vehicle | Mass/kg | Moment of Inertia/(kg·m2) | ||
|---|---|---|---|---|
| Ixx | Iyy | Izz | ||
| 1 | 1.1 | 3.426 × 10−4 | 1 × 10−3 | 1 × 10−3 | 
| 2 | 1.1 | 3.016 × 10−4 | 7.99 × 10−4 | 7.99 × 10−4 | 
Disclaimer/Publisher’s Note: The statements, opinions and data contained in all publications are solely those of the individual author(s) and contributor(s) and not of MDPI and/or the editor(s). MDPI and/or the editor(s) disclaim responsibility for any injury to people or property resulting from any ideas, methods, instructions or products referred to in the content.  | 
© 2024 by the authors. Licensee MDPI, Basel, Switzerland. This article is an open access article distributed under the terms and conditions of the Creative Commons Attribution (CC BY) license (https://creativecommons.org/licenses/by/4.0/).
Share and Cite
Ju, J.-L.; Yang, N.-N.; Zhang, Y.-F.; Yu, L.; Zhang, Z.; Li, L.-C.; Ma, G.-L.; Wu, W.-H. Numerical Simulation of the Horizontal Water-Entry Process of High-Speed Vehicles. J. Mar. Sci. Eng. 2024, 12, 2062. https://doi.org/10.3390/jmse12112062
Ju J-L, Yang N-N, Zhang Y-F, Yu L, Zhang Z, Li L-C, Ma G-L, Wu W-H. Numerical Simulation of the Horizontal Water-Entry Process of High-Speed Vehicles. Journal of Marine Science and Engineering. 2024; 12(11):2062. https://doi.org/10.3390/jmse12112062
Chicago/Turabian StyleJu, Jin-Long, Na-Na Yang, Yi-Fei Zhang, Lei Yu, Zhe Zhang, Liang-Chao Li, Guo-Lu Ma, and Wen-Hua Wu. 2024. "Numerical Simulation of the Horizontal Water-Entry Process of High-Speed Vehicles" Journal of Marine Science and Engineering 12, no. 11: 2062. https://doi.org/10.3390/jmse12112062
APA StyleJu, J.-L., Yang, N.-N., Zhang, Y.-F., Yu, L., Zhang, Z., Li, L.-C., Ma, G.-L., & Wu, W.-H. (2024). Numerical Simulation of the Horizontal Water-Entry Process of High-Speed Vehicles. Journal of Marine Science and Engineering, 12(11), 2062. https://doi.org/10.3390/jmse12112062
        
