Dynamics of Sandy Shorelines and Their Response to Wave Climate Change in the East of Hainan Island, China
Abstract
1. Introduction
2. Study Area and Data Sources
2.1. Study Area
2.2. Data Sources
2.2.1. Satellite Imagery Sources
2.2.2. Wave Climate Datasets
2.2.3. Datasets for Validation and Tidal Correction
2.2.4. Multivariate ENSO Index
3. Methods
3.1. Shoreline Extraction
3.2. Tidal Correction and Outlier Correction
3.3. Satellite Data Validation
4. Results
4.1. Shoreline Changes
4.1.1. Long-Term Analysis of Shoreline Changes
4.1.2. Interannual Shoreline Variability
4.1.3. Seasonal Shoreline Variability
4.1.4. Anthropic Interventions
4.2. Wave Climate Characteristics
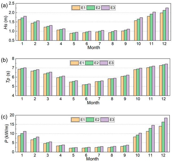
4.2.1. Characteristics of Significant Wave Height, Period, and Energy Flux
4.2.2. Wave Direction Characteristics
4.2.3. Extreme Wave Climate Characteristics
5. Discussion
5.1. Impact of ENSO on Wave Climate
5.2. Relationship Between Sandy Shoreline Evolution and Wave Climate Changes
5.3. Other Factors Influencing Shoreline Dynamics
6. Conclusions
Author Contributions
Funding
Institutional Review Board Statement
Informed Consent Statement
Data Availability Statement
Acknowledgments
Conflicts of Interest
References
- Luijendijk, A.; Hagenaars, G.; Ranasinghe, R.; Baart, F.; Donchyts, G.; Aarninkhof, S. The State of the World’s Beaches. Sci. Rep. 2018, 8, 6641. [Google Scholar] [CrossRef] [PubMed]
- Castelle, B.; Masselink, G. Morphodynamics of wave-dominated beaches. Camb. Prism. Coast. Futures 2023, 1, e1. [Google Scholar] [CrossRef]
- Coco, G.; Murray, A.B. Patterns in the sand: From forcing templates to self-organization. Geomorphology 2007, 91, 271–290. [Google Scholar] [CrossRef]
- Anton, I.; Paranunzio, R.; Gharbia, S. Changes of the Coastal Zones Due to Climate Change. J. Mar. Sci. Eng. 2023, 11, 2158. [Google Scholar] [CrossRef]
- Ranasinghe, R. Assessing climate change impacts on open sandy coasts: A review. Earth-Sci. Rev. 2016, 160, 320–332. [Google Scholar] [CrossRef]
- Vousdoukas, M.I.; Ranasinghe, R.; Mentaschi, L.; Plomaritis, T.A.; Athanasiou, P.; Luijendijk, A.; Feyen, L. Sandy coastlines under threat of erosion. Nat. Clim. Chang. 2020, 10, 260–263. [Google Scholar] [CrossRef]
- Boak, E.H.; Turner, I.L. Shoreline Definition and Detection: A Review. J. Coast. Res. 2005, 214, 688–703. [Google Scholar] [CrossRef]
- Castelle, B.; Masselink, G.; Scott, T.; Stokes, C.; Konstantinou, A.; Marieu, V.; Bujan, S. Satellite-derived shoreline detection at a high-energy meso-macrotidal beach. Geomorphology 2021, 383, 107707. [Google Scholar] [CrossRef]
- Burvingt, O.; Masselink, G.; Russell, P.; Scott, T. Classification of beach response to extreme storms. Geomorphology 2017, 295, 722–737. [Google Scholar] [CrossRef]
- Coco, G.; Senechal, N.; Rejas, A.; Bryan, K.R.; Capo, S.; Parisot, J.P.; Brown, J.A.; MacMahan, J.H.M. Beach response to a sequence of extreme storms. Geomorphology 2014, 204, 493–501. [Google Scholar] [CrossRef]
- Harley, M.D.; Masselink, G.; Ruiz De Alegría-Arzaburu, A.; Valiente, N.G.; Scott, T. Single extreme storm sequence can offset decades of shoreline retreat projected to result from sea-level rise. Commun. Earth Environ. 2022, 3, 112. [Google Scholar] [CrossRef]
- Yuan, R.; Xu, R.; Zhang, H.; Hua, Y.; Zhang, H.; Zhong, X.; Chen, S. Detecting Shoreline Changes on the Beaches of Hainan Island (China) for the Period 2013–2023 Using Multi-Source Data. Water 2024, 16, 1034. [Google Scholar] [CrossRef]
- Almar, R.; Boucharel, J.; Graffin, M.; Abessolo, G.O.; Thoumyre, G.; Papa, F.; Ranasinghe, R.; Montano, J.; Bergsma, E.W.J.; Baba, M.W.; et al. Influence of El Niño on the variability of global shoreline position. Nat. Commun. 2023, 14, 3133. [Google Scholar] [CrossRef] [PubMed]
- Barnard, P.L.; Hoover, D.; Hubbard, D.M.; Snyder, A.; Ludka, B.C.; Allan, J.; Kaminsky, G.M.; Ruggiero, P.; Gallien, T.W.; Gabel, L.; et al. Extreme oceanographic forcing and coastal response due to the 2015–2016 El Niño. Nat. Commun. 2017, 8, 14365. [Google Scholar] [CrossRef] [PubMed]
- Guzman, E.; Ramos, C.; Dastgheib, A. Influence of the El Niño Phenomenon on Shoreline Evolution. Case Study: Callao Bay, Perú. JMSE 2020, 8, 90. [Google Scholar] [CrossRef]
- Vos, K.; Harley, M.D.; Turner, I.L.; Splinter, K.D. Pacific shoreline erosion and accretion patterns controlled by El Niño/Southern Oscillation. Nat. Geosci. 2023, 16, 140–146. [Google Scholar] [CrossRef]
- Cuttler, M.V.W.; Vos, K.; Branson, P.; Hansen, J.E.; O’Leary, M.; Browne, N.K.; Lowe, R.J. Interannual Response of Reef Islands to Climate-Driven Variations in Water Level and Wave Climate. Remote Sens. 2020, 12, 4089. [Google Scholar] [CrossRef]
- Hinkel, J.; Nicholls, R.J.; Tol, R.S.J.; Wang, Z.B.; Hamilton, J.M.; Boot, G.; Vafeidis, A.T.; McFadden, L.; Ganopolski, A.; Klein, R.J.T. A global analysis of erosion of sandy beaches and sea-level rise: An application of DIVA. Glob. Planet. Chang. 2013, 111, 150–158. [Google Scholar] [CrossRef]
- Magnan, A.K.; Oppenheimer, M.; Garschagen, M.; Buchanan, M.K.; Duvat, V.K.E.; Forbes, D.L.; Ford, J.D.; Lambert, E.; Petzold, J.; Renaud, F.G.; et al. Sea level rise risks and societal adaptation benefits in low-lying coastal areas. Sci. Rep. 2022, 12, 10677. [Google Scholar] [CrossRef]
- Ranasinghe, R.; Callaghan, D.; Stive, M.J.F. Estimating coastal recession due to sea level rise: Beyond the Bruun rule. Clim. Chang. 2012, 110, 561–574. [Google Scholar] [CrossRef]
- Nidhinarangkoon, P.; Ritphring, S.; Kino, K.; Oki, T. Shoreline Changes from Erosion and Sea Level Rise with Coastal Management in Phuket, Thailand. J. Mar. Sci. Eng. 2023, 11, 969. [Google Scholar] [CrossRef]
- Cheng, W.; Chen, S.; Zhu, J.; Zhong, X.; Hu, J.; Guo, J. Identification of the Sediment Movement Mechanism via Grain Size and Shape: A Case Study of a Beach in Eastern Hainan Island in South China. Water 2023, 15, 3637. [Google Scholar] [CrossRef]
- Guo, J.; Shi, L.; Chen, S.; Castelle, B.; Chang, Y.; Cheng, W. Sand-mud transition dynamics at embayed beaches during a typhoon season in eastern China. Mar. Geol. 2021, 441, 106633. [Google Scholar] [CrossRef]
- Torres-Freyermuth, A.; López-Ramade, E.; Medellín, G.; Arriaga, J.A.; Franklin, G.L.; Salles, P.; Uribe, A.; Appendini, C.M. Assessing shoreline dynamics over multiple scales on the northern Yucatan Peninsula. Reg. Stud. Mar. Sci. 2023, 68, 103247. [Google Scholar] [CrossRef]
- Gelfenbaum, G.; Kaminsky, G.M. Large-scale coastal change in the Columbia River littoral cell: An overview. Mar. Geol. 2010, 273, 1–10. [Google Scholar] [CrossRef]
- Reguero, B.G.; Losada, I.J.; Méndez, F.J. A recent increase in global wave power as a consequence of oceanic warming. Nat. Commun. 2019, 10, 205. [Google Scholar] [CrossRef]
- Casamayor, M.; Alonso, I.; Valiente, N.G.; Sánchez-García, M.J. Seasonal response of a composite beach in relation to wave climate. Geomorphology 2022, 408, 108245. [Google Scholar] [CrossRef]
- McSweeney, S.; Shulmeister, J. Variations in wave climate as a driver of decadal scale shoreline change at the Inskip Peninsula, southeast Queensland, Australia. Estuar. Coast. Shelf Sci. 2018, 209, 56–69. [Google Scholar] [CrossRef]
- Su, Q.; Li, Z.; Li, G.; Zhu, D.; Hu, P. Coastal erosion risk assessment of Hainan Island, China. Acta Oceanol. Sin. 2023, 42, 79–90. [Google Scholar] [CrossRef]
- Wang, Y.; Shi, B.; Zhang, L.; Jia, J.; Xia, X.; Zhou, L.; Yu, R.; Yang, Y.; Gao, J. Assessing the vulnerability of changing coasts, Hainan Island, China. Acta Oceanol. Sin. 2017, 36, 114–120. [Google Scholar] [CrossRef]
- Li, Z.; Zhu, S.; Hu, D.; Zhang, H.; Zeng, C. Analysis of Beach Profile Variations and Sedimentation Dynamics at Haikou Bay Beach, China. In Proceedings of the 10th International Conference on Asian and Pacific Coasts, Hanoi, Vietnam, 23–24 November 2019; pp. 347–352. [Google Scholar] [CrossRef]
- Liu, G.; Cai, F.; Qi, H.; Liu, J.; Cao, C.; Zhao, S.; He, Y.; Zhu, J.; Yin, C.; Mo, W. Decadal evolution of a sandy beach adjacent to a river mouth under natural drivers and human impacts. Front. Mar. Sci. 2024, 11, 1384780. [Google Scholar] [CrossRef]
- Zhong, X.; Yu, P.; Chen, S. Fractal properties of shoreline changes on a storm-exposed island. Sci. Rep. 2017, 7, 8274. [Google Scholar] [CrossRef] [PubMed]
- Yin, Y.; Zhu, D.; Tang, W.; Martini, I.P. The application of GPR to barrier—Lagoon sedimentation study in Boao of Hainan Island. J. Geogr. Sci. 2002, 12, 313–320. [Google Scholar] [CrossRef]
- Zhao, M.; Zhang, H.; Zhong, Y.; Jiang, D.; Liu, G.; Yan, H.; Zhang, H.; Guo, P.; Li, C.; Yang, H.; et al. The Status of Coral Reefs and Its Importance for Coastal Protection: A Case Study of Northeastern Hainan Island, South China Sea. Sustainability 2019, 11, 4354. [Google Scholar] [CrossRef]
- Gao, J.; Chen, G.; Ou, W.; Zhu, D. The coast evolution and regulation in Wanquan River Estuary, Hainan Island. J. Geogr. Sci. 2004, 14, 375–381. [Google Scholar] [CrossRef]
- De Schipper, M.A.; Ludka, B.C.; Raubenheimer, B.; Luijendijk, A.P.; Schlacher, T.A. Beach nourishment has complex implications for the future of sandy shores. Nat. Rev. Earth Environ. 2020, 2, 70–84. [Google Scholar] [CrossRef]
- Liu, G.; Qi, H.; Cai, F.; Zhu, J.; Zhao, S.; Liu, J.; Lei, G.; Cao, C.; He, Y.; Xiao, Z. Initial morphological responses of coastal beaches to a mega offshore artificial island. Earth Surf. Process. Landf. 2022, 47, 1355–1370. [Google Scholar] [CrossRef]
- Billet, C.; Bacino, G.; Alonso, G.; Dragani, W. Shoreline Temporal Variability Inferred from Satellite Images at Mar del Plata, Argentina. Water 2023, 15, 1299. [Google Scholar] [CrossRef]
- Tiede, J.; Jordan, C.; Moghimi, A.; Schlurmann, T. Long-term shoreline changes at large spatial scales at the Baltic Sea: Remote-sensing based assessment and potential drivers. Front. Mar. Sci. 2023, 10, 1207524. [Google Scholar] [CrossRef]
- Hersbach, H.; Bell, B.; Berrisford, P.; Hirahara, S.; Horányi, A.; Muñoz-Sabater, J.; Nicolas, J.; Peubey, C.; Radu, R.; Schepers, D.; et al. The ERA5 global reanalysis. Q. J. R. Meteorol. Soc. 2020, 146, 1999–2049. [Google Scholar] [CrossRef]
- Liu, J.; Li, B.; Chen, W.; Li, J.; Yan, J. Evaluation of ERA5 Wave Parameters with In Situ Data in the South China Sea. Atmosphere 2022, 13, 935. [Google Scholar] [CrossRef]
- Franco-Ochoa, C.; Zambrano-Medina, Y.; Plata-Rocha, W.; Monjardín-Armenta, S.; Rodríguez-Cueto, Y.; Escudero, M.; Mendoza, E. Long-Term Analysis of Wave Climate and Shoreline Change along the Gulf of California. Appl. Sci. 2020, 10, 8719. [Google Scholar] [CrossRef]
- Carrere, L.; Lyard, F.; Cancet, M.; Guillot, A. FES 2014, a new tidal model on the global ocean with enhanced accuracy in shallow seas and in the Arctic region. EGU Gen. Assem. 2015, 17, EGU2015-5481. [Google Scholar]
- Wolter, K.; Timlin, M.S. El Niño/Southern Oscillation behaviour since 1871 as diagnosed in an extended multivariate ENSO index (MEI.ext). Int. J. Climatol. 2011, 31, 1074–1087. [Google Scholar] [CrossRef]
- Lv, A.; Fan, L.; Zhang, W. Impact of ENSO Events on Droughts in China. Atmosphere 2022, 13, 1764. [Google Scholar] [CrossRef]
- Vos, K.; Splinter, K.D.; Harley, M.D.; Simmons, J.A.; Turner, I.L. CoastSat: A Google Earth Engine-enabled Python toolkit to extract shorelines from publicly available satellite imagery. Environ. Model. Softw. 2019, 122, 104528. [Google Scholar] [CrossRef]
- Vos, K.; Harley, M.D.; Splinter, K.D.; Simmons, J.A.; Turner, I.L. Sub-annual to multi-decadal shoreline variability from publicly available satellite imagery. Coast. Eng. 2019, 150, 160–174. [Google Scholar] [CrossRef]
- Xu, H. Modification of normalised difference water index (NDWI) to enhance open water features in remotely sensed imagery. Int. J. Remote Sens. 2006, 27, 3025–3033. [Google Scholar] [CrossRef]
- Otsu, N. A Threshold Selection Method from Gray-Level Histograms. IEEE Trans. Syst. Man Cybern. 1979, 9, 62–66. [Google Scholar] [CrossRef]
- Graffin, M.; Taherkhani, M.; Leung, M.; Vitousek, S.; Kaminsky, G.; Ruggiero, P. Monitoring interdecadal coastal change along dissipative beaches via satellite imagery at regional scale. Camb. Prism. Coast. Futures 2023, 1, e42. [Google Scholar] [CrossRef]
- Vos, K.; Harley, M.D.; Splinter, K.D.; Walker, A.; Turner, I.L. Beach Slopes From Satellite-Derived Shorelines. Geophys. Res. Lett. 2020, 47, e2020GL088365. [Google Scholar] [CrossRef]
- Sen, P.K. Estimates of the Regression Coefficient Based on Kendall’s Tau. J. Am. Stat. Assoc. 1968, 63, 1379–1389. [Google Scholar] [CrossRef]
- Odériz, I.; Silva, R.; Mortlock, T.R.; Mori, N. El Niño-Southern Oscillation Impacts on Global Wave Climate and Potential Coastal Hazards. J. Geophys. Res. Ocean 2020, 125, e2020JC016464. [Google Scholar] [CrossRef]
- Smith, S.A.; Barnard, P.L. The impacts of the 2015/2016 El Niño on California’s sandy beaches. Geomorphology 2021, 377, 107583. [Google Scholar] [CrossRef]
- Chen, S.; Wu, R. Impacts of winter NPO on subsequent winter ENSO: Sensitivity to the definition of NPO index. Clim. Dyn. 2018, 50, 375–389. [Google Scholar] [CrossRef]
- White, N.J.; Haigh, I.D.; Church, J.A.; Koen, T.; Watson, C.S.; Pritchard, T.R.; Watson, P.J.; Burgette, R.J.; McInnes, K.L.; You, Z.-J.; et al. Australian sea levels—Trends, regional variability and influencing factors. Earth-Sci. Rev. 2014, 136, 155–174. [Google Scholar] [CrossRef]
- Young, I.R.; Zieger, S.; Babanin, A.V. Global Trends in Wind Speed and Wave Height. Science 2011, 332, 451–455. [Google Scholar] [CrossRef]
- Ding, Y.; Yu, J.; Cheng, H. Long-term wave climate characteristics and potential impacts on embayed beaches along the west Guangdong coastline. Reg. Stud. Mar. Sci. 2019, 30, 100741. [Google Scholar] [CrossRef]
- Li, S.; Lv, B.; Yang, Y.; Yang, Y.; Wang, C. Effects of offshore artificial islands on beach stability of sandy shores: Case study of Hongtang Bay, Hainan Province. Front. Earth Sci. 2022, 16, 876–889. [Google Scholar] [CrossRef]
- Tian, X.; Li, C. The environmental disruption and transformation of Xiaohai Lagoon in Hainan. Mar. Environ. Sci. 2007, 26, 91–94. [Google Scholar]
- Regard, V.; Almar, R.; Graffin, M.; Carretier, S.; Anthony, E.; Ranasinghe, R.; Maffre, P. The contribution of diminishing river sand loads to beach erosion worldwide. Nat. Hazards Earth Syst. Sci. Discuss. 2023, 1–24. [Google Scholar] [CrossRef]
- Harris, D.L.; Rovere, A.; Casella, E.; Power, H.; Canavesio, R.; Collin, A.; Pomeroy, A.; Webster, J.M.; Parravicini, V. Coral reef structural complexity provides important coastal protection from waves under rising sea levels. Sci. Adv. 2018, 4, eaao4350. [Google Scholar] [CrossRef] [PubMed]
- Fu, G.; Cao, C.; Fu, K.; Song, Y.; Yuan, K.; Wan, X.; Zhu, Z.; Wang, Z.; Huang, Z. Characteristics and evaluation of coastal erosion vulnerability of typical coast on Hainan Island. Front. Mar. Sci. 2022, 9, 1061769. [Google Scholar] [CrossRef]























| Typical Coastal Structure | Location | Construction Time |
|---|---|---|
| Coral Artificial Island | Northern Boao (Figure 1c) | 2011 |
| Xiaohai Breakwater | South of the Xiaohai Lagoon inlet (Figure 1e) | 2013 |
| Xiaohai Artificial Dike | North of the Xiaohai Lagoon inlet (Figure 1e) | 1972 |
| Satellite | Sensor | Time Coverage | Spatial Resolution | Temporal Resolution | Bands |
|---|---|---|---|---|---|
| Landsat 5 | TM | 1994–2011 | 30 m | 16 days | R, G, B, NIR, SWIR1 |
| Landsat 7 | ETM+ | 1999–2023 | 30 m | 16 days | R, G, B, NIR, SWIR1, Pan |
| Landsat 8 | OLI | 2013–2023 | 30 m | 16 days | R, G, B, NIR, SWIR1, Pan |
| Sentinel-2 | MSI | 2015–2023 | 10 m | 5 days | R, G, B, NIR, SWIR1 |
| Descriptive Statistics | Xiaohai | HZ | Yudaitan | Boao | Total |
|---|---|---|---|---|---|
| Transect-ID | 1–104 | 105–319 | 320–433 | 434–529 | 1–529 |
| Total number of transects | 104 | 215 | 114 | 96 | 529 |
| Length of shoreline (km) | 10.4 | 21.5 | 11.4 | 9.6 | 52.9 |
| Total number of transects where erosion was recorded | 69 | 42 | 83 | 43 | 237 |
| Total number of transects where accretion was recorded | 35 | 173 | 31 | 53 | 292 |
| % of total number of transects where erosion was recorded | 66.35 | 19.53 | 72.81 | 44.79 | 44.8 |
| % of total number of transects where accretion was recorded | 33.65 | 80.47 | 27.19 | 55.21 | 55.2 |
| Mean NSM (m) | −1.97 | 14.33 | −15.61 | −5.99 | 0.99 |
| Maximum NSM (m) | 75.87 | 47.03 | 39.38 | 99.11 | 99.11 |
| Minimum NSM (m) | −20.7 | −35.44 | −80.06 | −134.31 | −134.31 |
| Mean shoreline change (m/year) | 0 | 0.55 | −0.77 | −0.14 | 0.03 |
| Maximum erosion rate (m/year) | −0.46 | −1.33 | −2.37 | −5.4 | −5.4 |
| Maximum accretion rate (m/year) | 4.18 | 1.81 | 0.63 | 4.08 | 4.18 |
| Mean erosion rate (m/year) | −0.23 | −0.47 | −1.18 | −1.16 | −0.77 |
| Standard deviation of erosion rate (m/year) | 0.12 | 0.39 | 0.7 | 1.33 | 0.84 |
| Mean accretion rate (m/year) | 0.45 | 0.8 | 0.32 | 0.68 | 0.68 |
| Standard deviation of accretion rate (m/year) | 0.77 | 0.46 | 0.21 | 0.98 | 0.63 |
| Hs | Tp | P | Hd | P95 | Hd95 | ||
|---|---|---|---|---|---|---|---|
| MEI | Pearson correlation | −0.666 ** | −0.151 | −0.619 ** | 0.501 ** | −0.365 * | 0.019 |
| Sig.(2-tailed) | <0.001 | 0.426 | <0.001 | 0.005 | 0.047 | 0.923 |
| Hs | Tp | P | Hd | P95 | Hd95 | ||
|---|---|---|---|---|---|---|---|
| Cross-shore distance | Pearson correlation | −0.407 * | −0.026 | −0.384 * | 0.565 ** | 0.151 | 0.180 |
| Sig.(2-tailed) | 0.026 | 0.893 | 0.036 | 0.001 | 0.427 | 0.341 |
Disclaimer/Publisher’s Note: The statements, opinions and data contained in all publications are solely those of the individual author(s) and contributor(s) and not of MDPI and/or the editor(s). MDPI and/or the editor(s) disclaim responsibility for any injury to people or property resulting from any ideas, methods, instructions or products referred to in the content. |
© 2024 by the authors. Licensee MDPI, Basel, Switzerland. This article is an open access article distributed under the terms and conditions of the Creative Commons Attribution (CC BY) license (https://creativecommons.org/licenses/by/4.0/).
Share and Cite
Xu, W.; Chen, S.; Ji, H.; Hu, T.; Zhong, X.; Li, P. Dynamics of Sandy Shorelines and Their Response to Wave Climate Change in the East of Hainan Island, China. J. Mar. Sci. Eng. 2024, 12, 1921. https://doi.org/10.3390/jmse12111921
Xu W, Chen S, Ji H, Hu T, Zhong X, Li P. Dynamics of Sandy Shorelines and Their Response to Wave Climate Change in the East of Hainan Island, China. Journal of Marine Science and Engineering. 2024; 12(11):1921. https://doi.org/10.3390/jmse12111921
Chicago/Turabian StyleXu, Wei, Shenliang Chen, Hongyu Ji, Taihuan Hu, Xiaojing Zhong, and Peng Li. 2024. "Dynamics of Sandy Shorelines and Their Response to Wave Climate Change in the East of Hainan Island, China" Journal of Marine Science and Engineering 12, no. 11: 1921. https://doi.org/10.3390/jmse12111921
APA StyleXu, W., Chen, S., Ji, H., Hu, T., Zhong, X., & Li, P. (2024). Dynamics of Sandy Shorelines and Their Response to Wave Climate Change in the East of Hainan Island, China. Journal of Marine Science and Engineering, 12(11), 1921. https://doi.org/10.3390/jmse12111921
