Abstract
Underwater navigation practice shows that the long baseline survey has the characteristics of coplanar configuration, flat geometry, and large refraction error, which brings challenges to underwater positioning. To address this challenge, this paper proposes a high-precision real-time range-difference location algorithm based on underwater long baseline measurement. Firstly, the system error sources of long baseline positioning are analyzed in detail, the propagation models of different system errors are constructed, and the effects of system error sources on the rangefinder are described. Secondly, the limitations of traditional range iterative location algorithms and geometric analytic location algorithms in long baseline locations are analyzed. Then, using the strategy of converting the long baseline range information into the distance difference information, a high-precision real-time distance difference location algorithm based on long baseline measurement is presented. Finally, the feasibility of the algorithm is analyzed from the perspective of precision analysis. Numerical simulation results show that compared with the two traditional long-baseline positioning algorithms, the proposed algorithm has higher positioning accuracy and potential application value in the field of underwater real-time positioning.
1. Introduction
Navigation refers to the process of computing the target position and other states based on tracking data. The external trajectory tracking system has progressively evolved from the optical measurement system of the 1950s and 1960s to modern systems such as radio measurement (e.g., monopulse radar and continuous wave radar), multi-station systems (e.g., interferometer and multi-station velocity measurement), and space-based systems (e.g., satellite navigation) [1,2]. In the new millennium, advancements have included total velocity measurement, unified measurement and control, underwater multi-baseline measurement, and cross-domain systems [3,4,5,6]. Recent developments in underwater acoustic positioning, inertial navigation, and broadband signal processing technologies have enabled systems like Sonardyne (UK), Kongsberg (Norway), and iXBlue (France) to achieve accuracies below the meter level, often reaching the decimeter level [7]. Figure 1 illustrates the evolution of target location systems and algorithms, providing a visual summary of these advancements.
Figure 1.
Target location system and algorithm development diagram.
The application of unmanned underwater vehicles (UUVs) in seabed mapping, marine biology research, and environmental monitoring has grown significantly. In deep-sea missions, precise autonomous navigation is crucial [8,9,10,11]. The acoustic positioning system (APS) is essential for these tasks, calculating UUV positions by analyzing the propagation time of underwater sonar signals to avoid error accumulation [12,13]. APS types include long baseline (LBL), short baseline (SBL), and ultra-short baseline (USBL), with LBL systems noted for their high precision over large areas. Transmission delays in LBL systems can impact accuracy, especially for underwater vehicles.
Recent work includes Batista et al. [14] introducing an LBL positioning filter that incorporates range measurements to avoid inversion algorithms. Jin et al. [15] analyzed stochastic modeling for IGS long-baseline positioning, emphasizing modified models for accurate height estimations. Yeh et al. [16] investigated frequency reference impacts on GPS positioning accuracy. Yan et al. [17,18] developed algorithms addressing uncertain sound speeds and optimal buoy distances for LBL systems. Zhang et al. [8] proposed a method using LBL systems combined with GPS outputs, while Gao et al. [19] introduced a combined RTK positioning method for LBL. Sun et al. [20] discussed LBL system limitations and proposed an inverted USBL model for UUVs.
Despite advancements, LBL positioning systems face challenges due to long travel distances of underwater acoustic signals, leading to potential interference and accuracy issues in complex marine environments [21,22,23,24]. Error modeling and identification in LBL systems are divided into real-time and post-processing data. Real-time processing uses current and past data to determine location, while post-processing involves error correction based on data collected throughout the task. Real-time corrections face higher requirements and challenges due to the limited data available [25,26,27].
Traditional iterative location algorithms based on distance measurements are fast but often fail to account for system errors, affecting accuracy. This paper proposes a high-precision real-time distance difference localization algorithm based on LBL, leveraging error approximation from similar signal propagation paths under identical conditions. The main contributions of this study are as follows:
1. In complex marine environments, influenced by factors such as subsurface salinity, temperature, and ocean current changes, accurate modeling of systematic errors becomes a key challenge. In this paper, the sources of systematic errors in LBL positioning technology are systematically analyzed, and the influence mechanism of systematic errors on range-finder accuracy is described by establishing a detailed propagation model;
2. It reveals the limitations of traditional range iterative location algorithms and geometric analytic location algorithms when dealing with a large water area and complex environment. It is mainly reflected in the deduction of system errors and the layout geometry;
3. Guided by the concept of improving positioning accuracy, this paper innovatively proposes the strategy of converting LBL ranging information into distance difference information. Through the introduction of this technology, a high-precision real-time distance difference positioning algorithm based on LBL is successfully developed. After detailed accuracy analysis and verification, the algorithm has significant advantages and application potential in providing real-time high-precision positioning information.
The organization of this paper is as follows: Section 2 details the development of the error model for the underwater LBL measurement system. Section 3 critically examines the limitations of conventional range iterative and geometric analytic location algorithms in the context of underwater LBL positioning. Section 4 introduces a novel high-precision real-time distance difference positioning algorithm based on LBL technology and provides an analysis of its accuracy. In Section 5, a comparative evaluation of the proposed algorithm versus traditional LBL positioning methods is conducted through numerical simulation experiments. Finally, Section 6 presents a summary of the principal findings and conclusions derived from this study.
2. Error Modeling of Underwater LBL Measurement System
The test process for the LBL acoustic positioning system involves three key stages: sound velocity acquisition, LBL calibration, and target positioning. Sound velocity acquisition entails measuring the speed of sound in the underwater environment, which is essential for accurate distance calculations. LBL calibration involves fine-tuning the system to correct for any errors and ensure reliable performance. Target positioning uses the calibrated system to determine the precise location of objects within the monitored area. Figure 2 provides a schematic representation of the information flow and interactions during these testing stages.
Figure 2.
Interactive schematic of underwater LBL acoustic positioning.
(1) Sound Velocity Acquisition: This preliminary step is crucial for accurate positioning and is completed before the main positioning task. It involves utilizing a sound velocity profile (SVP) to measure the speed of sound at various water depths. The measurements, denoted as , represent sound velocities at corresponding depths. For the purpose of the positioning calculations, the equivalent sound velocity is often determined by averaging these measurements, providing a representative value for the environment.
(2) LBL Calibration: This step, conducted prior to positioning, is essential for ensuring the accuracy of the LBL system. The calibration process begins with using a GNSS receiver to determine the precise location of the calibration ship. These GNSS data yield the ship’s exact position and provide the address of the calibration station. LBL hydrophones, which are fixed to the seafloor, are then calibrated based on the GNSS-derived location of the ship and the measured distance from the ship to the first LBL hydrophone. This calibration process results in accurate coordinates for underwater LBL stations, denoted as .
(3) Target Positioning: This step is executed in real-time or according to the timing requirements of the positioning task. Utilizing calibrated LBL stations, the system measures the distance from the target to each LBL station. By integrating the data from the hydrophones and the calibrated LBL stations, the system can also track changes in the distance between the target and the LBL stations, allowing for precise and dynamic positioning of the target within the monitored area.
The focus of this paper is in the third part; that is, target positioning. The known station location and the target location to be estimated under the LBL positioning system are recorded as both of them satisfy the theoretical ranging equation as follows:
In practical applications, the LBL positioning system is interfered with by many kinds of errors, which directly affect the stability and accuracy of positioning accuracy. Therefore, in-depth analysis of the sources and characteristics of these errors has become a crucial step to improve positioning accuracy. The error sources include but are not limited to the multipath effect in the underwater acoustic propagation path, the spatiotemporal variation of the acoustic velocity profile, the underwater acoustic sensor calibration error, and the calculation error of the solution model itself. Each error has its specific physical background and mathematical expression. In this section, the error modeling of the LBL positioning system is carried out through detailed analysis, which provides a basis for the subsequent improvement of the LBL positioning algorithm.
2.1. Timing System Error
Time measurement system error, also known as clock error, often refers to the filtering delay caused by the combined action of the system transducer and all levels of the circuit. In active measurement, the target transmits the signal, and after time t, the station receives the acoustic signal. If c is the speed of sound, the distance between the target and the station is as follows:
Before the test, the zero of the sensor clock and the target clock can be considered to be the same through zero correction. In the test, there is a clock difference between the target and the sensor, and the resulting distance error is , then Equation (2) can be written as follows:
The equivalent ranging error of the system error during measurement is ; therefore, the following is true:
2.2. Sound Velocity System Error
Due to the energy loss caused by sound wave propagation in the complex seawater environment, the sound velocity in water is a comprehensive function of depth, temperature, and salinity affected by environmental factors. Before the test, a sound velocity gradiometer is used to measure the sound velocity corresponding to different water depths, i.e., , to obtain the average sound velocity c. There is space–time variability between the average sound velocity in the test and before the test, resulting in the systematic error of sound velocity, and the resulting distance error is also recorded as follows:
The equivalent ranging error of recording sound velocity system error is ; therefore, the following is true:
If there are systematic errors in measuring time and sound velocity at the same time, and the time error is , the sound velocity error is . When and are combined into , we obtain the following:
Ignoring higher-order term allows us to obtain the following:
2.3. Refraction System Error
The inhomogeneity of the underwater environment will change the propagation path of sound waves, resulting in refraction. The linear distance between the target and the sensor is , the actual refraction path length is , and the equivalent refraction system error is .
As shown in Figure 3, the height of different water layers in the sound velocity profile is , respectively, the corresponding grazing angle of a sound wave is , the corresponding speed of a sound wave is , and the refraction follows Snell’s law as follows:
Figure 3.
Refraction diagram of a sound wave.
As shown in Figure 4, the law of refraction states that the deeper the water, the smaller the sound velocity c, the smaller the cosine , and the larger the corresponding grazing angle a.
Figure 4.
Underwater acoustic profile.
If the ranging time of the i-th underwater acoustic sensor is , the refraction path length from target to sensor in Equation (9) can be expressed as follows:
where c represents the underwater speed of sound. If a sound velocity profile, denoted as , is obtained, the sound velocity c used in Equation (11) can be computed using the weighted sound velocity method.
where H is the total depth (see the schematic diagram of the underwater acoustic profile), is the depth of the j-th layer, and is the sound velocity value of the j-th layer. In particular, if , then the following is true:
The sound velocity profiler can measure the depth and sound velocity of the layered medium, and the measurement accuracy of sound velocity is recorded as . If the initial grazing angle cosine and vertical distance H are known, the refraction path, the total length of the broken line R, and the horizontal distance S can be obtained by the algorithm.
2.4. Site Error of Standard School Station
Assuming that the station site is obtained by calibration before the test and is fixed, the station site error can be considered as a constant systematic error, which contains three directions, and it is difficult to estimate the three components at the same time. For LBL positioning, because the target is far from the sensor, the direction cosine changes little, so the station site error can be equivalent to the ranging error as follows:
At this time, the problem of estimating can be transformed into the problem of estimating . The parameters to be estimated are changed from 3 to 1, and the robustness of parameter estimation can be improved by reducing the parameters. It should be noted that since the direction cosine is a unit vector, the equivalent ranging error caused by the station location error will not be greater than the station location error itself:
2.5. Comprehensive Error Model
On the basis of analyzing errors, it is necessary to take corresponding technical means to suppress and correct these errors to improve the overall positioning accuracy of the system. Therefore, the concept of system error equivalent quantization is introduced, which has a guiding significance for the solution of LBL positioning. Under different measurement conditions, the dominant system error is different, and the characteristics of the system error are also different, as shown in Table 1.
Table 1.
Dominant system error and its characteristics.
The equivalent ranging errors caused by system errors are divided into the following three types:
The first type of error is denoted as : constant systematic errors, such as time-measuring systematic errors and static station location errors, can be regarded as constant systematic errors, and the measurement model obtained after combining errors is as follows:
The second type of error is denoted as : systematic errors can vary with distance, such as equivalent sound velocity errors. The model obtained after combining the errors is as follows:
The third type of error is denoted as : systematic errors can vary with distance and grazing angle, such as refraction system errors. If the target rises vertically in shallow water, the grazing angle is mainly determined by the celestial coordinate. The model obtained after combining the errors is as follows:
In summary, the following equivalent system error model is obtained as follows:
The above equation shows that the equivalent error is composed of systematic error related to distance, depth, and constant systematic error.
3. Limitation Analysis of the Traditional Algorithm
3.1. Range Iterative Positioning the Algorithm and Its Limitations
The theoretical ranging Equation (1) for LBL positioning can essentially be expressed as the modulus of the difference between two vectors:
The cosine vector of the direction from the acoustic sensor to the target is as follows:
The observed value of is , and the measuring element vector is as follows:
The measuring equations of LBL positioning are as follows:
The expression is shown in Equation (20). Due to the station location error and ranging error in the positioning system, the equation set is generally contradictory. The Jacobian matrix of the long-baseline positioning measurement equation set is as follows:
According to the principle of nonlinear least squares estimation, for a given initial estimation , a stable estimation of the position vector can be obtained by the Gauss–Newton iteration equation. The expression of nonlinear iterative positioning is as follows:
In underwater positioning, the observation form formed by the target and the station is three-dimensional, and the observation geometry is usually good, so the traditional determination iterative positioning algorithm is stable in the calculation. However, its limitation lies in that the algorithm does not consider the systematic error deduction algorithm, and the constant measurement error and refraction systematic error contained in Equation (22) have a great influence on the positioning error. In addition, when the target is close to the seabed, the observation is geometrically flat, which further magnifies the positioning error. In fact, the LBL positioning error transfer equation is obtained by differentiating the theoretical ranging Equation (1).
Among them, the distance error vector is when the geometric distance between the range element and the underwater acoustic element to the target is . The GDOP for distance difference positioning based on LBL is denoted as follows:
In short, the overall observation geometry of the range iterative legal location algorithm is better, but the extreme observation geometry is worse. However, this algorithm does not consider the deduction of systematic error, which leads to a large final positioning error. In order to overcome the problem of systematic error deduction, the geometric analytic positioning algorithm is introduced below.
3.2. Geometric Analytic Positioning Algorithm and Its Limitations
According to the theoretical ranging Equation (20) and the definition of vector mode, note the following:
Subtract from to obtain the following:
The above equation can be written as follows:
According to the principle of least squares estimation, the expression of geometric analytic legal bits can be obtained as follows:
The geometric analytic positioning algorithm can use the subtraction of and to deduct most of the system errors, but the limitation of the algorithm is that all the stations are on the seabed, the configuration of the stations is almost coplanar, and the geometry of the stations is poor, resulting in a large number of conditions in matrix , and the positioning results are very unstable.
In fact, according to the singular value decomposition theorem, there are orthogonal square matrices , orthogonal matrices , and diagonal matrices , and :
The above equation is called the singular value decomposition of the invertible matrix and the singular value of . If the error caused by measurement is , and the positioning error caused by measurement error is denoted as , the two sides of Equation (30) are differentiated to obtain the following:
In other words,
On the one hand, from the operator norm inequality, we obtain the following:
On the other hand, using the orthogonality of and , substituting into (34) yields the following:
When the measurement error is exactly the last column of , that is, the vector corresponding to the least singular value , using the orthogonality of and we can obtain the following:
Equation (37) shows that the measurement error is transferred to the positioning error, is the upper bound of the error magnification, is the upper bound of the error magnification, and is the absolute condition number of the design matrix .
In summary, while the geometric analytic algorithm employs a non-iterative linear solution approach, which offers rapid computation and utilizes the square difference method to substantially mitigate the impact of systematic errors on positioning, it is still hindered by its sensitivity to measurement errors and the geometric configuration of the layout. This sensitivity, exacerbated by the planar arrangement, results in compromised positioning accuracy. To address these limitations, particularly the challenges associated with systematic error correction, geometric flatness under extreme observation conditions, and suboptimal geometry inherent to the geometric analytic method, this paper introduces a novel distance difference positioning algorithm. This new algorithm is specifically designed to overcome these issues, providing a more robust solution for accurate positioning by minimizing the influence of both systematic errors and adverse geometric conditions.
4. A Novel Distance Difference Iterative Localization Algorithm and Its Accuracy Analysis
The preceding analysis highlights that traditional iterative ranging algorithms often fail to account for systematic error correction, while geometric analytic methods exhibit high sensitivity to the geometry of the distribution stations. To address these issues, this section introduces a novel LBL location algorithm based on the distance difference iterative method. This new algorithm is designed to effectively correct systematic errors and demonstrate reduced sensitivity to the geometric configuration of the distribution stations. Unlike the time difference positioning algorithms, which can be considered as a “reversed” form of satellite positioning techniques, this new method offers distinct advantages. The comparative characteristics of these three different algorithms are summarized and presented in Table 2, highlighting their respective features and performance metrics.
Table 2.
The differences and advantages of the three algorithms in error suppression ability, application scenarios, and so on (“o” means exist, “×” means do not exist).
4.1. Distance Difference Equation and Its Iterative Process
The distance difference positioning algorithm is applied to eliminate the influence of system error, and its theoretical measurement equation is as follows:
The observed value of is , and the distance difference vector is as follows:
The distance difference equations based on LBL are denoted as follows:
Since there are station location errors and ranging errors in the positioning system, the equation set is generally contradictory. The Jacobian matrix of the positioning equation based on the distance difference of the LBL is denoted as follows:
The residual difference between the observed value and the theoretical value is as follows:
According to the principle of nonlinear least squares estimation, for a given initial estimator , a stable estimate of the position vector can be obtained by the Gauss–Newton iterative equation. The expression of distance difference positioning based on LBL is as follows:
According to the principle of generalized least squares estimation, when the observed noise is not independent or does not follow the same distribution, the covariance matrix of the observed noise is , then the iterative equation is changed to the following:
is a positive real number not greater than 1, which is used to adjust the step size so that the modulus of the residual before and after iteration satisfies the descending relation.
4.2. Precision Analysis of the Distance Difference Iterative Localization Algorithm
In order to quantify the positioning error of the target to be measured, the theoretical measurement Equation (38) is differentiated, and the long-baseline positioning error transfer equation is obtained.
where the error vector of the distance difference is , the station address error caused by the inaccurate calibration of underwater acoustic elements is , and is a quasi-diagonal matrix composed of the direction vector, which satisfies the following:
This paper does not consider the problem of station location error suppression for the time being, so Equation (46) becomes the following:
According to the norm inequality, the following is true:
The GDOP for distance difference positioning based on LBL is denoted as follows:
In the planar symmetrical station configuration, the elevation based on is the same as the distance from different sensor elements to the target, and the path through which the acoustic signal passes is similar, so the corresponding system error parameter is also equivalent. According to Equation (19), it can be obtained as follows:
The iterative positioning algorithm for LBL distance measurement is algorithm 1, the geometric analytic positioning algorithm for LBL is algorithm 2, and the distance difference positioning algorithm based on LBL proposed in this paper is algorithm 3. The essential steps of the algorithm introduced in this article are outlined in Algorithm 3.
In addition, using the algorithm proposed in this paper requires setting a tolerance for the precision requirement, e. Typically, the following factors are considered. Application scenario: Determine precision requirements based on specific applications (e.g., localization and measurement). If the application demands higher precision, e should be set smaller. Data noise: Choose an appropriate tolerance value based on the system’s noise level. If noise is higher, e can be relaxed. Computational capacity: A smaller e will lead to more iterative computations, possibly requiring higher computational power. If computational resources are limited, a slightly larger e may be chosen. algorithm convergence: Ensure that the algorithm can effectively converge with the chosen e. A very small e may lead to non-convergence or slow convergence rates.
| Algorithm 3 Precision analysis of the distance difference iterative localization algorithm |
Input: , m, e; Output: ;
|
This implies that the distance difference approach effectively mitigates the majority of systematic errors inherent in traditional positioning methods. By leveraging this technique, the algorithm can avoid scenarios where the layout geometry approaches coplanarity, and the observation geometry encounters extreme conditions. Consequently, the proposed LBL distance difference iterative positioning algorithm offers substantial improvements over conventional algorithms. It addresses and overcomes their inherent limitations, thereby achieving enhanced positioning accuracy. This advancement is particularly notable in environments where precision is critical, as it reduces susceptibility to errors and enhances overall reliability in positioning applications.
5. Numerical Simulation
5.1. Simulation Design
In order to verify the effectiveness and reliability of the proposed algorithm, numerical simulation tests are carried out. Firstly, MATLAB(R2023b) code is used to simulate and generate the seabed topography and visualize it. Multiple mountains and abysses were randomly generated, and the location, height, and width of each feature were randomly determined to simulate the real seabed topography. The simulation experiment is represented in the “XYZ-O” coordinate system, and the simulated submarine topographic map is shown in the Figure 5.
Figure 5.
Simulated submarine topographic map.
Assume that the number of underwater sound sensors laid is . Let six underwater sound sensors be evenly distributed on the side of a rectangle with a formation shape of 2000 m long and 1000 m wide. The real coordinates of the six sensors in the “XYZ-O” coordinate system are shown in Table 3.
Table 3.
Location coordinates of underwater acoustic elements (no calibration error).
MATLAB code is used to design a three-dimensional motion trajectory of an AUV diving from the initial position on the sea surface to the execution position and then to the end position . The AUV moves underwater at a fixed speed of 2 m/s and records its position as a theoretical truth at a sampling frequency of 20 times per second for a total of 23,660 sampling points. The relative position of the target motion track and the underwater acoustic element is shown in the Figure 6.
Figure 6.
The relative relation between target motion trajectory and underwater acoustic element.
The element error is considered in the simulation experiment condition, and the site error is not considered. Among them, the measured error includes random error and systematic error. The random error of the probe error follows the normal distribution with a mean of 0 and a standard deviation of 0.1 m, and the constant systematic error is 1 m. The systematic error varying with distance and grazing Angle is positively correlated with water depth and propagation distance, with a maximum of 1 m.
The observed residual (OC) is the difference between observed values and calculated values, which can be used as an index to measure the difference between the predicted value and the real value of the model, which can effectively measure the prediction deviation of the model at different data points and intuitively express the accuracy of the algorithm. In this paper, OC is used as the performance criterion of the algorithm.
If the calculated value of the target position is , the OC expression is as follows:
5.2. Simulation Results
Figure 7 is the schematic diagram of the range element obtained by each underwater acoustic sensor under the simulation experimental conditions.
Figure 7.
Distance infographic for LBL positioning. (a) Information graph of distance from each station to the target. (b) Local distance from each station to the target.
Figure 8 is a schematic diagram of LBL positioning distance difference under simulation experiment conditions.
Figure 8.
Distance difference infographic for LBL positioning.
Figure 9.
All directions and total OC of algorithm 1.
Figure 10.
All directions and total OC of algorithm 2.
Figure 11.
All directions and total OC of algorithm 3.
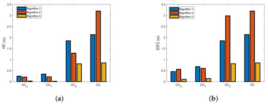
Figure 12 compares the OC mean and the absolute mean of the three algorithms.
Figure 12.
Comparison of the OC mean and absolute mean of three algorithms. (a) The mean OC of three algorithms. (b) The OC absolute mean of three algorithms.
Take 20 sampling points near the task point (14991–15010 sampling points) of UUV underwater navigation, and carry out a comparative analysis of errors of various algorithms. Let be the errors in all directions and the total errors of algorithm 1, algorithm 2, algorithm 3, with similar naming rules.
Based on the analysis presented in Figure 9, Figure 10 and Figure 11 and Table 4, algorithm 1 demonstrates relatively minor errors in the X and Y directions, characterized by discernible trend components. However, it exhibits significant errors in the Z direction, which is notably influenced by systematic errors, thereby revealing a clear trend of error exacerbation in this dimension. Conversely, algorithm 2 shows relatively small errors in the X and Y directions with trend terms present, while it suffers from substantial errors in the Z direction, which constitutes the predominant portion of the overall error. In contrast, algorithm 3 features relatively small errors in the X and Y directions without the presence of trend components and maintains a stable error magnitude near zero. Although algorithm 3 still experiences considerable errors in the Z direction, these are substantially reduced in comparison to the errors observed with algorithms 1 and 2.
Table 4.
Comparison of all directions and total OC of the three algorithms (14991–15010 sampling points).
Figure 12 further corroborates that the mean errors in the X and Y directions for algorithm 3 approach zero, aligning closely with the true values. While some deviation remains in the Z direction, it is markedly diminished compared to the deviations observed with algorithms 1 and 2. Utilizing the absolute mean as a metric for precision, the absolute mean values of algorithms 1, 2, and 3 are calculated as 2.13 m, 3.20 m, and 0.85 m, respectively. This indicates that the proposed algorithm achieves a 60.09 percent improvement in accuracy over algorithm 1 and a 73.44 percent improvement relative to algorithm 2.
The observed discrepancies in accuracy at certain sampling points for the proposed algorithm, compared to algorithm 2, are analyzed further under the experimental conditions. This analysis incorporates the examination of GDOP variation trends relative to UUV motion in both range-ranging and range-difference positioning systems. Such an examination provides a deeper understanding of the positional accuracy variations and underscores the need for continuous refinement of positioning algorithms to address systematic errors and optimize performance in practical applications.
Figure 13 shows that the GDOP of the range-difference positioning system is higher compared to the range-distance positioning system. Additionally, Figure 13 reveals that the amplification of random error is greater in the range-distance system, which explains the proposed algorithm’s slightly lower accuracy compared to algorithm 1.
Figure 13.
Comparison of GDOP changes with UUV movement under two systems. (a) Variation of GDOP with UUV motion in range-locating system. (b) Variation of GDOP with UUV motion in range-difference positioning system.
Further analysis under the experimental conditions clarifies why some sampling points of the proposed algorithm exhibit less accuracy than algorithm 2. This examination includes the evaluation of GDOP variation trends for range and distance difference positioning systems relative to UUV motion.
Figure 14 and Figure 15 demonstrate that the GDOP distribution of the range-difference positioning system is ellipsoidal with a concave middle, suggesting a relatively uniform distribution that requires minimal adjustments to the UUV’s motion trajectory. Conversely, the GDOP distribution for the range-distance positioning system shows larger values at the sides and smaller values in the middle, with a noticeable depression. This indicates that the UUV’s motion trajectory should ideally align with the GDOP’s wider sides to optimize positioning accuracy.
Figure 14.
The relationship between GDOP and measured depth in the range-locating system. (a) Three-dimensional topographic map of GDOP (depth: 0 m). (b) Two-dimensional contours of the GDOP (depth: 0 m). (c) Three-dimensional terrain map from GDOP (depth: −400 m). (d) Two-dimensional contours of the GDOP (depth: −400 m). (e) Three-dimensional terrain map from GDOP (depth: −800 m). (f) Two-dimensional contours of the GDOP (depth: −800 m).

Figure 15.
The relationship between GDOP and measured depth in the range-difference positioning system. (a) Three-dimensional topographic map of GDOP (depth: 0 m). (b) Two-dimensional contours of the GDOP (depth: 0 m). (c) Three-dimensional terrain map from GDOP (depth: −400 m). (d) Two-dimensional contours of the GDOP (depth: −400 m). (e) Three-dimensional terrain map from GDOP (depth: −800 m). (f) Two-dimensional contours of the GDOP (depth: −800 m).
6. Conclusions
The complex marine environment poses significant challenges for underwater LBL positioning due to systematic errors that affect sound wave propagation, leading to lower accuracy in traditional distance measurement methods. Traditional geometric analysis positioning algorithms often struggle with high sensitivity to measurement errors, especially when the station layout is close to a planar configuration. In response to these challenges, this article introduces a novel systematic error model for underwater LBL measurements and proposes a high-precision, real-time distance difference positioning algorithm. The theoretical accuracy analysis and numerical simulations demonstrate that the proposed algorithm has reduced geometric layout requirements compared to conventional LBL positioning methods. This algorithm effectively accommodates station layouts on relatively flat seabed terrains, mitigates system errors, and enhances real-time positioning accuracy.
The main contributions of this work are the development of a systematic error model and a new distance difference positioning algorithm that offers improved accuracy and flexibility in various underwater acoustic positioning scenarios. The potential applications of this research extend to real-world underwater acoustic positioning systems, where improved accuracy and adaptability can enhance operational efficiency and reliability. To further enhance precision, we propose several future research directions:
1. Integration of surface sensors: Incorporating sensors on the water surface could mitigate geometric layout discrepancies, thereby improving the overall accuracy of positioning systems, especially in the Z-direction.
2. Development of a spline-based EMBET algorithm: Introducing spline-based error minimization based on an error tracking (EMBET) algorithm could advance error detection and correction capabilities, leading to more accurate positioning.
3. Utilization of visualized volume accuracy condition numbers: Leveraging visualized volume accuracy condition numbers can optimize path planning and decision-making processes. This approach has the potential to enhance the system’s adaptability and performance across diverse underwater environments.
These proposed approaches offer promising avenues for future research and development, aiming to refine positioning accuracy and system effectiveness in complex aquatic settings.
Author Contributions
Conceptualization, data curation, formal analysis, investigation, methodology, software, validation, visualization, writing—original draft, writing—review and editing, H.C.; conceptualization, formal analysis, investigation, methodology, project administration, supervision, writing—original draft, writing—review and editing, Z.H.; funding acquisition, project administration, resources, supervision, writing—review and editing, J.W.; project administration, supervision, X.Z.; project administration, supervision, writing—review and editing, B.H. All authors have read and agreed to the published version of the manuscript.
Funding
This work was supported by the National Natural Science Foundation of China (No. 62203458) 396 and the National Key R&D Program of China (No. 2020YFA0713502).
Institutional Review Board Statement
Not applicable.
Informed Consent Statement
Not applicable.
Data Availability Statement
Data are contained within the article.
Conflicts of Interest
The authors declare no conflicts of interest.
References
- Xing, Y.; He, Z.; Wang, J.; Zhou, X.; Chen, Y.; Pan, X. TOA positioning algorithm of LBL system for underwater target based on PSO. J. Syst. Eng. Electron. 2023, 34, 1319–1332. [Google Scholar]
- Lu, Y.; Wang, J.; Zhou, H.; Wang, D.; Xing, Y.; He, Z. Station layout optimization for underwater acoustic positioning system based on combined cone configuration. Ocean Eng. 2024, 294, 116753. [Google Scholar] [CrossRef]
- Lan, H.; Lv, Y.; Jin, J.; Li, J.; Sun, D.; Yang, Z. Acoustical Observation With Multiple Wave Gliders for Internet of Underwater Things. IEEE Internet Things J. 2021, 8, 2814–2825. [Google Scholar] [CrossRef]
- Zhu, L.; Liu, Y.; He, D.; Guan, K.; Ai, B.; Zhong, Z.; Liao, X. An efficient target detection algorithm via Karhunen-Loève transform for frequency modulated continuous wave (FMCW) radar applications. IET Signal Proc. 2022, 16, 800–810. [Google Scholar] [CrossRef]
- Yang, Y.; Wang, X.; Wu, X.; Lan, X.; Su, T.; Guo, Y. A Robust Target Detection Algorithm Based on the Fusion of Frequency-Modulated Continuous Wave Radar and a Monocular Camera. Remote Sens. 2024, 16, 2225. [Google Scholar] [CrossRef]
- Tianyi, C.; Bo, D.; Weibo, H. Super-resolution parameter estimation of monopulse radar by wide-narrowband joint processing. J. Syst. Eng. Electron. 2023, 34, 1158–1170. [Google Scholar] [CrossRef]
- Paull, L.; Saeedi, S.; Seto, M.; Li, H. AUV navigation and localization: A review. IEEE J. Ocean. Eng. 2014, 39, 131–149. [Google Scholar] [CrossRef]
- Zhang, J.; Han, Y.; Zheng, C.; Sun, D. Underwater target localization using LBL positioning system. J. Appl. Acoust. 2016, 111, 129–134. [Google Scholar] [CrossRef]
- Sun, D.; Li, H.; Zheng, C.; Li, X. Sound velocity correction based on effective sound velocity for underwater acoustic positioning systems. Appl. Acoust. 2019, 151, 55–62. [Google Scholar] [CrossRef]
- Han, Y.; Zhang, J.; Sun, D. Error control and adjustment method for underwater wireless sensor network localization. Appl. Acoust. 2018, 130, 293–299. [Google Scholar] [CrossRef]
- Han, Y.; Li, Z.; Zheng, C.; Sun, D. A precision evaluation method of USBL positioning systems based on LBL triangulation. Acta Phys. Sin. 2015, 64, 094301. [Google Scholar]
- Sun, D.; Ding, J.; Zheng, C.; Huang, W. An Underwater Acoustic Positioning Algorithm for Compact Arrays with Arbitrary Configuration. IEEE J. Sel. Top. Signal Process. 2019, 13, 120–130. [Google Scholar] [CrossRef]
- Tan, H.-P.; Diamant, R.; Seah, W.K.G.; Waldmeyer, M. A survey of techniques and challenges in underwater localization. Ocean Eng. 2011, 38, 1663–1676. [Google Scholar] [CrossRef]
- Batista, P.; Silvestre, C.; Oliveira, P. A Sensor-based LBL Position and Velocity Navigation Filter for Underwater Vehicles. IFAC Proc. Vol. 2010, 43, 302–307. [Google Scholar] [CrossRef]
- Jin, S.; Wang, J.; Park, P.-H. An improvement of GPS height estimations: Stochastic modeling. Earth Planets Space 2005, 57, 253–259. [Google Scholar] [CrossRef]
- Yeh, T.-K.; Chen, C.-H.; Xu, G.; Wang, C.-S.; Chen, K.-H. The Impact on the Positioning Accuracy of the Frequency Reference of a GPS Receiver. Surv. Geophys. 2013, 34, 73–87. [Google Scholar] [CrossRef]
- Yan, W.; Chen, W.; Cui, R. Moving LBL positioning algorithm with uncertain sound speed(Article). J. Mech. Sci. Technol. 2015, 29, 3995–4002. [Google Scholar] [CrossRef]
- Yan, W.; Chen, W.; Cui, R.; Li, H. Optimal distance between mobile buoy and target for moving LBL positioning system. J. Navig. 2015, 68, 809–826. [Google Scholar] [CrossRef]
- Gao, W.; Gao, C.; Pan, S. A method of GPS/BDS/GLONASS combined RTK positioning for middle-LBL with partial ambiguity resolution. Surv. Rev. 2017, 49, 212–220. [Google Scholar] [CrossRef]
- Sun, D.; Gu, J.; Han, Y.; Zhang, J. Inverted ultra-short baseline signal design for multi-AUV navigation. Appl. Acoust. 2019, 150, 5–13. [Google Scholar] [CrossRef]
- Wang, Y.; Yang, X.; Hao, L.; Li, T.; Chen, C.L. Integral Sliding Mode Output Feedback Control for Unmanned Marine Vehicles Using T–S Fuzzy Model with Unknown Premise Variables and Actuator Faults. J. Mar. Sci. Eng. 2024, 12, 920. [Google Scholar] [CrossRef]
- Hao, L.-Y.; Zhang, H.; Li, T.-S.; Lin, B.; Chen, C.L.P. Fault Tolerant Control for Dynamic Positioning of Unmanned Marine Vehicles Based on T-S Fuzzy Model With Unknown Membership Functions. IEEE Trans. Veh. Technol. 2021, 70, 146–157. [Google Scholar] [CrossRef]
- Hao, L.-Y.; Wang, R.-Z.; Shen, C.; Shi, Y. Trajectory Tracking Control of Autonomous Underwater Vehicles Using Improved Tube-Based Model Predictive Control Approach. IEEE Trans. Ind. Inform. 2023, 20, 5647–5657. [Google Scholar] [CrossRef]
- Gao, X.; Li, T. Dynamic Positioning Control for Marine Crafts: A Survey and Recent Advances. J. Mar. Sci. Eng. 2024, 12, 362. [Google Scholar] [CrossRef]
- He, Z.; Zeng, K.; Wei, C.; Xu, H.; Xiang, S.; Wang, J. Underwater multi-baseline single beacon system. In Remote Sensing Data Real-Time and Post-Processing Methods; Li, J., Jia, X., Eds.; Science Press: Washington, DC, USA, 2024; pp. 146–173. (In Chinese) [Google Scholar]
- Xing, Y.; Wang, J.; He, Z.; Chen, Y.; Zhou, X. An Identification Method of LBL Underwater Posi-tioning Systematic Error with Optimal Selection Criterion. Sci. Rep. 2024, 14, 21462. [Google Scholar] [CrossRef]
- Xing, Y.; Wang, J.; Hou, B.; He, Z.; Zhou, X. Underwater Long Baseline Positioning Based on B-Spline Surface for Fitting Effective Sound Speed Table. J. Mar. Sci. Eng. 2024, 12, 1429. [Google Scholar] [CrossRef]
Disclaimer/Publisher’s Note: The statements, opinions and data contained in all publications are solely those of the individual author(s) and contributor(s) and not of MDPI and/or the editor(s). MDPI and/or the editor(s) disclaim responsibility for any injury to people or property resulting from any ideas, methods, instructions or products referred to in the content. |
© 2024 by the authors. Licensee MDPI, Basel, Switzerland. This article is an open access article distributed under the terms and conditions of the Creative Commons Attribution (CC BY) license (https://creativecommons.org/licenses/by/4.0/).