Numerical Prediction of Cavitation Fatigue Life and Hydrodynamic Performance of Marine Propellers
Abstract
:1. Introduction
2. Mathematical Descriptions
2.1. Governing Equations
2.2. Schnerr–Sauer Cavitation Model
2.3. Calculation Method for Blade Strength
2.4. Calculation Method for Fatigue Strength of Blade
3. Numerical Method
3.1. Description of the Model
3.2. Mesh Generation
3.3. The Mesh Independence
4. Results and Discussions
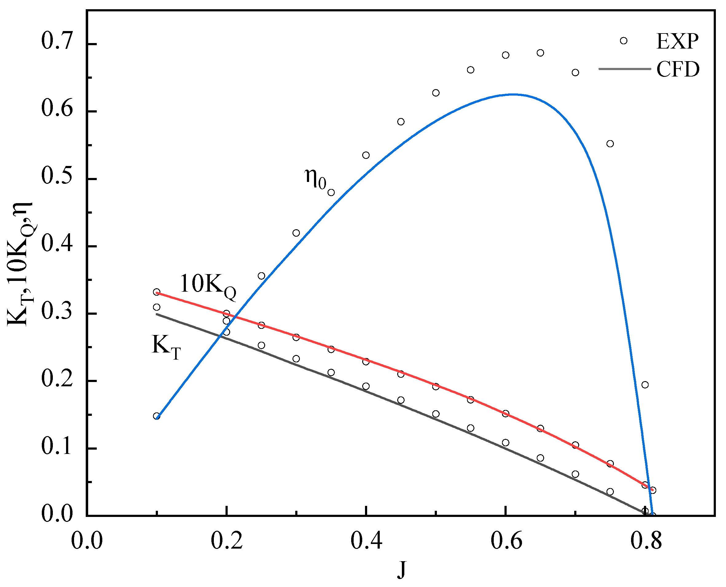
4.1. Validation
4.1.1. Performance of Cavitation-Free Propeller
4.1.2. Cavitation Flow Field
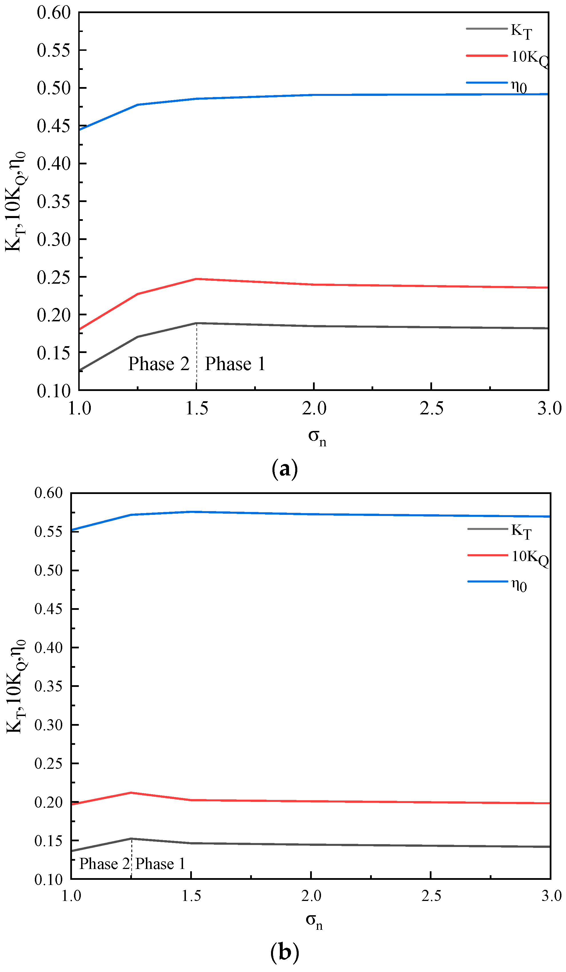
4.2. Cavitation Simulation with Different Vacuum Degrees
4.3. Effect of Cavitation on Propeller Performance
4.4. Intensity Calculations
4.5. Fatigue Strength Calculations
5. Conclusions
- The cavitation’s area and volume decrease progressively with an increase in the advance coefficient. Moreover, under the same advance coefficient, both the area and volume of the cavitation decrease as the number of cavitations increases.
- With a consistent advance coefficient, the first cavitation stage has no impact on propeller performance but results in reduced blade life. Conversely, the second cavitation stage has almost no effect on blade life but diminishes the hydrodynamic performance of the propeller.
- The vibration amplitude decreases with the increase of the advance coefficient, and the maximum vibration amplitude occurs at the critical point of cavitation.
- Cavitation occurrence induces vibration in the propeller blade, posing a risk of damage to the blade root.
Author Contributions
Funding
Institutional Review Board Statement
Informed Consent Statement
Data Availability Statement
Acknowledgments
Conflicts of Interest
References
- Haeji, J.; Jungsik, C. Experimental Study of Cavitation Damage to Marine Propellers Based on the Rotational Speed in the Coastal Waters. Machines 2022, 10, 793. [Google Scholar]
- Tadros, M.; Ventura, M.; Soares, C.G. Effect of Hull and Propeller Roughness during the Assessment of Ship Fuel Consumption. J. Mar. Sci. Eng. 2023, 11, 040784. [Google Scholar] [CrossRef]
- Ehsan, C.N.; Faysal, H.M.; Mashud, K.M.; Islam, R.; Bhuiyan, A.A. Numerical Investigation for Mitigation of Cavitation in High-Speed Marine Propeller Using Mass Injection Approach Journal. Iran. J. Sci. Technol. 2023, 47, 1693–1709. [Google Scholar]
- Long, Y.; Long, X.; Ji, B.; Huang, H. Numerical simulations of cavitating turbulent flow around a marine propeller behind the hull with analyses of the vorticity distribution and particle tracks. Ocean. Eng. 2019, 189, 106310. [Google Scholar] [CrossRef]
- Paik, K.J.; Park, H.; Seo, J. URANS simulations of cavitation and hull pressure fluctuation for marine propeller with hull interaction. In Proceedings of the 3rd International Symposium on Marine Propulsors, Launceston, Tasmania, 5–8 May 2013; pp. 389–396. [Google Scholar]
- Yilmaz, N.; Aktas, B.; Sezen, S.; Atlar, M.; Fitzsimmons, P.; Felli, M. Numerical investigations of propeller-rudder-hull interaction in the presence of tip vortex cavitation. In Proceedings of the 6th Symposium on Marine Propulsors, SMP’19, Rome, Italy, 16–20 May 2019; pp. 407–413. [Google Scholar]
- Rizk, M.A.; Belhenniche, S.E.; Imine, O.; Kinaci, O.A. Numerical Investigation for Mitigation of Cavitation and Its Performance Behind a Generic Hull. J. Mar. Sci. Appl. 2023, 22, 273–283. [Google Scholar] [CrossRef]
- Zheng, C.S. The numerical prediction and analysis of propeller cavitation benchmark tests of YUPENG ship model. J. Mar. Sci. Eng. 2019, 7, 387. [Google Scholar] [CrossRef]
- Lloyd, T.; Vaz, G.; Rijpkema, D.; Reverberi, A. Computational fluid dynamics prediction of marine propeller cavitation including solution verification. In Proceedings of the Fifth International Symposium on Marine Propulsors, Smp17, Espoo, Finland, 12 June 2017. [Google Scholar]
- Zhang, L.; Ye, J. Cavitation impact damage of polymer: A multi-physics approach incorporating phase-field. Comput. Methods Appl. Mech. Eng. 2023, 417, 116420. [Google Scholar] [CrossRef]
- Ortolani, F.; Dubbioso, G.; Muscari, R.; Mauro, S.; Di Mascio, A. Experimental and numerical investigation of propeller loads in off-design conditions. Mar. Sci. Eng. 2018, 6, 45. [Google Scholar] [CrossRef]
- Rusinov, P.O.; Blednova, Z.M. Improving the Longevity of the Propellers by the TiNiCo-B4C-Co Intelligent Surface Compositions Operating at Low Temperatures. Mater. Sci. Forum 2018, 4554, 39–43. [Google Scholar] [CrossRef]
- Nasiri, S.; Parniani, M.; Saeed, P. A multi-objective optimal power management strategy for enhancement of battery and propellers lifespan in all-electric ships. J. Energy Storage 2023, 65, 107183. [Google Scholar] [CrossRef]
- Arvind, K.; Nikhil, B.; Subhamoy, S.; Sen, S. Reliability analysis of 15MW horizontal axis wind turbine rotor blades using fluid-structure interaction simulation and adaptive kriging model. Ocean Eng. 2023, 288, 116138. [Google Scholar]
- Hu, J.; Li, X.; Zhu, J.; Ning, X.; Wan, Q.; Lin, C. Effect of cavitation on fluid-structure interaction of a cantilever hydrofoil. Ocean Eng. 2023, 288, 116025. [Google Scholar] [CrossRef]
- Lou, B.; Cui, H. Fluid–Structure Interaction Vibration Experiments and Numerical Verification of a Real Marine Propeller. Pol. Marit. Res. 2021, 28, 61–75. [Google Scholar] [CrossRef]
- Xiao, X.; Volodymyr, O.; Donald, M. High cycle fatigue life assessment of notched components with induced compressive residual stress. Int. J. Press. Vessel. Pip. 2023, 206, 105069. [Google Scholar] [CrossRef]
- Magoga Teresa, M.; Seref, A.; Karl, S. Implementation of a nominal stress approach for the fatigue assessment of aluminium naval ships. Procedia Struct. Integr. 2023, 45, 28–35. [Google Scholar] [CrossRef]
- Yang, L.; Yang, B.; Yang, G.; Jiang, L.; Xiao, S.; Zhu, T. Fatigue evaluation method based on equivalent structural stress approach for bolted connections. Int. J. Fatigue 2023, 174, 107738. [Google Scholar] [CrossRef]
- Thambi, J.; Tetzlaff, U.; Schiessl, A.; Lang, K.-D.; Waltz, M. Evaluation of the relationship between stress and lifetime of Pb-free solder joints subjected to vibration load using a generalized local stress approach. Microelectron. Reliab. 2020, 106, 113560. [Google Scholar] [CrossRef]
- Wang, J.; Zeng, D.; Lu, L. Fatigue life evaluation for ring-welded lap joints of stainless steel based on fracture mechanics approach. Theor. Appl. Fract. Mech. 2023, 127, 104067. [Google Scholar] [CrossRef]
- Vijayanandh, R.; Venkatesan, K.; Kumar, M.S.; Kumar, G.R.; Jagadeeshwaran, P.; Kumar, R.R. Comparative fatigue life estimations of Marine Propeller by using FSI. J. Phys. Conf. Ser. 2020, 1473, 012018. [Google Scholar] [CrossRef]
- Giorgi, M.; Ficarella, A.; Fontanarosa, D. Implementation and validation of an extended Schnerr-Sauer cavitation model for non-isothermal flows in OpenFOAM. Energy Procedia 2017, 126, 58–65. [Google Scholar] [CrossRef]
- HANJUN Shipbuilding Co., Ltd. Hull Form Study for HANJUN DWT 160,000 Ton Crude Oil Tanker; Moeri Model Test Report; HANJUN Shipbuilding Co., Ltd.: Busan, Republic of Korea, 2010. [Google Scholar]
- ITTC. CFD General Uncertainty Analysis in CFD Verification and Validation Methodology and Procedures (7.5-03-01-01); Revision 01; ITTC Recommended Procedures and Guidelines; ITTC: Ayutthaya, Thailand, 2002.

















| Parameter | Value | Parameter | Value |
|---|---|---|---|
| Diameter (m) | 0.2500 | Skew angle (deg) | 21.00 |
| Expanded blade area ratio | 0.4856 | Hub-diameter | 0.17 |
| Propeller pitch ratio (0.7R) | 0.7473 | Number of blades | 4 |
| Designation | Stationary Domain Mesh | Rotational Domain Mesh | The Total Number of Meshes |
|---|---|---|---|
| G1 | 9,242,892 | 3,073,096 | 12,315,988 |
| G2 | 3,563,840 | 1,559,078 | 5,122,918 |
| G3 | 1,422,660 | 729,315 | 2,151,975 |
| Designation | Simulated KT | Test KT | Deviation/% |
|---|---|---|---|
| G1 | 0.1707 | 0.1677 | 1.79 |
| G2 | 0.1715 | 0.1677 | 2.27 |
| G3 | 0.1735 | 0.1677 | 3.46 |
| RG | 0.4 | ||
| UG | 0.001067 | ||
| UG (%G1) | 0.00625 | ||
Disclaimer/Publisher’s Note: The statements, opinions and data contained in all publications are solely those of the individual author(s) and contributor(s) and not of MDPI and/or the editor(s). MDPI and/or the editor(s) disclaim responsibility for any injury to people or property resulting from any ideas, methods, instructions or products referred to in the content. |
© 2023 by the authors. Licensee MDPI, Basel, Switzerland. This article is an open access article distributed under the terms and conditions of the Creative Commons Attribution (CC BY) license (https://creativecommons.org/licenses/by/4.0/).
Share and Cite
Zhang, X.; Xu, Q.; Zhang, M.; Xie, Z. Numerical Prediction of Cavitation Fatigue Life and Hydrodynamic Performance of Marine Propellers. J. Mar. Sci. Eng. 2024, 12, 74. https://doi.org/10.3390/jmse12010074
Zhang X, Xu Q, Zhang M, Xie Z. Numerical Prediction of Cavitation Fatigue Life and Hydrodynamic Performance of Marine Propellers. Journal of Marine Science and Engineering. 2024; 12(1):74. https://doi.org/10.3390/jmse12010074
Chicago/Turabian StyleZhang, Xiaohui, Qimao Xu, Meng Zhang, and Zhongliang Xie. 2024. "Numerical Prediction of Cavitation Fatigue Life and Hydrodynamic Performance of Marine Propellers" Journal of Marine Science and Engineering 12, no. 1: 74. https://doi.org/10.3390/jmse12010074
APA StyleZhang, X., Xu, Q., Zhang, M., & Xie, Z. (2024). Numerical Prediction of Cavitation Fatigue Life and Hydrodynamic Performance of Marine Propellers. Journal of Marine Science and Engineering, 12(1), 74. https://doi.org/10.3390/jmse12010074

