Hydrodynamic Characteristics of Floating Photovoltaic Systems under Ocean Loads
Abstract
:1. Introduction
2. Numerical Method and Validation
2.1. Theoretical Background
2.1.1. Wave Load
2.1.2. Wind and Current Load
2.2. Numerical Model Setup and Validation
2.2.1. Design Method
- (1)
- Environmental loads
- (2)
- Floating platforms
- (3)
- Connectors
- (4)
- Mooring system
2.2.2. Numerical Model Setup
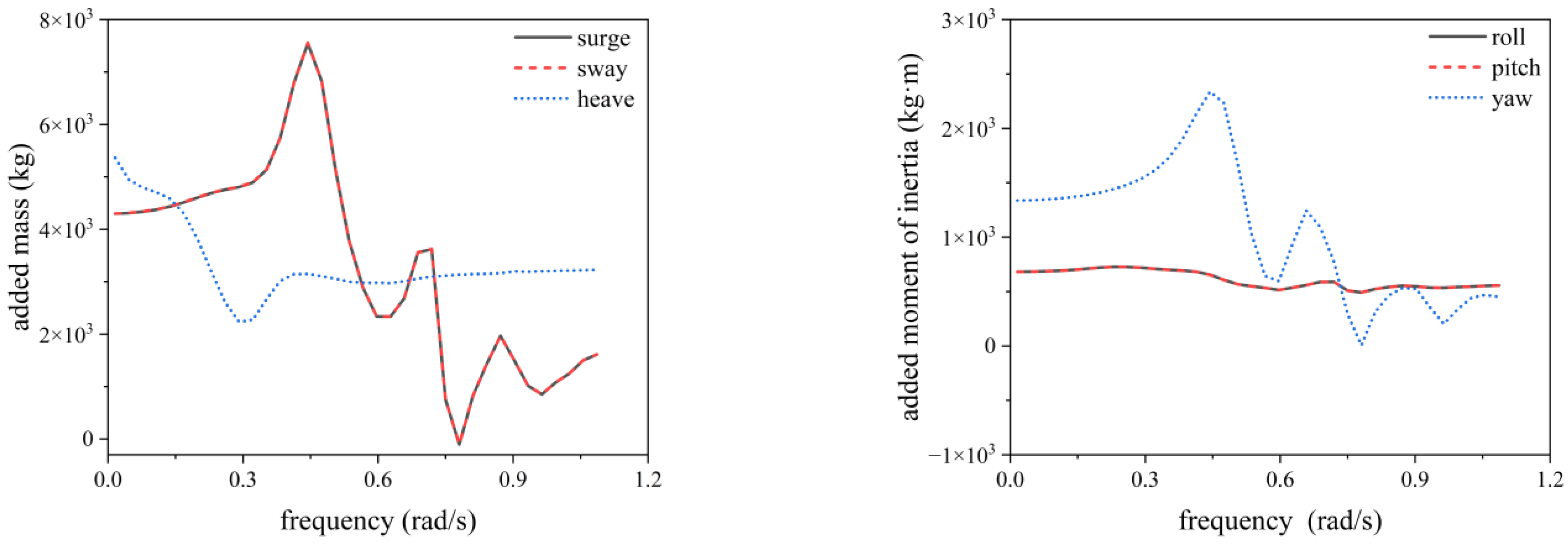
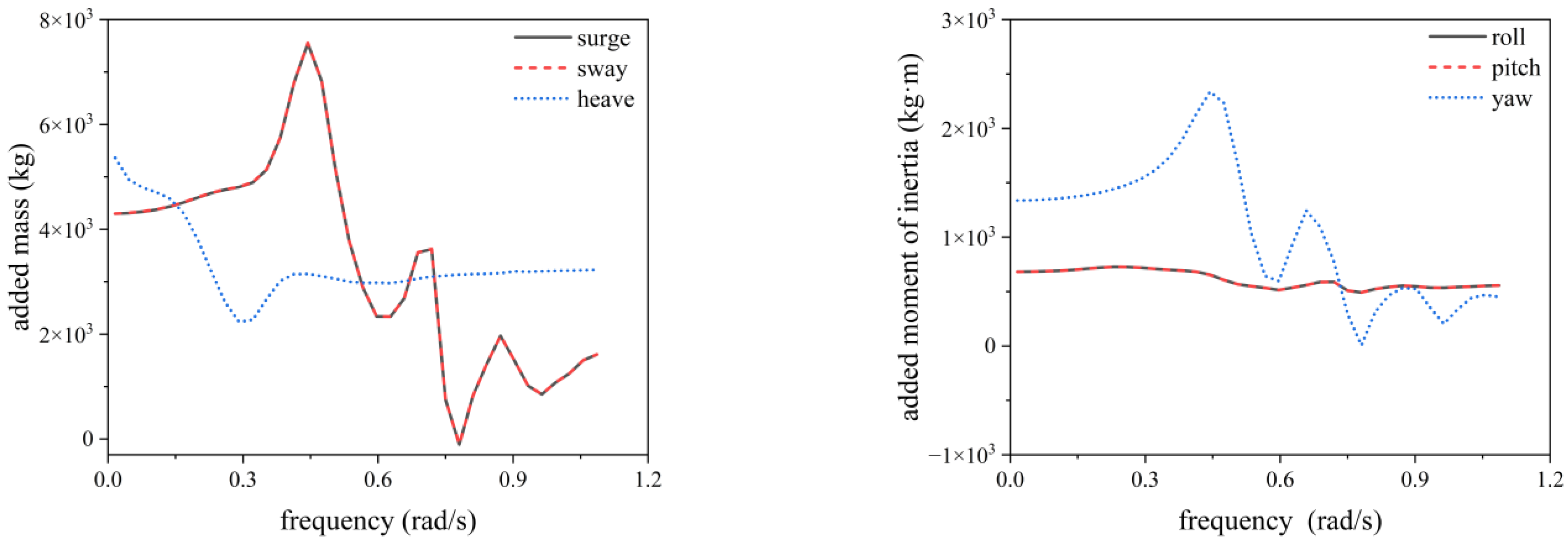
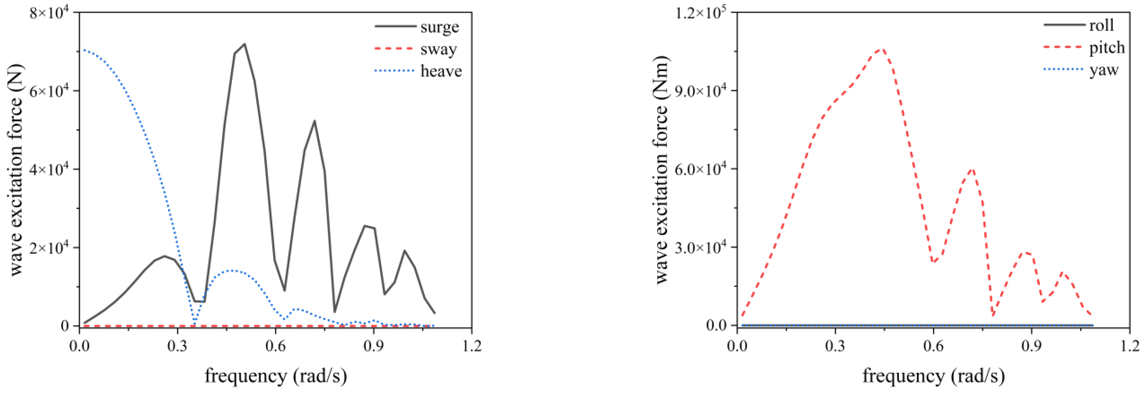
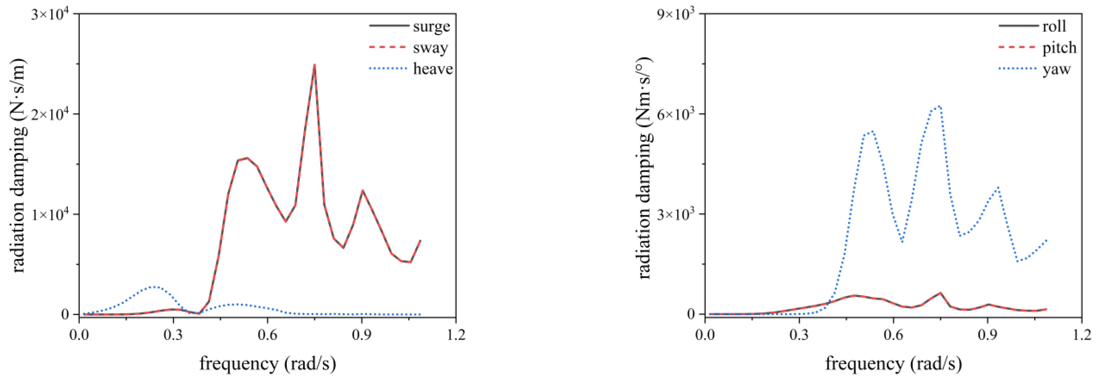
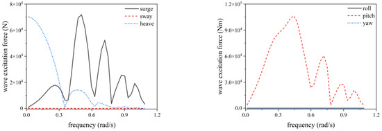
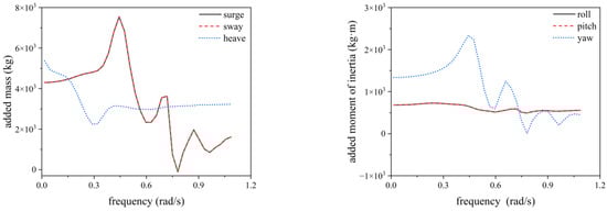
3. Hydrodynamic Coefficients
4. Load Coupling Analysis
4.1. Motion Responses
4.2. Force Characteristics
5. The Influence of Wave Parameters
5.1. Wavelength
5.1.1. Motion Responses
5.1.2. Force Characteristics
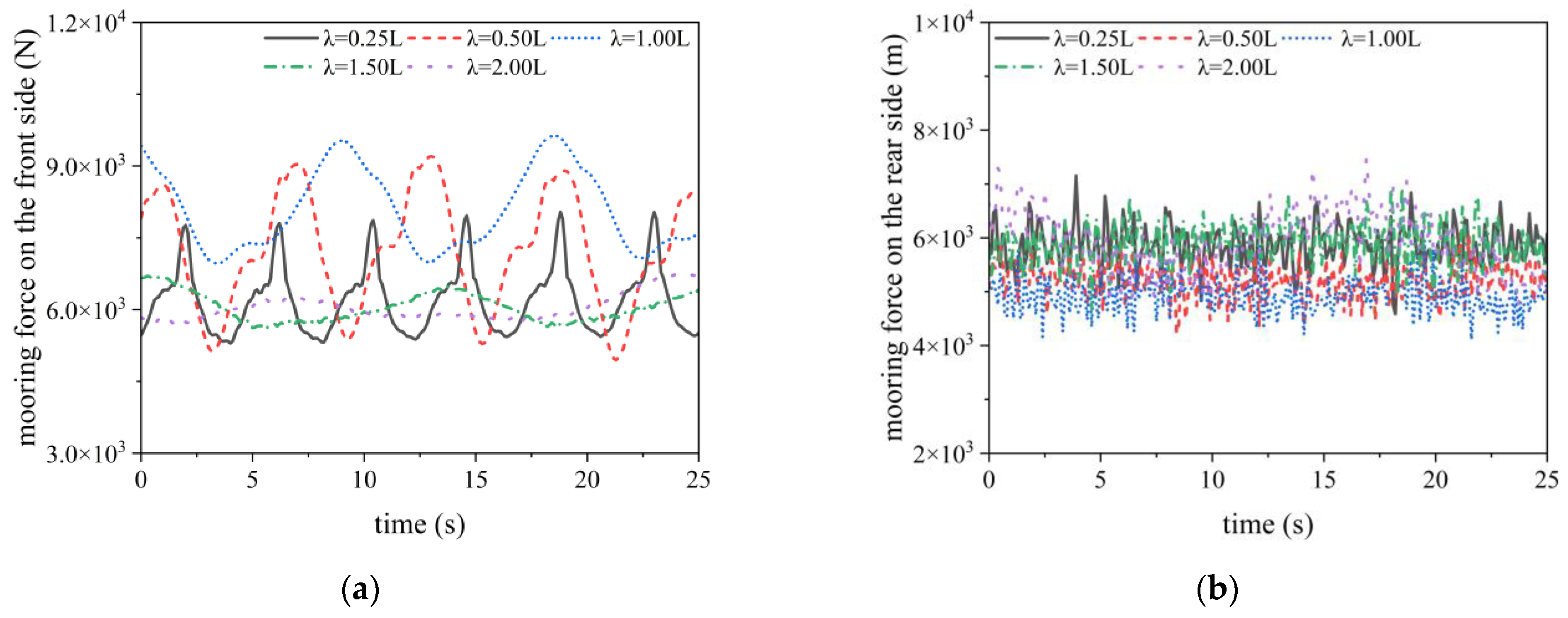
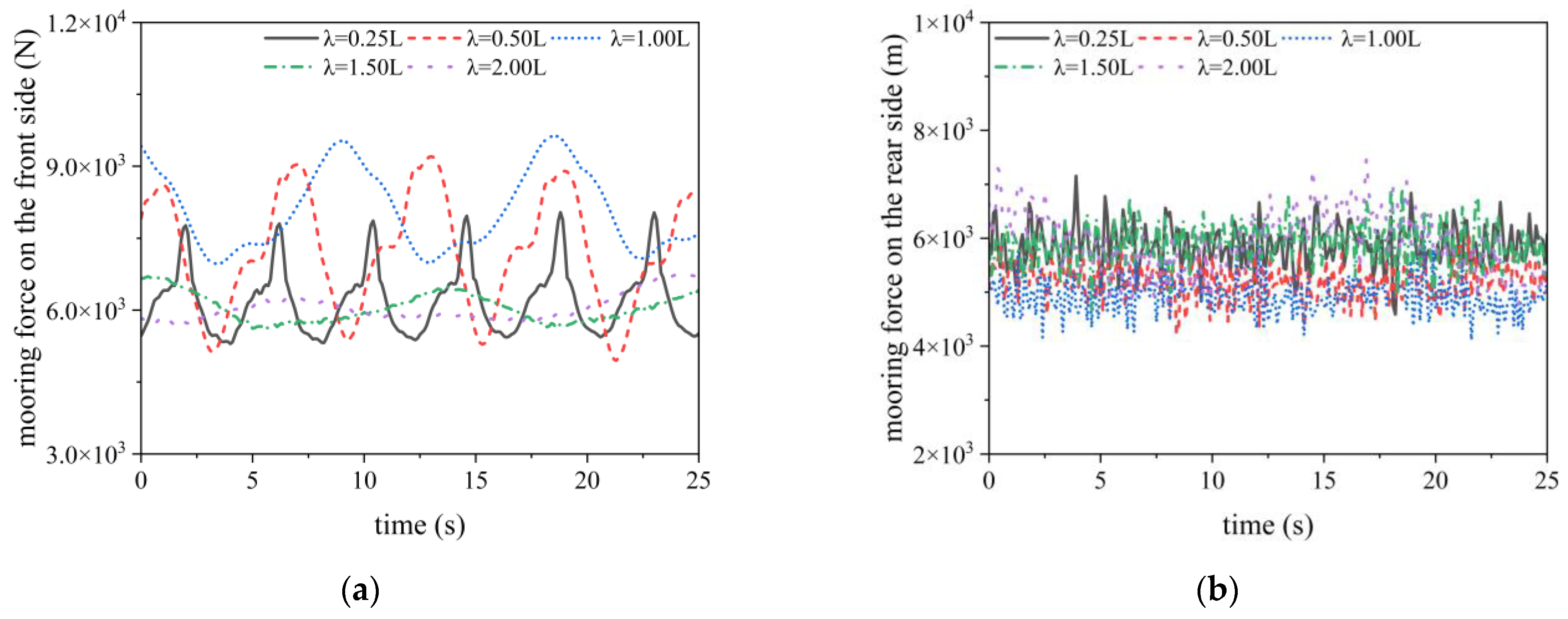
5.1.3. Mooring Forces
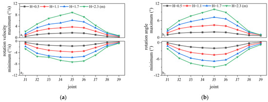
5.2. Wave Height
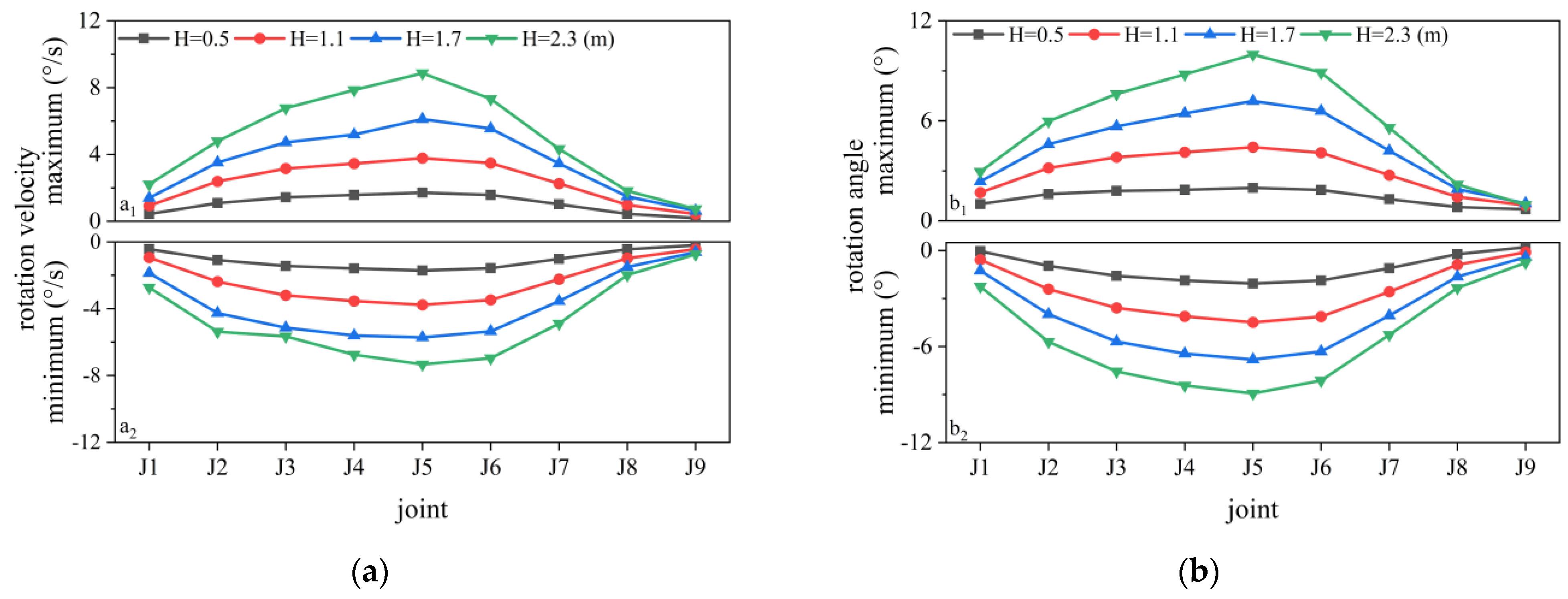
5.2.1. Motion Responses
5.2.2. Force Characteristics
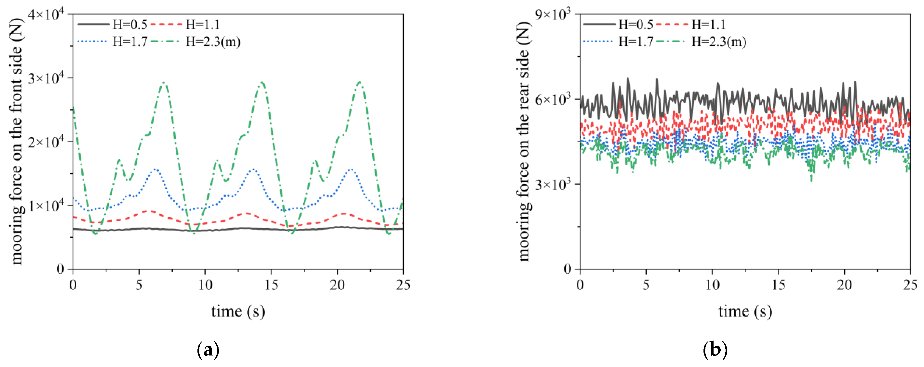
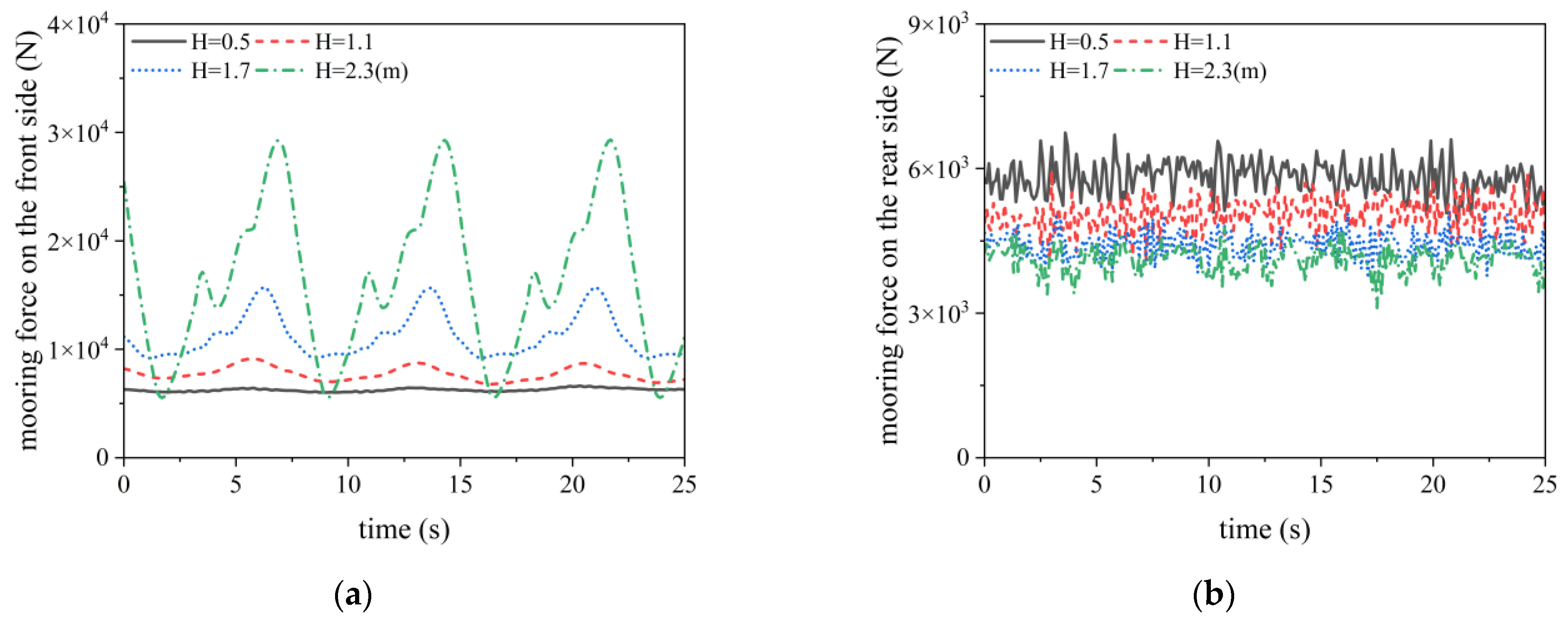
5.2.3. Mooring Forces
6. Conclusions
- (1)
- The motion response of the floating platform is obvious under the wave with low frequency. As the wave frequency increases, the motion response decreases, in general, which means it can resist the waves for short periods. In addition, the design of the floating platform exhibits good seakeeping and stability under the moderate sea area of this study.
- (2)
- The influence of the wave on the dynamic response of the FPV system dominates under the moderate sea area of this study, with a contribution of up to 99%. The wind and currents mainly affect the motion and force in the X-direction of floating platforms in this study, and, due to the small dimension of the floating platform, the influence of wind and currents is very limited and can be ignored. In addition, the presence of currents affects the period of dynamic response.
- (3)
- When the wave height is constant, the motions of floating platforms and hinged joints increase at first and then decrease due to the resonance effect between the wave and the FPV system, and the variation mechanism in the connection forces with wavelength is the same. In addition, the wave forces gradually reduce due to the decrease in wave steepness (H/L). It should be pointed out that as the wavelength increases, the surge amplitudes of floating platforms increase at first, decrease later, and increase again as a whole.
- (4)
- When the wavelength is constant, the wave energy increases with wave height. Therefore, the motion and force of floating platforms and hinged joints in the FPV system exhibit significant enhancement. Nevertheless, the mooring force on the rear side decreases as the wave height increases. As it is significantly smaller than the mooring force on the front side, it may not be a key consideration in design.
Author Contributions
Funding
Institutional Review Board Statement
Informed Consent Statement
Data Availability Statement
Conflicts of Interest
References
- Li, S.; Wang, J.; Liu, Q.; Li, L.; Hua, Y.; Liu, W. Analysis of status of photovoltaic and wind power abandoned in China. J. Power Energy Eng. 2017, 5, 91. [Google Scholar] [CrossRef]
- Yousuf, H.; Khokhar, M.Q.; Zahid, M.A.; Kim, J.; Kim, Y.; Cho, E.C.; Yi, J. A Review on Floating PV Technology (FPVT). Curr. PV Res. 2020, 8, 67–78. [Google Scholar]
- Liu, H.; Kumar, A.; Reindl, T. The dawn of floating solar—Technology, benefits, and challenges. In WCFS2019; Springer: Singapore, 2020; pp. 373–383. [Google Scholar]
- Offshore Energy. Available online: https://www.offshore-energy.biz/sunseap-installs-one-of-worlds-largest-offshore-floating-solar-farms-in-singapore/ (accessed on 24 March 2021).
- Choi, S.M.; Lee, G.R.; Park, C.D.; Cho, S.H.; Lim, B.J. Wind load on the solar panel array of a floating PV system under extreme hurricane conditions. Sustain. Energy Technol. Assess. 2021, 48, 101616. [Google Scholar]
- Choi, S.M.; Park, C.D.; Cho, S.H.; Lim, B.J. Effects of wind loads on the solar panel array of a floating photovoltaic system–Experimental study and economic analysis. Energy 2022, 256, 124649. [Google Scholar] [CrossRef]
- Bei, Y.; Yuan, B.; Wu, Q. Numerical Simulation of Wind Load Characteristics of Floating PVs. In Proceedings of the 2022 5th International Conference on Energy, Electrical and Power Engineering (CEEPE), Chongqing, China, 22–24 April 2022; pp. 1104–1108. [Google Scholar]
- Wood, G.S.; Denoon, R.O.; Kwok, K.C. Wind loads on industrial solar panel arrays and supporting roof structure. Wind Struct. 2001, 4, 481–494. [Google Scholar] [CrossRef]
- Warsido, W.P.; Bitsuamlak, G.T.; Barata, J.; Chowdhury, A.G. Influence of spacing parameters on the wind loading of solar array. J. Fluids Struct. 2014, 48, 295–315. [Google Scholar] [CrossRef]
- Aly, A.M. On the evaluation of wind loads on solar panels: The scale issue. Sol. Energy 2016, 135, 423–434. [Google Scholar] [CrossRef]
- Shademan, M.; Hangan, H. Wind loading on solar panels at different azimuthal and inclination angles. In Proceedings of the Fifth International Symposium on Computational Wind Engineering, Chapel Hill, NC, USA, 23–27 May 2010. [Google Scholar]
- Bitsuamlak, G.T.; Dagnew, A.K.; Erwin, J. Evaluation of wind loads on solar panel modules using CFD. In Proceedings of the Fifth International Symposium on Computational Wind Engineering, Chapel Hill, NC, USA, 23–27 May 2010. [Google Scholar]
- Jubayer, C.M.; Hangan, H. A numerical approach to the investigation of wind loading on an array of ground mounted solar photovoltaic (PV) panels. J. Wind Eng. Ind. Aerodyn. 2016, 153, 60–70. [Google Scholar] [CrossRef]
- Honaryar, A.; Karimirad, M.; Abbasnia, A.; Whittaker, T. Wind Parameters Effects on Floating Solar Array Design–Case Study: Japan’s Largest Floating Solar Array. In Proceedings of the International Conference on Offshore Mechanics and Arctic Engineering, American Society of Mechanical Engineers 2022, Hamburg, Germany, 5–8 June 2022; Volume 85932, p. V008T09A008. [Google Scholar]
- Ikhennicheu, M.; Danglade, B.; Pascal, R.; Arramounet, V.; Trébaol, Q.; Gorintin, F. Analytical method for loads determination on floating solar farms in three typical environments. Sol. Energy 2021, 219, 34–41. [Google Scholar] [CrossRef]
- Kim, H.S.; Kim, B.W.; Won, Y.; Oh, Y.J.; Lee, J.; Hong, S.Y.; Park, J.J. Experimental Study on Structural Responses of Floating Photovoltaic System with Numerous Buoys and Connection Beams. In OCEANS 2021: San Diego–Porto; IEEE: Piscataway, NJ, USA, 2021; pp. 1–8. [Google Scholar]
- Lee, G.H.; Choi, J.W.; Seo, J.H.; Ha, H. Comparative study of effect of wind and wave load on floating PV: Computational simulation and design method. J. Korean Soc. Manuf. Process Eng. 2019, 18, 9–17. [Google Scholar] [CrossRef]
- Song, J.; Kim, J.; Chung, W.C.; Jung, D.; Kang, Y.J.; Kim, S. Wave-induced structural response analysis of the supporting frames for multiconnected offshore floating photovoltaic units installed in the inner harbor. Ocean Eng. 2023, 271, 113812. [Google Scholar] [CrossRef]
- Song, J.; Kim, J.; Lee, J.; Kim, S.; Chung, W. Dynamic response of multiconnected floating solar panel systems with vertical cylinders. J. Mar. Sci. Eng. 2022, 10, 189. [Google Scholar] [CrossRef]
- Al-Yacouby, A.M.; Halim ER, B.A.; Liew, M.S. Hydrodynamic analysis of floating offshore solar farms subjected to regular waves. In Advances in Manufacturing Engineering: Selected Articles from ICMMPE 2019; Springer: Singapore, 2020; pp. 375–390. [Google Scholar]
- Friel, D.; Karimirad, M.; Whittaker, T.; Doran, J. Hydrodynamic investigation of design parameters for a cylindrical type floating solar system. In Proceedings of the 4th International Conference on Renewable Energies Offshore, Lisbon, Portugal, 12–15 October 2020. [Google Scholar]
- Gharechae, A.; Ketabdari, M.J.; Kitazawa, D.; Li, Q. Semi-analytical and experimental study on array of elastic circular floaters vertical motions in regular sea waves. Ocean Eng. 2020, 217, 107851. [Google Scholar] [CrossRef]
- Zhang, D.; Du, J.; Yuan, Z.; Yu, S.; Li, H. Motion characteristics of large arrays of modularized floating bodies with hinge connections. Phys. Fluids 2023, 35, 077107. [Google Scholar]
- Wang, G.; Drimer, N.; Goldfeld, Y. Modular floating structures (MFS) for offshore dwelling a hydrodynamic analysis in the frequency domain. Ocean Eng. 2020, 216, 107996. [Google Scholar] [CrossRef]
- Nallayarasu, S.; Kumar, N.S. Experimental and numerical investigation on hydrodynamic response of buoy form spar under regular waves. Ships Offshore Struct 2017, 12, 19–31. [Google Scholar] [CrossRef]
- Rahmdel, S.; Wang, B.; Han, C.; Kim, K.; Park, S. A parametric study of spar-type floating offshore wind turbines (FOWTs) by numerical and experimental investigations. Ships Offshore Struct 2016, 11, 818–832. [Google Scholar] [CrossRef]
- Dnv, G.L. DNV-RP-C205: Environmental Conditions and Environmental Loads; Norw ay: DetNorske Veritas, 2010. [Google Scholar]
- Roussinova, V.; Balachandar, R. Open channel flow past a train of rib roughness. J. Turbul. 2011, 12, N28. [Google Scholar] [CrossRef]
- Ma, K.T.; Luo, Y.; Kwan CT, T.; Wu, Y. Mooring System Engineering for Offshore Structures; Gulf Professional Publishing: Houston, TX, USA, 2019. [Google Scholar]
- Ansys, A. AQWA Theory Manual; AQWA: Canonsburg, PA, USA, 2013. [Google Scholar]
- Barltrop, N.D.P. Floating Structures: A Guide for Design and Analysis; CMPT: Herefordshire, UK, 1998. [Google Scholar]
- Boccotti, P. Wave Mechanics for Ocean Engineering; Elsevier: Amsterdam, The Netherlands, 2000. [Google Scholar]


























| Parameter | Value |
|---|---|
| water depth | 18.00 [m] |
| wave height | 1.70 [m] |
| wave period | 7.40 [s] |
| wind speed | 5.00 [m/s] |
| Parameter | Value |
|---|---|
| Block (L × W × H) | 10 × 10 × (0.2 + 0.437) [m] |
| Cylinder (R × H) | 0.75 × 2 [m] |
| Mass | 6601.81 [kg] |
| Center of gravity | 1.76 [m] |
| Immersion | 0.91 [m] |
| Ixx (center of gravity) | 63,611.67 [kg·m2] |
| Iyy (center of gravity) | 61,824.94 [kg·m2] |
| Izz (center of gravity) | 118,057.87 [kg·m2] |
| Structure Component | Drag Coefficient |
|---|---|
| PV panel | 1.10 |
| Frame | 0.70 |
| Pontoon | 0.65 |
| Row | Sheltering Coefficient |
|---|---|
| Row 1 | 1.0 |
| Row 2 | 0.4 |
| Row 3 | 0.3 |
| Row > 3 | 0.1 |
| Row | Sheltering Coefficient |
|---|---|
| Row 1 | 1.0 |
| Row 2 | 0.5 |
| Row 3 | 0.3 |
| Row > 3 | 0.2 |
| Parameter | Value |
|---|---|
| Diameter | 35.000 [mm] |
| Submerged weight | 229.075 [N/m] |
| Minimum breaking strength | 1,125,481.000 [N] |
| Axial stiffness | 123,725,000.000 [N] |
| Total length | 58.556 [m] |
Disclaimer/Publisher’s Note: The statements, opinions and data contained in all publications are solely those of the individual author(s) and contributor(s) and not of MDPI and/or the editor(s). MDPI and/or the editor(s) disclaim responsibility for any injury to people or property resulting from any ideas, methods, instructions or products referred to in the content. |
© 2023 by the authors. Licensee MDPI, Basel, Switzerland. This article is an open access article distributed under the terms and conditions of the Creative Commons Attribution (CC BY) license (https://creativecommons.org/licenses/by/4.0/).
Share and Cite
Song, J.; Imani, H.; Yue, J.; Yang, S. Hydrodynamic Characteristics of Floating Photovoltaic Systems under Ocean Loads. J. Mar. Sci. Eng. 2023, 11, 1813. https://doi.org/10.3390/jmse11091813
Song J, Imani H, Yue J, Yang S. Hydrodynamic Characteristics of Floating Photovoltaic Systems under Ocean Loads. Journal of Marine Science and Engineering. 2023; 11(9):1813. https://doi.org/10.3390/jmse11091813
Chicago/Turabian StyleSong, Jiahui, Hasan Imani, Jinchao Yue, and Shaolin Yang. 2023. "Hydrodynamic Characteristics of Floating Photovoltaic Systems under Ocean Loads" Journal of Marine Science and Engineering 11, no. 9: 1813. https://doi.org/10.3390/jmse11091813
APA StyleSong, J., Imani, H., Yue, J., & Yang, S. (2023). Hydrodynamic Characteristics of Floating Photovoltaic Systems under Ocean Loads. Journal of Marine Science and Engineering, 11(9), 1813. https://doi.org/10.3390/jmse11091813

