Modal Analysis of the Hydrodynamic Force of a Capsule in a Hydraulic Capsule Pipeline
Abstract
:1. Introduction
2. Dynamic Model of Capsule Motion
2.1. Foundation of the Dynamic Equation
2.2. Modal Analysis of Hydrodynamic Force
3. Experiment and Numerical Method
3.1. Research Design
3.2. Physical Experiment
3.3. Numerical Simulation
3.4. Testification of the Numerical Simulation Result
4. Results and Discussion
4.1. Contributions of Different Components to the Hydrodynamic Force
- (1)
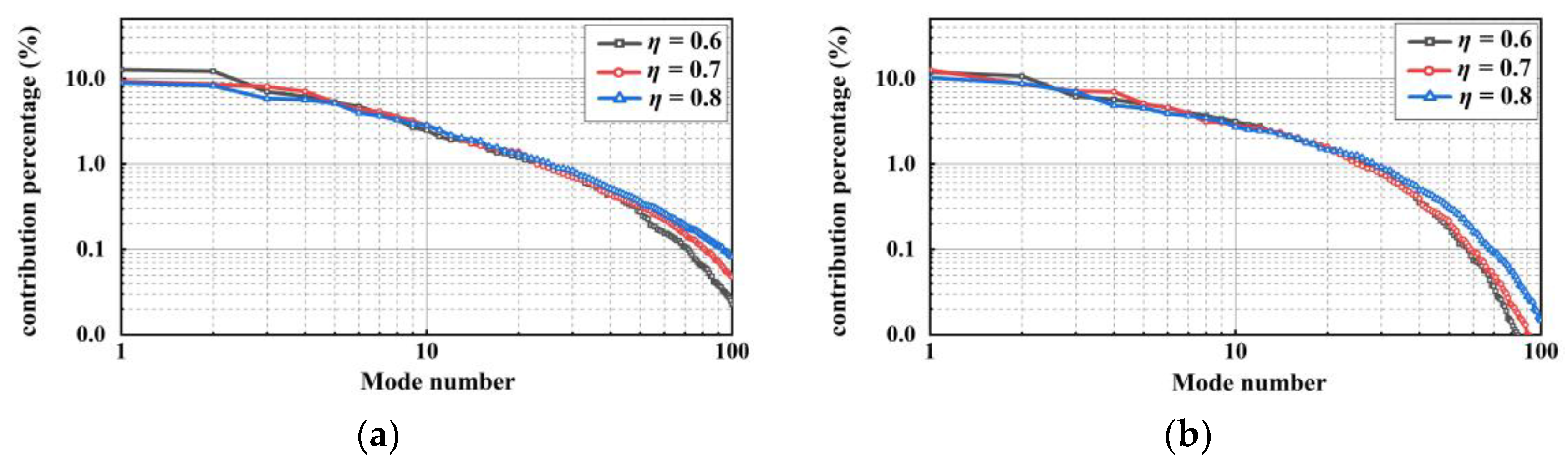
- Overall, the contributions of frictional drag and pressure drag reached similar maximum levels, while they were the lowest under different conditions. The diameter ratio of the capsule influenced the extent of the contributions to the hydrodynamic force of the different components. When considering all conditions, the overall contributions of frictional drag and pressure drag reached a maximum level of 10%. In contrast, they were found to be lower than 1% for modes (components) after the 20th. In particular, contributions of frictional drag and pressure drag lower than 0.1% were observed for components near the 80th and near the 70th, respectively.
- (2)
- When comparing the different contributions to the hydrodynamic force between the 1st and 10th modes, they were found to increase as the capsule diameter ratio decreased. The total contribution of the 1~10th modes was 56.5~60.5% for the frictional drag and 52.3~58.1% for the pressure drag, while the total contribution of the 11~50th modes was 34.3~38.3% for the frictional drag and 39.3~42.7% for the pressure drag. In contrast, the total contribution of the 51~100th modes was minor and had a low influence on the hydrodynamic force. Thus, the following analysis was developed considering the 1~50th modes, which contributed by 94~97.3% to the hydrodynamic force.
- (3)
- To conclude, the relative magnitude of the hydrodynamic force in different conditions depended on the contributions of different factors. The hydrodynamic force acting on the capsule was complex and could be understood as a combination of multiple components (modes) that are independent of each other. Some modes more strongly contributed to the hydrodynamic force, with contribution levels reaching 10%, while other modes contributed by less than 0.1%. The diameter ratio had an observable influence on the distribution of the contributions of the different modes but had no significant influence on the overall distribution tendency.
4.2. Time Coefficients and Frequency Transformation of Different Modes
- (1)
- In the time domain, the time coefficients of frictional drag and pressure drag showed a constant variation throughout the process; in fact, the frictional drag and pressure drag of each mode underwent fluctuations. According to the dynamic model, under certain conditions of capsule motion, the frictional resistance is constant; therefore, speed variations in the capsule motion can only be induced by fluctuations of the hydrodynamic forces acting on the capsule. Under certain conditions of capsule motion, the solid boundaries of the capsule establish complex interactions with the surrounding fluid flow.
- (2)
- With the increase in the mode order, the amplitude of the time coefficients decreased but the frequency increased. The fluctuation of the time coefficients created a trend according to which the contributions of different modes to the hydrodynamic force varied as the process developed. For modes of similar time ranges, the time coefficients’ amplitude of the frictional drag was lower than that of the pressure drag. However, the frequencies of the frictional drag were significantly higher. Therefore, the period of frictional drag was always smaller than the period of pressure drag as they fluctuated.
- (3)
- Overall, the PSD functions of frictional drag and pressure drag had narrow-band [38] characteristics for the lower-order modes. However, the PSD functions of the frictional drag acquired wide-band features [38] for the higher-order modes. Additionally, for the same mode, the peak amplitudes of frictional drag and pressure drag presented a tenfold difference. Specific differences included those found in frictional drag for the lower-order modes, i.e., the significant narrow-band characteristics for the first mode (see Figure 7a) and the presence of only one narrow peak in the frequency domain. However, for higher-order modes, we observed more than one narrow peak in the frequency domain, which became wide-band characteristics, as shown in Figure 7a. Additionally, for the pressure drag, there was only one narrow peak in the frequency domains of different modes, as shown in Figure 7b.
4.3. Coherent Structures of Different Modes
- (1)
- The coherent structures were analyzed, considering radial velocity, axial velocity, and circumferential velocity. A velocity gradient existed between iso surfaces with positive and negative velocities; this gradient was used to represent the scale of the vortices in that spatial range. In general, with an increase in the modal order number, the ranges and shapes of the coherent structures changed significantly. The shapes of the coherent structures represented by the radial velocity became more similar to those represented by the axial velocity.
- (2)
- The coherent structures represented by the circumferential velocity were quite different from both structures described above. As shown in Figure 8a, the average range of the coherent structure for the first mode was about 1.5 B in the flow direction, 0.75 B in the span direction, and 1.5 B in the lateral direction. In contrast, the coherent structure for the 10th mode appeared extended in the flow direction up to 3.5 B and contracted in the lateral direction between 3 B and 0.5 B. Additionally, the coherent structures started from the point where the flow direction distance was Z/B = 1. The coherent structure for the 20th mode was similar to that for the 10th mode, as it was extended in the flow direction. For the 50th mode, the coherent structure did not present a significant flow extension but was replaced by fragmented and smaller-scale structures.
- (3)
- In relation to the axial velocity shown in Figure 8b, the Z/B range of the coherent structure for the first mode was relatively large, being between 2 and 8. The flow direction was about 3 B, the spanwise direction was about 1B, and the lateral direction was about 1.5 B. For the 10th mode, we observed a larger Z/B amplitude within the range of 2–7. From the 20th mode, the coherent structure began to overlap and break, until, for the 50th mode, the completely broken iso-surface occupied all downstream ranges starting from Z/B = 0.5. For the circumferential velocity shown in Figure 8c, the coherent structure of the first mode was relatively continuous in the lateral direction, alternating between positive and negative flow directions oriented downstream. For the 10th mode, we observed a lower degree of continuity in the lateral direction compared with the first mode. From the 20th mode to the 50th mode, the coherent structure gradually dissolved in the lateral direction.
5. Conclusions
- (1)
- The hydrodynamic force was expressed as a combination of mode functions and their corresponding time coefficients. The mode functions provided certain independent contributions to the hydrodynamic force. Some mode functions strongly contributed to the hydrodynamic force, with values reaching 10%, while other mode functions contributed by less than 0.1%. The 1~50th modes contributed by 94~97.3% to the hydrodynamic force.
- (2)
- The mode functions showed fluctuations in the time domain throughout the total dynamic process. The fluctuation characteristics of the mode functions were quantified using time coefficients and showed harmonic characteristics in the time domain. Additionally, the PSD functions were calculated via the auto-spectrum method. In the frequency domain, the fluctuations of frictional drag and pressure drag presented significant narrow-band characteristics for lower-order modes; however, the fluctuations of the frictional drag became random with wide-band characteristics for higher-order modes.
- (3)
- Multi-scale vortices were induced by the shearing between the capsule boundary and the fluid flow. The interaction between the fluid flow and the capsule solid boundary was confirmed by the presence of coherent structures for different modes. As the mode order increased, the vortices became more fragile and their frequency increased. This phenomenon coincided with an increase in the growth of the time coefficient peaks. Ultimately, our modal analysis of hydrodynamic forces in a dynamic model was practical and conformed to the basic principles of physical mechanics.
Author Contributions
Funding
Institutional Review Board Statement
Informed Consent Statement
Data Availability Statement
Acknowledgments
Conflicts of Interest
Nomenclature
| B | width of annular gap |
| cp(t) | time coefficient of pressure drag |
| cf(t) | time coefficient of frictional drag |
| D | diameter of pipeline |
| DC | diameter of capsule |
| Df | frictional drag |
| DP | pressure drag |
| F(t) | hydrodynamic force on the capsule |
| Ff | frictional resistance |
| h(t) | complex response function |
| LC | length of capsule |
| m | mass of the capsule |
| Q | flow |
| RF(τ) | autocorrelation function |
| SF(ω) | auto-spectrum |
| t | time |
| T | time range |
| Tp | characteristic time scale |
| VC | motion speed of capsule |
| x | displacement of capsule |
| η | diameter ratio |
| ζ | damp ratio |
| ωn | natural angular frequency (undamped System) |
| ωd | natural angular frequency (damped vibration) |
| Φ, ψ | mode function |
References
- Li, T.; Xie, P.; Chang, J.; Chen, X. Rock-pipeline impact force and pipeline response during deep-water rock dumping operation. Mar. Struct. 2022, 7, 84. [Google Scholar] [CrossRef]
- Mahmoud, R.M.A.; Dodds, P.E. A technical evaluation to analyse of potential repurposing of submarine pipelines for hydrogen and CCS using survival analysis. Ocean Eng. 2022, 266, 112893. [Google Scholar] [CrossRef]
- Wang, R.; Zhu, Z.; Su, X.; Tang, D.; Jin, X.; Gruszczynski, M. Influence on the solid liquid two-phase flow from cross-section area of slurry pumps for deep-Sea mining. China Ocean Eng. 2022, 3, 439–450. [Google Scholar] [CrossRef]
- Li, Z.; Wang, G.; Wang, X.; Yao, S.; Yun, F.; Jia, P.; Wang, L. Semi-analytical methods for the joint strength and sealing performance in the failure process of the subsea pipeline compression connector. J. Mar. Sci. Eng. 2023, 11, 1417. [Google Scholar] [CrossRef]
- Reddy, N.V.K.; Pothal, J.K.; Barik, R.; Senapati, P.K. Pipeline slurry transportation system: An overview. J. Pipeline Syst. Eng. Pract. 2023, 14, 1–15. [Google Scholar] [CrossRef]
- Artana, K.B.; Pitana, T.; Dinariyana, D.P.; Ariana, M.; Kristianto, D.; Pratiwi, E. Real-time monitoring of subsea gas pipelines, offshore platforms, and ship inspection scores using an automatic identification system. J. Mar. Sci. Appl. 2018, 17, 101–111. [Google Scholar] [CrossRef]
- Zhang, F.; Bai, Y.; Badaruddin, M.F.; Tuty, S. Quantitative risk assessment & leak detection criteria for a subsea oil export pipeline. J. Mar. Sci. Appl. 2009, 8, 168–174. [Google Scholar] [CrossRef]
- O’Connell, R.; Lenau, C.; Zhao, T. Capsule separation by linear induction motor in pneumatic capsule pipeline capsule transport system. J. Pipeline Syst. Eng. Pract. 2010, 1, 84–90. [Google Scholar] [CrossRef]
- Paul, A.R.; Bhattacharyya, S. Analysis and design for hydraulic pipeline carrying capsule train. J. Pipeline Syst. Eng. Pract. 2021, 12, 1–12. [Google Scholar] [CrossRef]
- Yang, J.; Yan, J.; Zhao, Y.; Chen, J.; Jin, H. Coupled analysis of hydrodynamic responses of a small semi-submersible platform and a large floating body. J. Mar. Sci. Eng. 2023, 11, 1451. [Google Scholar] [CrossRef]
- Qi, J.; Yin, J.; Yan, F.; Liu, P.; Wang, T.; Chen, C. Liquid–solid flow characteristics in vertical swirling hydraulic transportation with tangential jet inlet. J. Mar. Sci. Eng. 2021, 9, 1091. [Google Scholar] [CrossRef]
- Zeinali, H.; Toma, P.; Kuru, E. Occurrence of naturally shaped lenticular bed deposit and its influence on the frictional pressure drop during pipeline transportation of low concentration slurries. J. Pipeline Syst. Eng. Pract. 2014, 6, 1–12. [Google Scholar] [CrossRef]
- Shi, H.; Yuan, J.; Li, Y. The Impact of swirls on slurry flows in horizontal pipelines. J. Mar. Sci. Eng. 2021, 9, 1201. [Google Scholar] [CrossRef]
- Zhao, L.; Ni, F. Analysis on the Hydraulic Gradient Calculation of Slurry Transport in Pipeline Based on Wasp Model. In Proceedings of the International Conference on Pipelines and Trenchless Technology, Xi’an, China, 16–18 October 2013. [Google Scholar]
- Bogdevicius, M.; Semaskaite, V.; Paulauskiene, T.; Uebe, J.; Danilevicius, A. Modelling and simulation hydrodynamics processes in liquefied natural gas transportation systems. J. Mar. Sci. Eng. 2022, 10, 1960. [Google Scholar] [CrossRef]
- Melchers, R.E. Internal corrosion of seabed ‘parked’ steel oil and gas pipelines. Ocean Eng. 2023, 276, 114145. [Google Scholar] [CrossRef]
- Bhardwaj, U.; Teixeira, A.P.; Soares, C.G. Probabilistic safety assessment of the burst strength of corroded pipelines of different steel grades with calibrated strength models. Mar. Struct. 2022, 86, 103310. [Google Scholar] [CrossRef]
- Cai, J.; Jiang, X.; Yang, Y.; Lodewijks, G.; Wang, M. Data-driven methods to predict the burst strength of corroded line pipelines subjected to internal pressure. J. Mar. Sci. Appl. 2022, 21, 115–132. [Google Scholar] [CrossRef]
- Patel, U.N.; Rothstein, J.P.; Modarres-Sadeghi, Y. Vortex-induced vibrations of a cylinder in inelastic shear-thinning and shear-thickening fluids. J. Fluid Mech. 2022, 934, A39. [Google Scholar] [CrossRef]
- Namazi-saleh, F.; Kurian, V.J.; Mustaffa, Z.; Tahan, M.; Kim, D. Effect of bed vicinity on vortex shedding and force coefficients of fluid flow on an offshore pipeline. J. Mar. Sci. Appl. 2017, 16, 81–86. [Google Scholar] [CrossRef]
- Ai, S.; Sun, L. The effect of functional loads on free spanning pipeline’s VIV response. J. Mar. Sci. Appl. 2009, 8, 151–155. [Google Scholar] [CrossRef]
- Ghorai, B.; Chatterjee, S.; Gourvenec, S. Generalized predictive framework for lateral break-out resistance of submarine pipelines considering nonlinear seabed geometry and consolidation. Appl. Ocean Res. 2021, 117, 102932. [Google Scholar] [CrossRef]
- Yang, H.; Guo, Z.; Wang, L.; Dou, Y.; Liu, Z. Experimental study on wave-induced seabed response and force on the pipeline shallowly buried in a submerged sandy slope. Ocean Eng. 2022, 251, 111153. [Google Scholar] [CrossRef]
- Lu, H.; Huang, K.; Wu, S. Vibration and stress analyses of positive displacement pump pipeline systems in oil transportation stations. J. Pipeline Syst. Eng. Pract. 2015, 7, 1–11. [Google Scholar] [CrossRef]
- Ulusarslan, D. Experimental investigation of the effect of diameter ratio on velocity ratio and pressure gradient for the spherical capsule train flow. Eur. J. Mech. B-Fluids 2013, 37, 42–47. [Google Scholar] [CrossRef]
- Zhao, Y.; Li, Y.; Song, X. PIV measurement and proper orthogonal decomposition analysis of annular gap flow of a hydraulic machine. Machines 2022, 10, 645. [Google Scholar] [CrossRef]
- Li, Y.; Sun, X.; Zhang, X. Study of the energy consumption of the piped vehicle hydraulic transportation. Adv. Mech. Eng. 2019, 11, 1–12. [Google Scholar] [CrossRef]
- Liu, H.; Graze, H. Lift and drag on stationary capsule in pipeline. J. Hydraul. Eng.-ASCE 1983, 109, 28–47. [Google Scholar] [CrossRef]
- Lu, Y.; Zhao, Y.; Yuan, Y.; Tian, Y.; Sun, X. Wheeled capsule threshold of motion at different locations in a horizontal bend pipeline based on hydraulic capsule pipeline transportation. Water 2022, 14, 3392. [Google Scholar] [CrossRef]
- Asim, T.; Mishra, R. Computational fluid dynamics based optimal design of hydraulic capsule pipelines transporting cylindrical capsules. Powder Technol. 2016, 295, 180–201. [Google Scholar] [CrossRef]
- Asim, T.; Mishra, R. Optimal design of hydraulic capsule pipelines transporting spherical capsules. Can. J. Chem. Eng. 2016, 94, 966–979. [Google Scholar] [CrossRef]
- Turkowski, M.; Szudarek, M. Pipeline system for transporting consumer goods, parcels and mail in capsules. Tunn. Undergr. Space Technol. 2019, 93, 1–13. [Google Scholar] [CrossRef]
- Zhao, H.; Zhou, J.; Ma, S.; Du, S.; Liu, H.; Han, L. Design and experiments of electro-hydrostatic actuator for wheel-legged robot with fast force control response. Machines 2023, 11, 685. [Google Scholar] [CrossRef]
- Nie, W.; He, H.; Sha, L.; Wang, C.; Du, F. Computational fluid dynamics simulation and optimization of hydropneumatic spring damper valves for heavy vehicle applications. Machines 2023, 11, 680. [Google Scholar] [CrossRef]
- Zhu, K.Q.; Zheng, D.C.; Cai, Y.; Yu, C.L.; Wang, R.; Liu, Y.L.; Zhang, F. Nonlinear hydrodynamic response of marine cable-body system under random dynamic excitations. J. Hydrodyn. 2009, 21, 851–855. [Google Scholar] [CrossRef]
- Akbar, M.A.; Wong, W.-O.; Rustighi, E. A hybrid damper with tunable particle impact damping and coulomb friction. Machines 2023, 11, 545. [Google Scholar] [CrossRef]
- Jiang, S.; Lin, Y.; Liu, J.; Xiao, L.; Zhang, S. Dynamics optimization research and dynamics accuracy and reliability analysis of a multi-link mechanism with clearances. Machines 2022, 10, 698. [Google Scholar] [CrossRef]
- Liu, T.; Chen, L.; Chen, W. Mechanics of Vibration, 3rd ed.; China Higher Education Press: Beijing, China, 2019; pp. 73–97. [Google Scholar]
- Yang, L.; Lin, H.; Han, C.; Karampour, H.; Luan, H.; Han, P.; Xu, H.; Zhang, S. A data-driven intelligent prediction approach for collision responses of Honeycomb reinforced pipe pile of the offshore platform. J. Mar. Sci. Eng. 2023, 11, 510. [Google Scholar] [CrossRef]
- Xiao, Q.; Wang, J.; Jiang, B.; Ding, Y.; Yang, X. Study on Nonlinear correlation in modal coefficients of the bionic airfoil. Machines 2023, 11, 88. [Google Scholar] [CrossRef]
- Lumley, J.; Blossey, P. Control of turbulence. Annu. Rev. Fluid Mech. 1998, 30, 311–327. [Google Scholar] [CrossRef]
- Vreman, A.W. An eddy-viscosity subgrid-scale model for turbulent shear flow: Algebraic theory and applications. Phys. Fluids 2004, 16, 3670–3681. [Google Scholar] [CrossRef]
- Hu, X.; Hayat, I.; Park, G.I. Wall-modelled large-eddy simulation of three-dimensional turbulent boundary layer in a bent square duct. J. Fluid Mech. 2023, 960, A29. [Google Scholar] [CrossRef]
- Hesse, F.; Morgans, A.S. Simulation of wake bimodality behind squareback bluff-bodies using LES. Comput. Fluids. 2021, 223, 104901. [Google Scholar] [CrossRef]
- Perrelli, M.; Cosco, F.; Gagliardi, F.; Mundo, D. In-process chatter detection using signal analysis in frequency and time-frequency domain. Machines 2022, 10, 24. [Google Scholar] [CrossRef]
- Balbus, S.A. When is high Reynolds number shear flow not turbulent? J. Fluid Mech. 2017, 824, 1–4. [Google Scholar] [CrossRef]
- Romero, S.; Zimmerman, S.; Philip, J.; Klewicki, J. Velocity spectra and scale decomposition of adverse pressure gradient turbulent boundary layers considering history effects. Int. J. Heat Fluid Flow 2023, 102, 109143. [Google Scholar] [CrossRef]
- Meena, M.G.; Taira, K. Identifying vortical network connectors for turbulent flow modification. J. Fluid Mech. 2021, 915, A10. [Google Scholar] [CrossRef]
- Marensi, E.; Yalnız, G.; Hof, B.; Budanur, N.B. Symmetry-reduced dynamic mode decomposition of near-wall turbulence. J. Fluid Mech. 2023, 954, A10. [Google Scholar] [CrossRef]
- Premaratne, P.; Tian, W.; Hu, H. A Proper-orthogonal-decomposition (POD) Study of the wake characteristics behind a wind turbine model. Energies 2022, 15, 3596. [Google Scholar] [CrossRef]









| Condition | Q = 40 m3 h−1 | ||
|---|---|---|---|
| Diameter ratio | η = 0.6 | η = 0.7 | η = 0.8 |
| Relative error | 3.21% | 2.52% | 2.15% |
Disclaimer/Publisher’s Note: The statements, opinions and data contained in all publications are solely those of the individual author(s) and contributor(s) and not of MDPI and/or the editor(s). MDPI and/or the editor(s) disclaim responsibility for any injury to people or property resulting from any ideas, methods, instructions or products referred to in the content. |
© 2023 by the authors. Licensee MDPI, Basel, Switzerland. This article is an open access article distributed under the terms and conditions of the Creative Commons Attribution (CC BY) license (https://creativecommons.org/licenses/by/4.0/).
Share and Cite
Zhao, Y.; Li, Y.; Sun, X. Modal Analysis of the Hydrodynamic Force of a Capsule in a Hydraulic Capsule Pipeline. J. Mar. Sci. Eng. 2023, 11, 1738. https://doi.org/10.3390/jmse11091738
Zhao Y, Li Y, Sun X. Modal Analysis of the Hydrodynamic Force of a Capsule in a Hydraulic Capsule Pipeline. Journal of Marine Science and Engineering. 2023; 11(9):1738. https://doi.org/10.3390/jmse11091738
Chicago/Turabian StyleZhao, Yiming, Yongye Li, and Xihuan Sun. 2023. "Modal Analysis of the Hydrodynamic Force of a Capsule in a Hydraulic Capsule Pipeline" Journal of Marine Science and Engineering 11, no. 9: 1738. https://doi.org/10.3390/jmse11091738
APA StyleZhao, Y., Li, Y., & Sun, X. (2023). Modal Analysis of the Hydrodynamic Force of a Capsule in a Hydraulic Capsule Pipeline. Journal of Marine Science and Engineering, 11(9), 1738. https://doi.org/10.3390/jmse11091738

