Enhancement of Cruise Boat Resilience to Strong Convective Gusts with Global Model Cumulus Variable Prediction
Abstract
1. Introduction
2. Data
2.1. Numerical Weather Prediction Product
2.2. Ship AIS Data
2.3. CMORPH Satellite Precipitation Data
3. Weather Component Analysis during the “Oriental Star” Accident
3.1. Purpose
- Dynamic meteorology tells us the more convective the cell is, the more possible it is that we see an accompanying strong surface wind. But strong surface wind gusts and local heavy rains are not 100% present. This paper only discusses the possibility of the warning of strong surface wind gusts associated with a “deep-convective event”. In other words, the probability exists that the findings may not fully warn of short-term convective gusts each time, but regardless, our purpose is to avoid deadly cruise boat capsizes.
 - The space-time scale of the short-term strong wind gust’s actual activity range is much smaller than the resolution of the conventional weather model. Therefore, the direct forecast of a sub-grid short-term strong wind is often ineffective in terms of advancement and accuracy. The focus of this paper is to solve this problem from the perspective of indirect forecasting.
 - The cause for each ship accident may normally be due to, but is not limited to, just one factor. In the “Oriental Star” case, the national investigation report [3] concludes more than four possible factors, e.g., the captain’s disastrous operation, a ship renovation flaw, the lack of attention by the maritime safety administration, and an adverse weather component. But this work only discusses the external non-human factor, i.e., potential weather predictor analysis.
 
3.2. Surface Wind Analysis
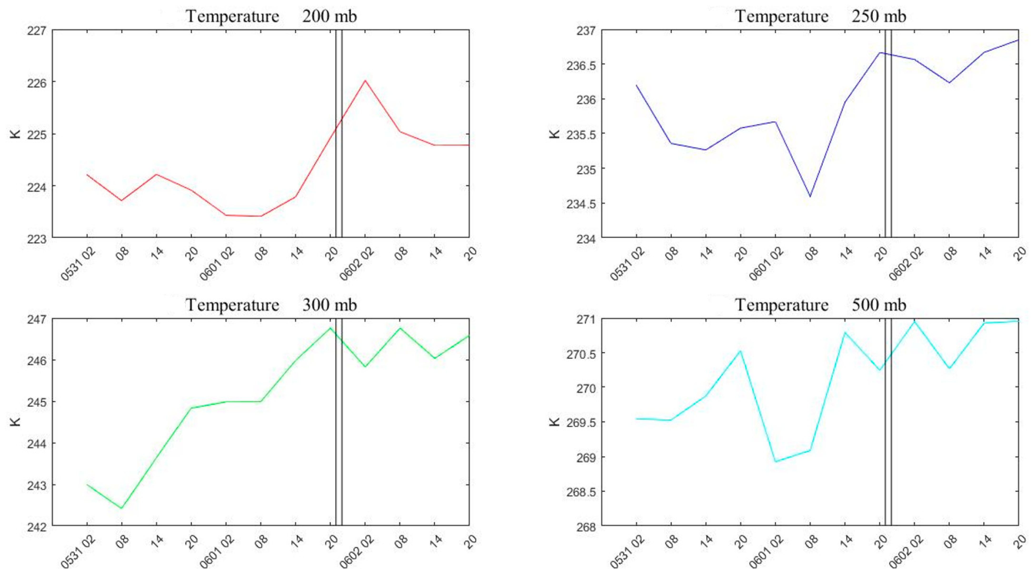
3.3. Investigate Weather Components in Deterministic Product
3.4. Predicted CP Following “Oriental Star” Last Route
3.5. Extended Study: Ensemble Forecast
4. CP Warning Effect Verification in Another Two Similar Accidents
5. Development of an Auto-Response Early-Warning System
5.1. Purpose of the Warning System
5.2. Core of the System
5.3. Input and Output of the Warning System
6. Conclusions
Author Contributions
Funding
Institutional Review Board Statement
Informed Consent Statement
Data Availability Statement
Acknowledgments
Conflicts of Interest
References
- Beljaars, A.C.M. The Measurement of Gustiness at Routine Wind Stations: A Review; Instruments and Observing Methods Report No. 31; World Meteorological Organization (WMO): Geneva, Switzerland, 1987. [Google Scholar]
 - Watts, A. Weather forecasting for small craft. J. Navig. 1977, 30, 474–478. [Google Scholar] [CrossRef]
 - National Investigation Report on the “Oriental Star” Shipwreck Incident. 2015. Available online: http://sh.sina.com.cn/news/g/2015-12-30/detail-ifxmxxyq4773338.shtml (accessed on 7 July 2023).
 - Collier, C.G.; Dixon, J.; Harrison, M.S.J.; Hunt, J.C.R.; Mitchell, J.F.B.; Richardson, D.S. Extreme surface winds in mid-latitude storms: Forecasting and changes in climatology. J. Wind Eng. Ind. Aerodyn. 1994, 52, 1–27. [Google Scholar] [CrossRef]
 - Nakamura, K.; Kershaw, R.; Gait, N. Prediction of near-surface gusts generated by deep convection. Meteorol. Appl. 1996, 3, 157–167. [Google Scholar] [CrossRef]
 - Mao, Y.W. Meteorological Early Warning Service in the “Oriental Star” Passenger Ship Overturning Event and Its Enlight-enment. Cities Disaster Reduct. 2018, 2, 15–18. [Google Scholar]
 - Friederichs, P.; Gober, M.; Bentzien, S.; Lenz, A.; Krampitz, R. A probabilistic analysis of wind gusts using extreme value statistics. Meteorol. Z. 2009, 18, 615–629. [Google Scholar] [CrossRef] [PubMed]
 - Weggel, J.R. Maximum daily wind gusts related to mean daily wind speed. J. Struct. Eng. 1999, 125, 465–468. [Google Scholar] [CrossRef]
 - International Maritime Organization (IMO). MSC.1/Circular.1281/Annex/Chapter3, Origin of Present Stability Criteria, Explanatory Notes to the International Code on Intact Stability. 2008. Available online: https://puc.overheid.nl/nsi/doc/PUC_1941_14/1/ (accessed on 22 July 2023).
 - Patlakas, P.; Galanis, G.; Barranger, N.; Kallos, G. Extreme wind events in a complex maritime environment: Ways of quantification. J. Wind Eng. Ind. Aerodyn. 2016, 149, 89–101. [Google Scholar] [CrossRef]
 - Patlakas, P.; Drakaki, E.; Galanis, G.; Spyrou, C.; Kallos, G. Wind gust estimation by combining a numerical weather prediction model and statistical post-processing. Energy Procedia 2017, 125, 190–198. [Google Scholar] [CrossRef]
 - Chen, C.; Sasa, K.; Ohsawa, T.; Prpić-Oršić, J. Comparative study on WRF model simulations from the viewpoint of optimum ship routing. Ocean. Eng. 2020, 207, 107379. [Google Scholar] [CrossRef]
 - Gutiérrez, A.; Porrini, C.; Fovell, R. Combination of wind gust models in convective events. J. Wind Eng. Ind. Aerodyn. 2020, 199, 104–118. [Google Scholar] [CrossRef]
 - Brown, R.D.; Swail, V.R. Over-water gust factors. Ocean. Eng. 1991, 18, 363–394. [Google Scholar] [CrossRef]
 - Sasa, K.; Incecik, A. Numerical simulation of anchored ship motions due to wave and wind forces for enhanced safety in offshore harbor refuge. Ocean Eng. 2012, 44, 68–78. [Google Scholar] [CrossRef]
 - Jian, J.; Yu, M.J.; Shi, M.L.; Chen, J.H. Early warning of gust according to C_P change rate from numerical weather products. Navig. China 2020, 43, 25–30. [Google Scholar]
 - Persson, A. User Guide to ECMWF Forecast Products; European Centre for Medium-Range Weather Forecast: Reading, UK, 2011. [Google Scholar]
 - Joyce, R.J.; Janowiak, J.E.; Arkin, P.A.; Xie, P. CMORPH: A method that produces global precipitation estimates from passive microwave and infrared data at 8-km, hourly resolution. J. Hydrometeorol. 2004, 5, 487–503. [Google Scholar] [CrossRef]
 - Sakata, S.; Ashida, F.; Zako, M. Structural optimization using Kriging approximation. Comput. Methods Appl. Mech. Eng. 2003, 192, 923–939. [Google Scholar] [CrossRef]
 - Tracton, M.S.; Kalnay, E. Operational ensemble prediction at the National Meteorological Center: Practical aspects. Weather Forecast. 1993, 8, 379–398. [Google Scholar] [CrossRef]
 - Buizza, R.; Milleer, M.; Palmer, T.N. Stochastic representation of model uncertainties in the ECMWF ensemble prediction system. Q. J. R. Meteorol. Soc. 1999, 125, 2887–2908. [Google Scholar] [CrossRef]
 - Webster, P.J.; Jian, J.; Hopson, T.M.; Hoyos, C.D.; Agudelo, P.A.; Chang, H.R.; Curry, J.A.; Grossman, R.L.; Palmer, T.N.; Subbiah, A.R. Extended-range probabilistic forecasts of Ganges and Brahmaputra floods in Bangladesh. Bull. Am. Meteorol. Soc. 2010, 91, 1493–1514. [Google Scholar] [CrossRef]
 - Christ, E.H.; Webster, P.J.; Snider, J.L.; Toma, V.E.; Ooserhuis, D.M.; Chastain, D.R. Predicting heat stress using probabilistic canopy temperature forecasts. Agron. J. 2015, 108, 1981–1991. [Google Scholar] [CrossRef]
 - Don, P.K.; Evans, J.L.; Chiaromonte, F.; Kowaleski, A.M. Mixture-Based Path Clustering for Synthesis of ECMWF Ensemble Forecasts of Tropical Cyclone Evolution. Mon. Weather Rev. 2016, 144, 3301–3320. [Google Scholar] [CrossRef]
 - Skoglund, L.; Kuttenkeuler, J.; Rosén, A.; Ovegard, E. A comparative study of deterministic and ensemble weather forecasts for weather routing. J. Mar. Sci. Technol. 2015, 20, 429–441. [Google Scholar] [CrossRef]
 - Investigation Report on Guangyuan Bailong Lake “6.4” Major Shipwreck. Available online: http://www.safehoo.com/Case/Case/Drowned/201612/468757.shtml (accessed on 7 July 2023).
 - Thailand Authority Report. 2018. Available online: https://thethaiger.com/news/phuket/phoenix-substandard-more-officials-face-legal-action (accessed on 1 August 2021).
 - Azorin-Molina, C.; Guijarro, J.A.; McVicar, T.R.; Vicente-Serrano, S.M.; Chen, D.L.; Jerez, S.; Espirito-Stanto, F. Trends of daily peak wind gusts in Spain and Portugal, 1961–2014. J. Geophys. Res. Atmos. 2016, 121, 1059–1078. [Google Scholar] [CrossRef]
 - Cho, J.Y.; Keum, J.S.; Jang, W.J. A study on the effects of marine accidents by navigation officer’s fatigue. Metab. Clin. Exp. 2010, 57, 946–953. [Google Scholar]
 - Jian, J.; Webster, P.J. A new marine auto-response quantitative wind forecast system. Procedia Soc. Behav. Sci. 2013, 96, 1362–1365. [Google Scholar] [CrossRef]
 - Page, D. The future navigation of small craft both at sea and in the air. J. Navig. 1992, 45, 13–18. [Google Scholar] [CrossRef]
 












| Abbreviation | Full Name | Level | Unit | Variation in “Oriental Star” Accident | 
|---|---|---|---|---|
| 2D, 2T | Dew point and air temperature | 2 m above surface | K | No | 
| CP | Cumulus precipitation | Surface | M | Extreme value fits the accident’s location and time | 
| LSP | Large-scale precipitation | Surface | M | No | 
| MSL | Mean sea-level pressure | Surface | Pa | No | 
| Q | Specific humidity | 700 mb, 850 mb  | kg/kg (%) | No | 
| SLHF, SSHF, SSR, STR | Latent and sensible heat flux, solar, and thermal radiation  | Surface | W/m2s | No | 
| GH | Geopotential height | 700 mb, 850 mb  | Gmp | No | 
| T | Air temperature | 200 mb | K | Middle of increasing trend | 
| T | Air temperature | 250 mb | K | End of increasing trend | 
| T | Air temperature | 300 mb | K | End of increasing trend | 
| T | Air temperature | 500 mb | K | No | 
| U, V | Horizontal wind velocity | 10 m above surface, 200 mb, 700 mb, 850 mb | m/s | No | 
| VO | Vorticity | 700 mb, 850 mb  | 1/s | No | 
Disclaimer/Publisher’s Note: The statements, opinions and data contained in all publications are solely those of the individual author(s) and contributor(s) and not of MDPI and/or the editor(s). MDPI and/or the editor(s) disclaim responsibility for any injury to people or property resulting from any ideas, methods, instructions or products referred to in the content.  | 
© 2023 by the authors. Licensee MDPI, Basel, Switzerland. This article is an open access article distributed under the terms and conditions of the Creative Commons Attribution (CC BY) license (https://creativecommons.org/licenses/by/4.0/).
Share and Cite
Jian, J.; Chen, J.; Webster, P.J. Enhancement of Cruise Boat Resilience to Strong Convective Gusts with Global Model Cumulus Variable Prediction. J. Mar. Sci. Eng. 2023, 11, 1588. https://doi.org/10.3390/jmse11081588
Jian J, Chen J, Webster PJ. Enhancement of Cruise Boat Resilience to Strong Convective Gusts with Global Model Cumulus Variable Prediction. Journal of Marine Science and Engineering. 2023; 11(8):1588. https://doi.org/10.3390/jmse11081588
Chicago/Turabian StyleJian, Jun, Jinhai Chen, and Peter J. Webster. 2023. "Enhancement of Cruise Boat Resilience to Strong Convective Gusts with Global Model Cumulus Variable Prediction" Journal of Marine Science and Engineering 11, no. 8: 1588. https://doi.org/10.3390/jmse11081588
APA StyleJian, J., Chen, J., & Webster, P. J. (2023). Enhancement of Cruise Boat Resilience to Strong Convective Gusts with Global Model Cumulus Variable Prediction. Journal of Marine Science and Engineering, 11(8), 1588. https://doi.org/10.3390/jmse11081588
        
