Three-Dimensional Ultrasonic Reverse-Time Migration Imaging of Submarine Pipeline Nondestructive Testing in Cylindrical Coordinates
Abstract
1. Introduction
2. Methodology
2.1. Equations of Motion and Grid Discretization in Cylindrical Coordinates
2.2. Boundary Conditions
2.3. Reverse-Time Migration Method
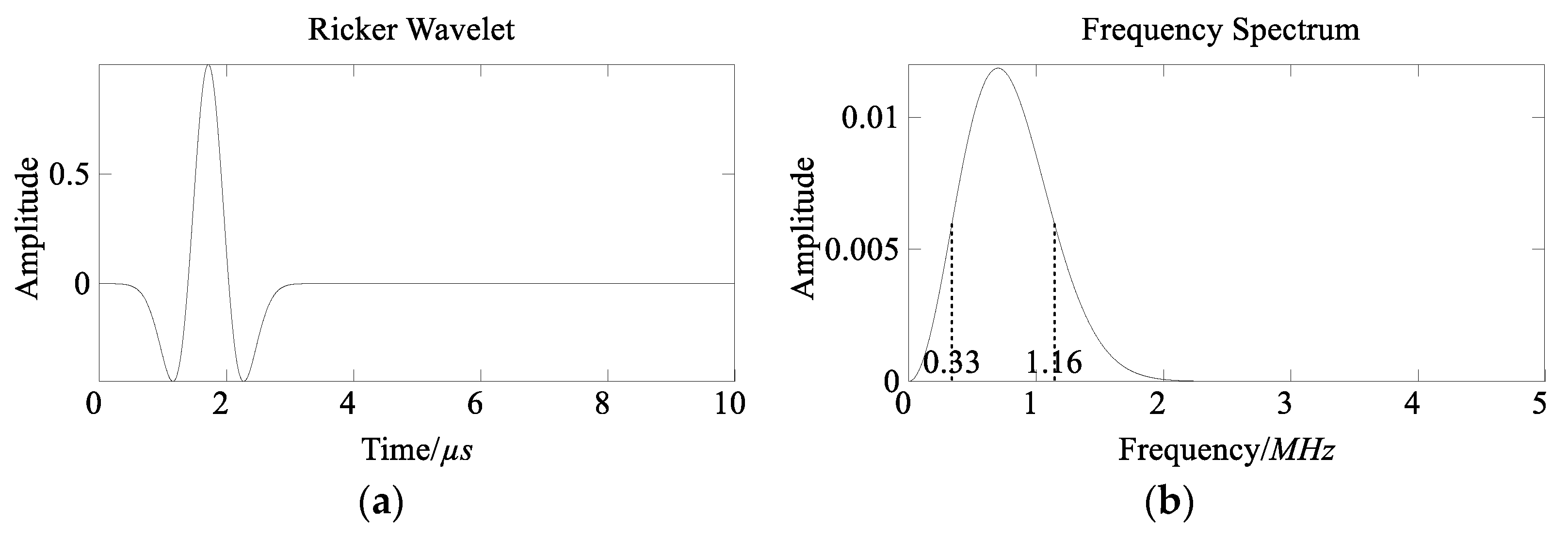
2.4. Signal Processing
2.5. Implementations
3. Numerical Simulation Results
3.1. Modeling and Survey Layout
3.1.1. Survey Layout
3.1.2. Modeling
3.2. Forward Modeling Results
3.2.1. Model-1
3.2.2. Model-2
3.2.3. Model-3
3.3. RTM Results
3.3.1. Signal Processing Results
3.3.2. Imaging Results
4. Laboratory Experiment and Results
4.1. Experimental Setup and Observing System
4.2. Results
5. Conclusions
Author Contributions
Funding
Institutional Review Board Statement
Informed Consent Statement
Data Availability Statement
Conflicts of Interest
References
- Du, F.; Li, C.; Wang, W. Development of Subsea Pipeline Buckling, Corrosion and Leakage Monitoring. J. Mar. Sci. Eng. 2023, 11, 188. [Google Scholar] [CrossRef]
- Dong, Y.; Wang, D.; Randolph, M.F. Investigation of impact forces on pipeline by submarine landslide using material point method. Ocean Eng. 2017, 146, 21–28. [Google Scholar] [CrossRef]
- Li, R.; Chen, B.Q.; Guedes Soares, C. Design Equation of Buckle Propagation Pressure for Pipe-in-Pipe Systems. J. Mar. Sci. Eng. 2023, 11, 622. [Google Scholar] [CrossRef]
- Dong, Y.; Ji, G.; Fang, L.; Liu, X. Fatigue Strength Assessment of Single-Sided Girth Welds in Offshore Pipelines Subjected to Start-Up and Shut-Down Cycles. J. Mar. Sci. Eng. 2022, 10, 1879. [Google Scholar] [CrossRef]
- Mahmutoglu, Y.; Turk, K. Received signal strength difference based leakage localization for the underwater natural gas pipelines. Appl. Acoust. 2019, 153, 14–19. [Google Scholar] [CrossRef]
- Kakaie, A.; Soares, C.G.; Ariffin, A.K.; Punurai, W. Fatigue Reliability Analysis of Submarine Pipelines Using the Bayesian Approach. J. Mar. Sci. Eng. 2023, 11, 580. [Google Scholar] [CrossRef]
- Dong, Y.; Liao, Z.; Wang, J.; Liu, Q.; Cui, L. Potential failure patterns of a large landslide complex in the Three Gorges Reservoir area. Bull. Eng. Geol. Environ. 2023, 82, 41. [Google Scholar] [CrossRef]
- Hong, X.; Huang, L.; Gong, S.; Xiao, G. Shedding damage detection of metal underwater pipeline external anticorrosive coating by ultrasonic imaging based on HOG + SVM. J. Mar. Sci. Eng. 2021, 9, 364. [Google Scholar] [CrossRef]
- Sheng, H.; Wang, P. Evaluation of Pipeline Steel Mechanical Property Distribution Based on Multimicromagnetic NDT Method. IEEE Trans. Instrum. Meas. 2023, 72, 6001715. [Google Scholar] [CrossRef]
- Wu, D.; Liu, Z.; Wang, X.; Su, L. Composite magnetic flux leakage detection method for pipelines using alternating magnetic field excitation. NDT E Int. 2017, 91, 148–155. [Google Scholar] [CrossRef]
- Abou-Khousa, M.A.; Rahman, M.S.U.; Donnell, K.M.; Al Qaseer, M.T. Detection of Surface Cracks in Metals using Microwave and Millimeter Wave Nondestructive Testing Techniques—A Review. IEEE Trans. Instrum. Meas. 2023, 72, 8000918. [Google Scholar] [CrossRef]
- Yao, Y.; Tung ST, E.; Glisic, B. Crack detection and characterization techniques—An overview. Struct. Control Health Monit. 2014, 21, 1387–1413. [Google Scholar] [CrossRef]
- Felice, M.V.; Fan, Z. Sizing of flaws using ultrasonic bulk wave testing: A review. Ultrasonics 2018, 88, 26–42. [Google Scholar] [CrossRef]
- Vogelaar, B.; Golombok, M. Quantification and localization of internal pipe damage. Mech. Syst. Signal Process. 2016, 78, 107–117. [Google Scholar] [CrossRef]
- Barros, B.; Conde, B.; Cabaleiro, M.; Riveiro, B. Deterministic and probabilistic-based model updating of aging steel bridges. Structures 2023, 54, 89–105. [Google Scholar] [CrossRef]
- Morokov, E.; Levin, V.; Chernov, A.; Shanygin, A. High resolution ply-by-ply ultrasound imaging of impact damage in thick CFRP laminates by high-frequency acoustic microscopy. Compos. Struct. 2021, 256, 113102. [Google Scholar] [CrossRef]
- Morokov, E.; Titov, S.; Levin, V. In situ high-resolution ultrasonic visualization of damage evolution in the volume of quasi-isotropic CFRP laminates under tension. Compos. Part B Eng. 2022, 247, 110360. [Google Scholar] [CrossRef]
- Zhu, W.; Xiang, Y.; Zhang, H.; Zhang, M.; Fan, G.; Zhang, H. Super-resolution ultrasonic Lamb wave imaging based on sign coherence factor and total focusing method. Mech. Syst. Signal Process. 2023, 190, 110121. [Google Scholar] [CrossRef]
- Drinkwater, B.W.; Wilcox, P.D. Ultrasonic arrays for non-destructive evaluation: A review. NDT E Int. 2006, 39, 525–541. [Google Scholar] [CrossRef]
- Portzgen, N.; Gisolf, D.; Blacquiere, G. Inverse wave field extrapolation: A different NDI approach to imaging defects. IEEE Trans. Ultrason. Ferroelectr. Freq. Control 2006, 54, 118–127. [Google Scholar] [CrossRef]
- Bai, Z.; Chen, S.; Jia, L.; Zeng, Z. Phased array ultrasonic signal compressive detection in low-pressure turbine disc. NDT E Int. 2017, 89, 1–13. [Google Scholar] [CrossRef]
- Langenberg, K.; Berger, M.; Kreutter, T.; Mayer, K.; Schmitz, V. Synthetic aperture focusing technique signal processing. NDT Int. 1986, 19, 177–189. [Google Scholar] [CrossRef]
- Ni, C.Y.; Chen, C.; Ying, K.N.; Dai, L.N.; Yuan, L.; Kan, W.W.; Shen, Z.H. Non-destructive laser-ultrasonic Synthetic Aperture Focusing Technique (SAFT) for 3D visualization of defects. Photoacoustics 2021, 22, 100248. [Google Scholar] [CrossRef] [PubMed]
- Seo, H.; Pyun, D.K.; Jhang, K.Y. Synthetic aperture imaging of contact acoustic nonlinearity to visualize the closing interfaces using tone-burst ultrasonic waves. Mech. Syst. Signal Process. 2019, 125, 257–274. [Google Scholar] [CrossRef]
- Silk, M.G. The use of diffraction-based time-of-flight measurements to locate and size defects. Br. J. Non-Destr. Test. 1984, 26, 208–213. [Google Scholar]
- Sun, X.; Lin, L.; Jin, S. Resolution Enhancement in Ultrasonic TOFD Imaging by Combining Sparse Deconvolution and Synthetic Aperture Focusing Technique (Sparse-SAFT). Chin. J. Mech. Eng. 2022, 35, 94. [Google Scholar] [CrossRef]
- Yang, F.; Shi, D.; Lo, L.-Y.; Mao, Q.; Zhang, J.; Lam, K.-H. Auto-Diagnosis of Time-of-Flight for Ultrasonic Signal Based on Defect Peaks Tracking Model. Remote Sens. 2023, 15, 599. [Google Scholar] [CrossRef]
- Holmes, C.; Drinkwater, B.W.; Wilcox, P.D. Post-processing of the full matrix of ultrasonic transmit–receive array data for non-destructive evaluation. NDT E Int. 2005, 38, 701–711. [Google Scholar] [CrossRef]
- He, H.; Sun, K.; Sun, C.; He, J.; Liang, E.; Liu, Q. Suppressing artifacts in the total focusing method using the directivity of laser ultrasound. Photoacoustics 2023, 31, 100490. [Google Scholar] [CrossRef]
- Müller, S.; Niederleithinger, E.; Bohlen, T. Reverse time migration: A seismic imaging technique applied to synthetic ultrasonic data. Int. J. Geophys. 2012, 2012, 128465. [Google Scholar] [CrossRef]
- He, J.; Leckey, C.A.; Leser, P.E.; Leser, W.P. Multi-mode reverse time migration damage imaging using ultrasonic guided waves. Ultrasonics 2019, 94, 319–331. [Google Scholar] [CrossRef]
- Yang, X.; Wang, K.; Xu, Y.; Xu, L.; Hu, W.; Wang, H.; Su, Z. A reverse time migration-based multistep angular spectrum approach for ultrasonic imaging of specimens with irregular surfaces. Ultrasonics 2020, 108, 106233. [Google Scholar] [CrossRef] [PubMed]
- Rao, J.; Wang, J.; Kollmannsberger, S.; Shi, J.; Fu, H.; Rank, E. Point cloud-based elastic reverse time migration for ultrasonic imaging of components with vertical surfaces. Mech. Syst. Signal Process. 2022, 163, 108144. [Google Scholar] [CrossRef]
- Nguyen, L.T.; Modrak, R.T. Ultrasonic wavefield inversion and migration in complex heterogeneous structures: 2D numerical imaging and nondestructive testing experiments. Ultrasonics 2018, 82, 357–370. [Google Scholar] [CrossRef] [PubMed]
- Whitmore, N.D. Iterative depth migration by backward time propagation. In SEG Technical Program Expanded Abstracts 1983; Society of Exploration Geophysicists: Houston, TX, USA, 1983; pp. 382–385. [Google Scholar] [CrossRef]
- Baysal, E.; Kosloff, D.D.; Sherwood JW, C. Reverse time migration. Geophysics 1983, 48, 1514–1524. [Google Scholar] [CrossRef]
- Chang, W.F.; McMechan, G.A. 3-D elastic prestack, reverse-time depth migration. Geophysics 1994, 59, 597–609. [Google Scholar] [CrossRef]
- Ma, X.; Li, H.; Gui, Z.; Peng, X.; Li, G. Frequency-Domain Q-Compensated Reverse Time Migration Using a Stabilization Scheme. Remote Sens. 2022, 14, 5850. [Google Scholar] [CrossRef]
- Fang, J.; Shi, Y.; Zhou, H.; Chen, H.; Zhang, Q.; Wang, N. A High-Precision Elastic Reverse-Time Migration for Complex Geologic Structure Imaging in Applied Geophysics. Remote Sens. 2022, 14, 3542. [Google Scholar] [CrossRef]
- Fink, M. Time reversal of ultrasonic fields. I. Basic principles. IEEE Trans. Ultrason. Ferroelectr. Freq. Control 1992, 39, 555–566. [Google Scholar] [CrossRef]
- Ji, K.; Zhao, P.; Zhuo, C.; Chen, J.; Wang, X.; Gao, S.; Fu, J. Ultrasonic full-matrix imaging of curved-surface components. Mech. Syst. Signal Process. 2022, 181, 109522. [Google Scholar] [CrossRef]
- Liu, H.; Qi, Y.; Chen, Z.; Tong, H.; Liu, C.; Zhuang, M. Ultrasonic inspection of grouted splice sleeves in precast concrete structures using elastic reverse time migration method. Mech. Syst. Signal Process. 2021, 148, 107152. [Google Scholar] [CrossRef]
- Zhang, Y.; Gao, X.; Zhang, J.; Jiao, J. An Ultrasonic Reverse Time Migration Imaging Method Based on Higher-Order Singular Value Decomposition. Sensors 2022, 22, 2534. [Google Scholar] [CrossRef] [PubMed]
- Rao, J.; Saini, A.; Yang, J.; Ratassepp, M.; Fan, Z. Ultrasonic imaging of irregularly shaped notches based on elastic reverse time migration. NDT E Int. 2019, 107, 102135. [Google Scholar] [CrossRef]
- Jia, D.; Zhang, W.; Wang, Y.; Liu, Y. A new approach for cylindrical steel structure deformation monitoring by dense point clouds. Remote Sens. 2021, 13, 2263. [Google Scholar] [CrossRef]
- Ren, Y.; Wang, J.; Yang, Z.; Xu, X.; Chen, L. Pre-stack elastic reverse time migration in tunnels based on cylindrical coordinates. J. Rock Mech. Geotech. Eng. 2022, 14, 1933–1945. [Google Scholar] [CrossRef]
- Zheng, Y.; Cheng, F.; Liu, J.; Fan, Z.; Han, B.; Wang, J. Elastic full-wave field simulation in 3D tunnel space with the variable staggered-grid finite-difference method in cylindrical coordinates. J. Appl. Geophys. 2023, 213, 105013. [Google Scholar] [CrossRef]
- Nguyen, L.T.; Kocur, G.K.; Saenger, E.H. Defect mapping in pipes by ultrasonic wavefield cross-correlation: A synthetic verification. Ultrasonics 2018, 90, 153–165. [Google Scholar] [CrossRef]
- Liu, Q.H.; Sinha, B.K. A 3D cylindrical PML/FDTD method for elastic waves in fluid-filled pressurized boreholes in triaxially stressed formations. Geophysics 2003, 68, 1731–1743. [Google Scholar] [CrossRef]
- Virieux, J. P-SV wave propagation in heterogeneous media: Velocity-stress finite-difference method. Geophysics 1986, 51, 889–901. [Google Scholar] [CrossRef]
- Zeng, C.; Xia, J.; Miller, R.D.; Tsoflias, G.P. An improved vacuum formulation for 2D finite-difference modeling of Rayleigh waves including surface topography and internal discontinuities. Geophysics 2012, 77, T1–T9. [Google Scholar] [CrossRef]
- Liu, Q.H. Perfectly matched layers for elastic waves in cylindrical and spherical coordinates. J. Acoust. Soc. Am. 1999, 105, 2075–2084. [Google Scholar] [CrossRef]
- Chattopadhyay, S.; McMechan, G.A. Imaging conditions for prestack reverse-time migration. Geophysics 2008, 73, S81–S89. [Google Scholar] [CrossRef]
- Zhang, Y.; Sun, J. Practical issues in reverse time migration: True amplitude gathers, noise removal and harmonic source encoding. First Break 2009, 27. [Google Scholar] [CrossRef]
- Velis, D.R.; Ulrych, T.J. Simulated annealing wavelet estimation via fourth-order cumulant matching. Geophysics 1996, 61, 1939–1948. [Google Scholar] [CrossRef]
- Buland, A.; Omre, H. Bayesian wavelet estimation from seismic and well data. Geophysics 2003, 68, 2000–2009. [Google Scholar]


















| No. | ||
|---|---|---|
| (1) Slag inclusion | 1866.0 | 2466.0 |
| (2) Hole | 1400.0 | 1850.0 |
| (3) Submarine pipeline | 5600.0 | 7400.0 |
Disclaimer/Publisher’s Note: The statements, opinions and data contained in all publications are solely those of the individual author(s) and contributor(s) and not of MDPI and/or the editor(s). MDPI and/or the editor(s) disclaim responsibility for any injury to people or property resulting from any ideas, methods, instructions or products referred to in the content. |
© 2023 by the authors. Licensee MDPI, Basel, Switzerland. This article is an open access article distributed under the terms and conditions of the Creative Commons Attribution (CC BY) license (https://creativecommons.org/licenses/by/4.0/).
Share and Cite
Peng, D.; Cheng, F.; She, X.; Zheng, Y.; Tang, Y.; Fan, Z. Three-Dimensional Ultrasonic Reverse-Time Migration Imaging of Submarine Pipeline Nondestructive Testing in Cylindrical Coordinates. J. Mar. Sci. Eng. 2023, 11, 1459. https://doi.org/10.3390/jmse11071459
Peng D, Cheng F, She X, Zheng Y, Tang Y, Fan Z. Three-Dimensional Ultrasonic Reverse-Time Migration Imaging of Submarine Pipeline Nondestructive Testing in Cylindrical Coordinates. Journal of Marine Science and Engineering. 2023; 11(7):1459. https://doi.org/10.3390/jmse11071459
Chicago/Turabian StylePeng, Daicheng, Fei Cheng, Xiaoyu She, Yunpeng Zheng, Yongjie Tang, and Zhuo Fan. 2023. "Three-Dimensional Ultrasonic Reverse-Time Migration Imaging of Submarine Pipeline Nondestructive Testing in Cylindrical Coordinates" Journal of Marine Science and Engineering 11, no. 7: 1459. https://doi.org/10.3390/jmse11071459
APA StylePeng, D., Cheng, F., She, X., Zheng, Y., Tang, Y., & Fan, Z. (2023). Three-Dimensional Ultrasonic Reverse-Time Migration Imaging of Submarine Pipeline Nondestructive Testing in Cylindrical Coordinates. Journal of Marine Science and Engineering, 11(7), 1459. https://doi.org/10.3390/jmse11071459

