A Numerical Investigation of the Dynamic Interaction between the Deep-Sea Mining Vehicle and Sediment Plumes Based on a Small-Scale Analysis
Abstract
1. Introduction
2. Methods
2.1. Equations of Flow Field
2.2. The Lagrangian Discrete Phase Model (DPM)
2.3. The Numerical Model Setup
2.3.1. Computational Domain Setting
2.3.2. Sensitivity Analyses of Mesh Parameters
2.3.3. Research Condition Settings
- The current boundary condition of the inlet was 0.01 m/s. The travel of the DSMV started at the same time as the discharge of the plume. The simulation time was 2 s.
- The percentage of sediment in the plume: the initial setting of the sediment percentage was operated at 20%. Then, the parameter estimate for the resulting sediment discharge rate was 0.29 kg/s with up = 2.0 m/s in Table 3.
3. Results and Discussion
3.1. Hydrodynamic Analysis
3.1.1. Dynamic Interaction Analysis Based on the DSMV and the Plume Vortex Structure
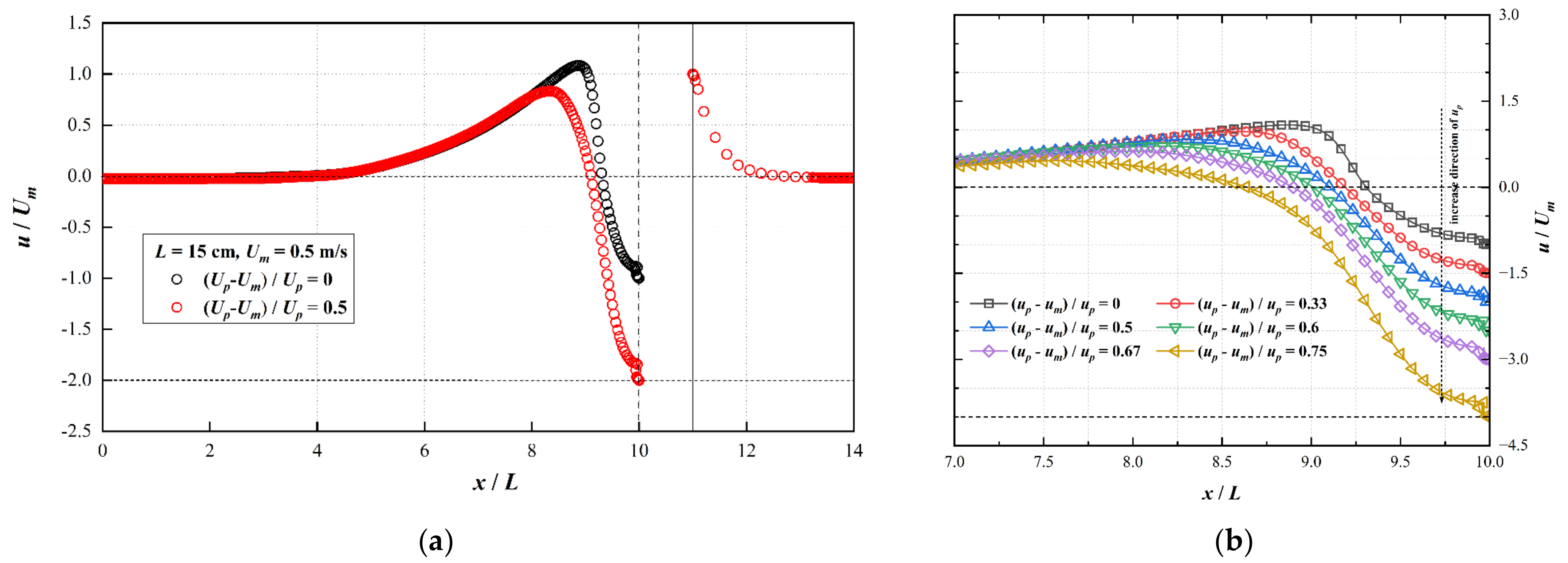
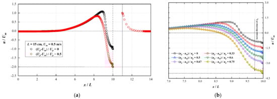
3.1.2. Dynamic Interaction Analysis Based on Turbulent Velocity Profiles
3.2. Analysis of Sediment Particles
3.2.1. Flat Cross-Section Distribution of Particle Concentration
3.2.2. Cross-Sections Distribution of Particle Concentration
4. Conclusions
- (1)
- The wake vortex structure of a vehicle has an important influence on the plume discharged in its wake region. When the relative velocity was satisfied as U* ≤ 0.8, the wake vortex structure of the vehicle entrapped the plume vortex released from the tail and inhibited the lateral spread of the plume.
- (2)
- In this study, an empirical formula (Equation (15)) was used to estimate the wake length of the downstream flow field. Compared with the plume discharge speed, the relative speed also included the independent variable of the traveling speed of the DSMV; therefore, it had a higher universality.
- (3)
- The strength of this inhibition was related to the traveling speed of the mining vehicle. Therefore, at the same traveling rate, this inhibition caused the dispersion of the sediment particles in the plume release direction to be similar. However, the discharge of the plume conversely affected the wake flow field of the DSMV and delayed the recovery of the downstream flow field.
Author Contributions
Funding
Institutional Review Board Statement
Informed Consent Statement
Data Availability Statement
Conflicts of Interest
Abbreviations
| Variable | Parameter | Unit |
| Cε1 | coefficient I in the Realizable K-Epsilon model | None |
| Cε2 | coefficient II in the Realizable K-Epsilon model | None |
| D | discharge hole diameter | m |
| ds | mean diameter of sediment | m |
| Dref | reference dimension | m |
| Fs | total force acting on the particle surface | N |
| Fb | total body force | N |
| Fd | drag force | N |
| Fp | pressure gradient force | N |
| FL | lift force acting on the surface of the particles | N |
| Fbg | bottom gravity force | N |
| Fc | contact force based on Hertz Mindlin’s contact theory | N |
| Fvm | virtual mass force | N |
| Frp | initial plume Froude number | None |
| Frw | wake Froude number | None |
| fb | combined force of the various volume forces | N/m3 |
| f2 | the damping function | None |
| k | turbulent kinetic energy | J/kg |
| Lw | overall wake length | m |
| L | side lengths of the cube model | m |
| L0 | non-dimensional distance at the limit of up = 0 | None |
| sediment discharge rate | kg/s | |
| Pk | the production term I | J/kg·s |
| Pε | the production term II | J/kg·s |
| Qp | plume discharge rate | m3/s |
| q | exponential | None |
| Sm | mass added to the continuous phase from the dispersed phase | kg/m3 |
| Sk | user-specified source item I | J/kg·s |
| Sε | user-specified source item II | J/kg·s |
| sf | surface area vector of face f of mesh | m |
| T | viscous stress tensor | N/m2 |
| Te | large-eddy time scale | None |
| T0 | time scale per unit | None |
| t | Simulation time | s |
| U* | relative discharge velocity of the plume | None |
| Um | the maximum velocity value in the profile | m/s |
| u | instantaneous velocity at a specific location | m/s |
| um | traveling speed of DSMV vehicle | m/s |
| up | Mean discharge velocity | m/s |
| mean fluid velocity | m/s | |
| vp | instantaneous particle velocity | m/s |
| V0 | volume of the mesh | m3 |
| xdown | distance from the downstream of the DSMV | m |
| x | longitudinal coordinates of the model | m |
| y | horizontal coordinates of the model | m |
| z | vertical coordinates of the model | m |
| ρ0 | fluid density | kg/m3 |
| μ | dynamic viscosity | Pa·s |
| μt | turbulent viscosity | Pa·s |
| σε | coefficient III in the Realizable K-Epsilon model | None |
| σk | coefficient IV in the Realizable K-Epsilon model | None |
| λe | coefficient in the viscosity model | None |
| α | percentage of sediment in the plume | None |
| ρs | sediment solid density | kg/m3 |
References
- Yang, J.; Liu, L.; Lyu, H.; Lin, Z. Deep-Sea Mining Equipment in China: Current Status and Prospect. Chin. J. Eng. Sci. 2020, 22, 1–9. [Google Scholar] [CrossRef]
- Yang, N.; Chen, G. Status quo and development trendency of deep sea minerals mining technology. Min. Process. Equip. 2010, 38, 4–9. [Google Scholar]
- Klein, H. Near-bottom currents in the deep Peru Basin, DISCOL experimental area. Dtsch. Hydrogr. Z. 1993, 45, 31–42. [Google Scholar] [CrossRef]
- Koschinsky, A.; Heinrich, L.; Boehnke, K.; Cohrs, J.C.; Markus, T.; Shani, M.; Singh, P.; Smith Stegen, K.; Werner, W. Deep-sea mining: Interdisciplinary research on potential environmental, legal, economic, and societal implications. Integr. Env. Ment. Assess. Manag. 2018, 14, 672–691. [Google Scholar] [CrossRef] [PubMed]
- Kulkarni, C.S.; Haley, P.J.; Lermusiaux, P.F.; Dutt, A.; Gupta, A.; Mirabito, C.; Subramani, D.N.; Jana, S.; Ali, W.H.; Peacock, T.; et al. Real-time sediment plume modeling in the Southern California bight. In Proceedings of the OCEANS 2018 MTS/IEEE Charleston, Charleston, SC, USA, 22–25 October 2018; pp. 1–10. [Google Scholar] [CrossRef]
- Muñoz-Royo, C.; Peacock, T.; Alford, M.H.; Smith, J.A.; Le Boyer, A.; Kulkarni, C.S.; Lermusiaux, P.F.J.; Haley, P.J.; Mirabito, C.; Wang, D.; et al. Extent of impact of deep-sea nodule mining midwater plumes is influenced by sediment loading, turbulence and thresholds. Commun. Earth Environ. 2021, 2, 148. [Google Scholar] [CrossRef]
- Spearman, J.J.M.P.B. A review of the physical impacts of sediment dispersion from aggregate dredging—ScienceDirect. Mar. Pollut. Bull. 2015, 94, 260–277. [Google Scholar] [CrossRef]
- Sharma, R. Deep-Sea Mining: Resource Potential, Technical and Environmental Considerations; Springer: Berlin/Heidelberg, Germany, 2017. [Google Scholar]
- Zongyu, H. Environmental impacts of deep sea mining. Ocean. Dev. Manag. 2003, 20, 61–65. [Google Scholar]
- Ouillon, R.; Muñoz-Royo, C.; Alford, M.H.; Peacock, T. Advection-diffusion-settling of deep-sea mining sediment plumes. Part 1: Midwater plumes. Flow 2022, 2, E22. [Google Scholar] [CrossRef]
- Gillard, B.; Purkiani, K.; Chatzievangelou, D.; Vink, A.; Iversen, M.H.; Thomsen, L. Physical and hydrodynamic properties of deep sea mining-generated, abyssal sediment plumes in the Clarion Clipperton Fracture Zone (eastern-central Pacific). Elem. Sci. Anthr. 2019, 7, 5. [Google Scholar] [CrossRef]
- Spearman, J.; Taylor, J.; Crossouard, N.; Cooper, A.; Turnbull, M.; Manning, A.; Lee, M.; Murton, B. Measurement and modelling of deep sea sediment plumes and implications for deep sea mining. Sci. Rep. 2020, 10, 5075. [Google Scholar] [CrossRef]
- Ouillon, R.; Muñoz-Royo, C.; Alford, M.H.; Peacock, T. Advection–diffusion settling of deep-sea mining sediment plumes. Part 2. Collector plumes. Flow 2022, 2, E23. [Google Scholar] [CrossRef]
- Jankowski, J.A.; Malcherek, A.; Zielke, W. Numerical modeling of suspended sediment due to deep-sea mining. J. Geophys. Res. Oceans 1996, 101, 3545–3560. [Google Scholar] [CrossRef]
- Ma, W.; Schott, D.; van Rhee, C. Numerical calculations of environmental impacts for deep sea mining activities. Sci. Total Environ. 2019, 652, 996–1012. [Google Scholar] [CrossRef]
- Ouillon, R.; Kakoutas, C.; Meiburg, E.; Peacock, T. Gravity currents from moving sources. J. Fluid Mech. 2021, 924, A43. [Google Scholar] [CrossRef]
- Muñoz-Royo, C.; Ouillon, R.; El Mousadik, S.; Alford, M.H.; Peacock, T. An in situ study of abyssal turbidity-current sediment plumes generated by a deep seabed polymetallic nodule mining preprototype collector vehicle. Sci. Adv. 2022, 8, eabn1219. [Google Scholar] [CrossRef]
- Lin, Y.; Weng, Z.; Guo, J.; Lin, X.; Phan-Thien, N.; Zhang, J. Simulation Study on the Sediment Dispersion during Deep-Sea Nodule Harvesting. J. Mar. Sci. Eng. 2022, 11, 10. [Google Scholar] [CrossRef]
- Purkiani, K.; Gillard, B.; Paul, A.; Haeckel, M.; Haalboom, S.; Greinert, J.; de Stigter, H.; Hollstein, M.; Baeye, M.; Vink, A.; et al. Numerical Simulation of Deep-Sea Sediment Transport Induced by a Dredge Experiment in the Northeastern Pacific Ocean. Front. Mar. Sci. 2021, 8, 719463. [Google Scholar] [CrossRef]
- Morton, B.R.; Taylor, G.I.; Turner, J.S. Turbulent gravitational convection from maintained and instantaneous sources. Proc. R. Soc. London. Ser. A Math. Phys. Sci. 1956, 234, 125–128. [Google Scholar] [CrossRef]
- Shih, T.H.; Liou, W.W.; Shabbir, A.; Yang, Z.; Zhu, J. A New K-epsilon Eddy Viscosity Model for High Reynolds Number Turbulent Flows: Model Development and Validation. Comput. Fluids 1994, 24, 227–238. [Google Scholar] [CrossRef]
- Jongen, T. Simulation and Modeling of Turbulent Incompressible Fluid Flows. Ph.D. Thesis, EPF Lausanne, Lausanne, Switzerland, 1992. [Google Scholar] [CrossRef]
- Crowe, C.T.; Schwarzkopf, J.D.; Sommerfeld, M.; Tsuji, Y. Multiphase Flows with Droplets and Particles; CRC Press: Boca Raton, FL, USA, 2011. [Google Scholar]
- Liu, S.; Liu, C.; Dai, Y. Status and progress on researches and developments of deep ocean mining equipments. J. Mech. Eng. 2014, 50, 8–18. [Google Scholar] [CrossRef]
- Sun, P.; Lu, H.; Yang, J.; Liu, M.; Li, S.; Zhang, B. Numerical study on shear interaction between the track plate of deep-sea mining vehicle and the seafloor sediment based on CEL method. Ocean Eng. 2022, 266, 112785. [Google Scholar] [CrossRef]
- Oebius, H.U.; Becker, H.J.; Rolinski, S.; Jankowski, J.A. Parametrization and evaluation of marine environmental impacts produced by deep-sea manganese nodule mining. Deep. Sea Res. Part II Top. Stud. Oceanogr. 2001, 48, 3453–3467. [Google Scholar] [CrossRef]
- Rzeznik, A.J.; Flierl, G.R.; Peacock, T. Model investigations of discharge plumes generated by deep-sea nodule mining opera-tions. Ocean. Eng. 2019, 172, 684–696. [Google Scholar] [CrossRef]
- Lefebvre, A.H.; McDonell, V.G. Atomization and Sprays; CRC Press: Boca Raton, FL, USA, 2017. [Google Scholar]
- Zong, L.; Nepf, H. Vortex development behind a finite porous obstruction in a channel. J. Fluid Mech. 2011, 691, 368–391. [Google Scholar] [CrossRef]












| Parameter | Value | Unit |
|---|---|---|
| Depth | 0–15 | cm |
| Moisture content | 153.2 | % |
| The percentage of sediment particle size ≤ 0.075 mm | 67.7 | % |
| Natural porosity ratio | 4.426 | None |
| Saturation | 0.935 | None |
| Sediment composition | 19.054 | % |
| Parameter | Variable | Value | Unit |
|---|---|---|---|
| Plume discharge rate | Qp | 1.41 × 10−3 | m3/s |
| Sediment discharge rate | 0.29 | kg/s | |
| Percentage of sediment in the plume | α | 20 | % |
| Particle concentration in the plume | /Qp | 205.7 | kg/m3 |
| Discharge hole diameter | D | 0.03 | m |
| Mean discharge velocity | up = 4 × Qp/(πD2) | 0~2.0 | m/s |
| Traveling speed of DSMV vehicle | um | 0~0.75 | m/s |
| Fluid density | ρ0 | 1024 | kg/m3 |
| Sediment solid density | ρs | 2600 | kg/m3 |
| Mean diameter of sediment | ds | 7.5 × 10−5 | m |
| Initial plume Froude number | Frp = (up – um)/sqrt(g × D) | 0~3.69 | None |
| Smooth | Grid | The Grid Size of | |
|---|---|---|---|
| Background (m) | Overlapping (m) | ||
| Current | 470 W | 0.01 | 0.002 |
| Coarse | 227 W | 0.015 | 0.0018 |
| Medium | 360 W | 0.0125 | 0.0015 |
| Fine | 700 W | 0.01 | 0.001 |
| Smooth | Grid | (u/Um)max | Error (%) | L1/L | Error (%) |
|---|---|---|---|---|---|
| Current | 470 W | 1.0456 | -- | 13.76 | -- |
| Coarse | 227 W | 0.9525 | 8.91 | 14.10 | 2.47 |
| Medium | 360 W | 1.0135 | 3.07 | 13.85 | 0.65 |
| Fine | 700 W | 1.0766 | 2.96 | 13.76 | 0 |
| The Speed of DSMV um (m/s) | Plume Discharge Velocity up (m/s) | Plume Discharge Rate Qp (×10−3 m3/s) | Sediment Discharge Rate (kg/s) | The Relative Velocity * U* |
|---|---|---|---|---|
| 0.25 | 0 | 0 | 0 | −∞ |
| 0.5 | 0.35 | 0.07 | 0.5 | |
| 0.75 | 0.53 | 0.11 | 0.67 | |
| 1 | 0.71 | 0.15 | 0.75 | |
| 1.25 | 0.88 | 0.18 | 0.8 | |
| 1.5 | 1.06 | 0.22 | 0.83 | |
| 2 | 1.41 | 0.29 | 0.875 | |
| 2.5 | 1.77 | 0.36 | 0.9 | |
| 0.50 | 0 | 0 | 0 | −∞ |
| 0.5 | 0.35 | 0.07 | 0 | |
| 0.75 | 0.53 | 0.11 | 0.33 | |
| 1 | 0.71 | 0.15 | 0.5 | |
| 1.25 | 0.88 | 0.18 | 0.6 | |
| 1.5 | 1.06 | 0.22 | 0.67 | |
| 2 | 1.41 | 0.29 | 0.75 | |
| 2.5 | 1.77 | 0.36 | 0.8 | |
| 0.75 | 0 | 0 | 0 | −∞ |
| 0.5 | 0.35 | 0.07 | −0.5 | |
| 0.75 | 0.53 | 0.11 | 0 | |
| 1 | 0.71 | 0.15 | 0.25 | |
| 1.25 | 0.88 | 0.18 | 0.4 | |
| 1.5 | 1.06 | 0.22 | 0.5 | |
| 2 | 1.41 | 0.29 | 0.625 | |
| 2.5 | 1.77 | 0.36 | 0.7 |
Disclaimer/Publisher’s Note: The statements, opinions and data contained in all publications are solely those of the individual author(s) and contributor(s) and not of MDPI and/or the editor(s). MDPI and/or the editor(s) disclaim responsibility for any injury to people or property resulting from any ideas, methods, instructions or products referred to in the content. |
© 2023 by the authors. Licensee MDPI, Basel, Switzerland. This article is an open access article distributed under the terms and conditions of the Creative Commons Attribution (CC BY) license (https://creativecommons.org/licenses/by/4.0/).
Share and Cite
Liu, S.; Yang, J.; Lu, H.; Sun, P.; Zhang, B. A Numerical Investigation of the Dynamic Interaction between the Deep-Sea Mining Vehicle and Sediment Plumes Based on a Small-Scale Analysis. J. Mar. Sci. Eng. 2023, 11, 1458. https://doi.org/10.3390/jmse11071458
Liu S, Yang J, Lu H, Sun P, Zhang B. A Numerical Investigation of the Dynamic Interaction between the Deep-Sea Mining Vehicle and Sediment Plumes Based on a Small-Scale Analysis. Journal of Marine Science and Engineering. 2023; 11(7):1458. https://doi.org/10.3390/jmse11071458
Chicago/Turabian StyleLiu, Shihang, Jianmin Yang, Haining Lu, Pengfei Sun, and Bei Zhang. 2023. "A Numerical Investigation of the Dynamic Interaction between the Deep-Sea Mining Vehicle and Sediment Plumes Based on a Small-Scale Analysis" Journal of Marine Science and Engineering 11, no. 7: 1458. https://doi.org/10.3390/jmse11071458
APA StyleLiu, S., Yang, J., Lu, H., Sun, P., & Zhang, B. (2023). A Numerical Investigation of the Dynamic Interaction between the Deep-Sea Mining Vehicle and Sediment Plumes Based on a Small-Scale Analysis. Journal of Marine Science and Engineering, 11(7), 1458. https://doi.org/10.3390/jmse11071458
