Experimental and Numerical Study on Crack Propagation of Cracked Plates under Low Cycle Fatigue Loads
Abstract
1. Introduction
2. Experimental Investigations on the Crack Growth Behavior of Cracked Plates under Low Cycle Fatigue Loads
2.1. Experimental Setup
2.2. Experimental Result and Discussion
2.3. Observation of Fracture Morphology
3. Numerical Analysis and Discussion
3.1. Analysis of Crack Opening Displacement
3.2. Analysis of Crack Tip Stress Field
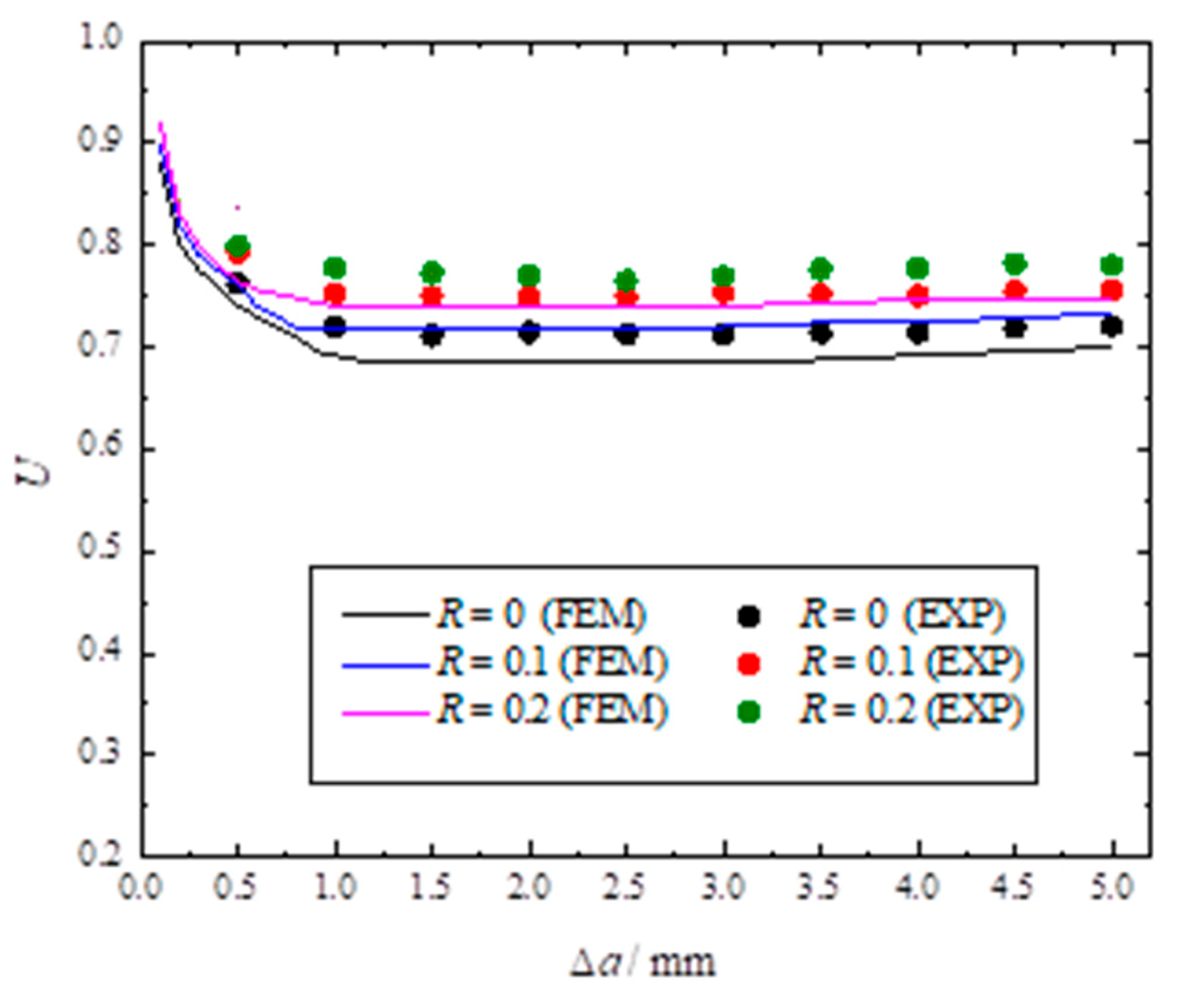
3.3. Analysis of Crack Closure Parameter
3.4. Relationship between Accumulative Plastic Strain and Crack Closure Parameter
3.4.1. Study of Crack Closure Mechanism and Evolution of Accumulative Plastic Strain
3.4.2. The Evolution of Residual Compressive Stress Field
3.4.3. The Effect of the Stress Ratio
4. Conclusions
Author Contributions
Funding
Institutional Review Board Statement
Informed Consent Statement
Data Availability Statement
Acknowledgments
Conflicts of Interest
References
- Coffin, L. A Study of the Effects of Cyclic Thermal Stresses on a Ductile Metal. J. Fluids Eng. 1954, 76, 931–949. [Google Scholar] [CrossRef]
- Dunham, F.W. Fatigue testing of large-scale models of submarine structural details. Mar. Technol. 1965, 1, 299–307. [Google Scholar] [CrossRef]
- Jordan, C.R.; Cochran, C.S. In-service performance of structural details. Ship Struct. Comm. 1978, 272, 1–9. [Google Scholar]
- Jordan, C.R.; Cochran, C.S. Further survey of in-service performance of structural details. Ship Struct. Comm. 1980, 294, 2–10. [Google Scholar]
- Munse, W.; Wilbur, T.; Tellalian, M.; Nicoll, K.; Wilson, K. Fatigue characterization of fabricated ship detail for design. Ship Struct. Comm. 1982, 318, 1–10. [Google Scholar]
- Radek, P.; Jan, D. Low cycle fatigue properties assessment for rotor steels with the use of miniaturized specimens. Int. J. Fatigue 2022, 154, 106555. [Google Scholar]
- Morishita, T.; Itoh, T.; Sakane, M.; Nakamura, H.; Takanashi, M. Multiaxial fatigue property of Ti–6Al–4V using hollow cylinder specimen under push-pull and cyclic inner pressure loading. Int. J. Fatigue 2016, 87, 370–380. [Google Scholar] [CrossRef]
- Itoh, T.; Nakamura, H.; Takanashi, M.; Wu, M. Multiaxial low cycle fatigue life of Ti-6Al-4V under non-proportional loading with mean strain. Theor. Appl. Fract. Mech. 2017, 90, 165–173. [Google Scholar] [CrossRef]
- Chen, L.; Chen, X. The low cycle fatigue tests on submarine structures. Ship Sci. Technol. 1991, 2, 19–20. [Google Scholar]
- Urm, H.; Yoo, I.; Heo, J. Low cycle fatigue strength assessment for ship structures. In Proceedings of the 9th Symposium on Practical Design of Ships and Other Floating Structures, Travemuende, Germany, 12–17 September 2004; pp. 774–781. [Google Scholar]
- Han, Y.; Cui, W.; Huang, X.; Wu, Y. Fatigue strength assessment of large-scale ship structures. Shipbuild. China 2007, 48, 60–67. [Google Scholar]
- Liu, Y.; Zhu, X.; Huang, X. Experimental research on low frequency fatigue crack propagation rate of 921A hull steel structure. J. Nav. Univ. Eng. 2008, 20, 69–74. [Google Scholar]
- Wang, Q.; Huber, N.; Liu, X.; Kashaev, N. On the analysis of plasticity induced crack closure in welded specimens: A mechanism controlled by the stress intensity factor resulting from residual stresses. Int. J. Fatigue 2022, 162, 106940. [Google Scholar] [CrossRef]
- Masoud, S.; Otmar, K. A novel approach for determining the stress intensity factor for cracks in multilayered cantilevers. Eng. Fract. Mech. 2022, 266, 108386. [Google Scholar]
- Hossein, N.; Pooya, R. Stress concentration factors in tubular T-joints reinforced with external ring under in-plane bending moment. Ocean Eng. 2022, 266, 112551. [Google Scholar]
- Hossein, N.; Pooya, R. Probabilistic analysis of the SCFs in tubular T/Y-joints reinforced with FRP under axial, in-plane bending, and out-of-plane bending loads. Structures 2022, 35, 1078–1097. [Google Scholar]
- Hossein, N.; Pooya, R. Stress concentration factors in tubular T/Y-connections reinforced with FRP under in-plane bending load. Mar. Struct. 2021, 76, 102871. [Google Scholar]
- Hossein, N.; Pooya, R. Static capacity of tubular X-joints reinforced with fiber reinforced polymer subjected to compressive load. Eng. Struct. 2021, 236, 112041. [Google Scholar]
- Hossein, N.; Pooya, R. Stress concentration factors in tubular T/Y-joints strengthened with FRP subjected to compressive load in offshore structures. Int. J. Fatigue 2020, 140, 105719. [Google Scholar]
- Dong, Q.; Yang, P.; Xu, G. Low cycle fatigue crack growth analysis by CTOD under variable amplitude loading for AH32 steel. Mar. Struct. 2019, 63, 257–268. [Google Scholar] [CrossRef]
- Dong, Q.; Yang, P.; Deng, J.; Wang, D. The theoretical and numerical research on CTOD for ship plate under cyclic loading considering accumulative plastic strain. J. Ship Mech. 2015, 19, 1507–1516. [Google Scholar]
- Dowling, N.E. Geometry effects and the J-integral approach to elastic-plastic fatigue crack growth. In Cracks and Fracture; Swedlow, J., Williams, M., Eds.; ASTM STP 601; American Society for Testing and Materials: West Conshohocken, PA, USA, 1976; pp. 19–32. [Google Scholar]
- Gonzales, G.L.G.; González, J.A.O.; Antunes, F.V.; Neto, D.M.; Díaz, F.A. Experimental determination of the reversed plastic zone around fatigue crack using digital image correlation. Theor. Appl. Fract. Mech. 2023, 125, 103901. [Google Scholar] [CrossRef]
- Chen, J.; Huang, Y.; Dong, L.; Li, Y. A study on evaluation method of crack tip reverse plastic zone size for the center cracked steel plate model under tension-compression cyclic loading. Eng. Fract. Mech. 2015, 133, 138–151. [Google Scholar] [CrossRef]
- Zhang, W.; Liu, Y. Plastic zone size estimation under cyclic loadings using in situ optical microscopy fatigue testing. Fatigue Fract. Eng. Mater. Struct. 2011, 34, 717–727. [Google Scholar] [CrossRef]
- Huang, M.; Cai, L. Unified theoretical solutions for describing the crack-tip stress fields of finite specimens with mode-I crack under fully plastic conditions. Int. J. Solids Struct. 2022, 254–255, 111846. [Google Scholar] [CrossRef]
- Xu, M.; Liu, Y.; Yuan, H. Characterization of crack-tip fields for elasto-plastic fatigue crack growth Part I: Analysis of the J-integral. Eng. Fract. Mech. 2022, 275, 108847. [Google Scholar] [CrossRef]
- Ding, X.; Yan, X.; Guo, Z.; Guo, K. A combined low- and high-cycle life prediction model considering the closure effect of micro-defects. Fatigue Fract. Eng. Mater. Struct. 2022, 45, 2058–2071. [Google Scholar] [CrossRef]
- Mansor, N.; Abdullah, S.; Ariffin, A. Effect of loading sequences on fatigue crack growth and crack closure in API X65 steel. Mar. Struct. 2019, 65, 181–196. [Google Scholar] [CrossRef]
- Ferreira, S.; Castro, J.; Meggiolaro, M.A.; de Oliveira Miranda, A.C. Crack closure effects on fatigue damage ahead of crack tips. Int. J. Fatigue 2019, 125, 187–198. [Google Scholar] [CrossRef]
- Ma, T.; Gao, N.; Chang, L.; He, X.; Zhou, C. Low-cycle fatigue behavior and life prediction of CP-Ti under non-proportional and multiaxial loading. Eng. Fract. Mech. 2021, 254, 107930. [Google Scholar] [CrossRef]
- Deng, J.; Tu, W.; Xiong, K.; Yang, P.; Dong, Q. Analysis of biaxial proportional low-cycle fatigue and biaxial accumulative plasticity of hull inclined-crack plate. Int. J. Nav. Archit. Ocean Eng. 2022, 14, 100423. [Google Scholar] [CrossRef]
- Song, Y.; Yang, P.; Peng, Z.; Jiang, W. Low-Cycle Fatigue Crack Propagation Behavior of Cracked Steel Plates Considering Accumulative Plastic Strain. Int. J. Steel Struct. 2020, 20, 538–547. [Google Scholar] [CrossRef]
- Jiang, W.; Yang, P.; Luo, B.; Xu, Z. Responses of cracked stiffened plates to low-cycle fatigue loads. Ocean Eng. 2021, 241, 109986. [Google Scholar] [CrossRef]
- Dong, Q.; Yang, P.; Xu, G.; Deng, J. Mechanisms and modeling of low cycle fatigue crack propagation in a pressure vessel steel Q345. Int. J. Fatigue 2016, 89, 2–10. [Google Scholar] [CrossRef]
- Tola, A.; Eatherton, M.; Koutromanos, L. Experimental program for characterization of ultra-low cycle fatigue fracture in structural steel. Eng. Fract. Mech. 2022, 276, 108873. [Google Scholar] [CrossRef]
- Chen, J.; Xiao, X.; Xiong, S.; Wang, J.; Huang, H.; Yang, B. Low cycle fatigue behavior of Cu-Cr-Zr alloy with different cold deformation. Fatigue Fract. Eng. Mater. Struct. 2023, 46, 3–16. [Google Scholar] [CrossRef]
- Xiong, K.; Deng, J.; Pei, Z.; Tang, H.; Tu, W. Analysis of accumulative plasticity and fracture behavior of hull cracked plates subjected to biaxial low cycle fatigue loading. J. Ship Mech. 2022, 26, 113–124. [Google Scholar]
- Dong, Q.; Rong, M.; Xu, G. Study of crack closure effect of hull plate under low cycle fatigue. J. Mar. Sci. Eng. 2022, 10, 1557. [Google Scholar] [CrossRef]
- Gan, J.; Sun, D.; Deng, H.; Wang, Z.; Wang, X.; Yao, L.; Wu, W. Fatigue characteristics of designed T-type specimen under two-step repeating variable amplitude load with low-amplitude load below the fatigue limit. J. Mar. Sci. Eng. 2021, 9, 107. [Google Scholar] [CrossRef]
- E647-05; Standard Test Method for Measurement of Fatigue Crack Growth Rates. ASTM: West Conshohocken, PA, USA, 2005.
- Rodrigues, D.; Antunes, F. Finite element simulation of plasticity induced crack closure with different material constitutive models. Eng. Fract. Mech. 2009, 76, 1215–1230. [Google Scholar] [CrossRef]
- Zhou, L.; Wang, J.; Wang, Y.; Li, X.; Chai, Y. The enriched finite element method-virtual crack closure technique for cracked structures. Thin-Walled Struct. 2023, 187, 110756. [Google Scholar] [CrossRef]













| Poisson’s Ratio | |||
|---|---|---|---|
| 345 | 510 | 206 | 0.3 |
| Specimen No. | Stress Ratio R | Fatigue Life | |
|---|---|---|---|
| 01 | 95 | 0 | 2142 |
| 02 | 95 | 0.1 | 2455 |
| 03 | 95 | 0.2 | 4670 |
| 04 | 100 | 0.2 | 3425 |
| E = 206 GPa V = 0.3 Q = 72 MPa k = 8 MPa |
| C1 = 314,310 C2 = 28,071 C3 = 1950 |
| α1 = 800 α2 = 321 α3 = 0 |
| Mesh Size | Crack Closure Parameter U | Difference/% |
|---|---|---|
| 0.1 × 0.1 mm | 0.725 | 1.11 |
| 0.05 × 0.05 mm | 0.717 | - |
| 0.02 × 0.02 mm | 0.713 | 0.56 |
Disclaimer/Publisher’s Note: The statements, opinions and data contained in all publications are solely those of the individual author(s) and contributor(s) and not of MDPI and/or the editor(s). MDPI and/or the editor(s) disclaim responsibility for any injury to people or property resulting from any ideas, methods, instructions or products referred to in the content. |
© 2023 by the authors. Licensee MDPI, Basel, Switzerland. This article is an open access article distributed under the terms and conditions of the Creative Commons Attribution (CC BY) license (https://creativecommons.org/licenses/by/4.0/).
Share and Cite
Qin, D.; Geng, X.; Jie, Z.; Yaoyu, H. Experimental and Numerical Study on Crack Propagation of Cracked Plates under Low Cycle Fatigue Loads. J. Mar. Sci. Eng. 2023, 11, 1436. https://doi.org/10.3390/jmse11071436
Qin D, Geng X, Jie Z, Yaoyu H. Experimental and Numerical Study on Crack Propagation of Cracked Plates under Low Cycle Fatigue Loads. Journal of Marine Science and Engineering. 2023; 11(7):1436. https://doi.org/10.3390/jmse11071436
Chicago/Turabian StyleQin, Dong, Xu Geng, Zhao Jie, and Hu Yaoyu. 2023. "Experimental and Numerical Study on Crack Propagation of Cracked Plates under Low Cycle Fatigue Loads" Journal of Marine Science and Engineering 11, no. 7: 1436. https://doi.org/10.3390/jmse11071436
APA StyleQin, D., Geng, X., Jie, Z., & Yaoyu, H. (2023). Experimental and Numerical Study on Crack Propagation of Cracked Plates under Low Cycle Fatigue Loads. Journal of Marine Science and Engineering, 11(7), 1436. https://doi.org/10.3390/jmse11071436
