Next Article in Journal
Improving the Overall Efficiency of Marine Power Systems through Co-Optimization of Top-Bottom Combined Cycle by Means of Exhaust-Gas Bypass: A Semi Empirical Function Analysis Method
Next Article in Special Issue
Design, Analysis and Maintenance of Green, Innovative Marine Structures
Previous Article in Journal
Underwater Image Restoration Method Based on Multi-Frame Image under Artificial Light Source
Previous Article in Special Issue
Hydrodynamic Tests of Innovative Tourist Submarine
 
 
Font Type:
Arial Georgia Verdana
Font Size:
Aa Aa Aa
Line Spacing:
Column Width:
Background:
Article

A Study on the Ultimate Strength and Failure Mode of Stiffened Panels

1
School of Naval Architecture, Dalian University of Technology, Dalian 116024, China
2
Offshore Engineering Technology Center CCS, Tianjin 300457, China
*
Author to whom correspondence should be addressed.
J. Mar. Sci. Eng. 2023, 11(6), 1214; https://doi.org/10.3390/jmse11061214
Submission received: 14 May 2023 / Revised: 7 June 2023 / Accepted: 9 June 2023 / Published: 12 June 2023

Abstract

Different buckling failure modes of stiffened panels will result in differences in ultimate strengths. In this study, the benchmark model of the bottom of bulk carrier with appropriate initial imperfections, boundary conditions and mesh size are selected for a series of non-linear FE analyses. A failure mode discrimination method considering the change rule of ultimate strength and the stress and strain distribution of stiffened plates in ultimate limit state is proposed, and then the boundary function of the failure modes composed of four key parameters, λ , β , h w / t w , λ e , is established. Based on this boundary function, the rapid identification of failure modes and the classification of ultimate strength under different failure modes can be realized. Furthermore, the ultimate strength formulas of stiffened panels for different failure modes are obtained by data analysis from many nonlinear finite element analyses.

1. Introduction

Stiffened panels composed of plating and stiffeners are widely used in hull structures because of their light weight, high stiffness and high material utilization rate. However, in offshore practice, the collapse of stiffened panels is fairly common, making it of great significance to establish an accurate and effective method for evaluating the ultimate strength of stiffened panels.
Numerous studies have been completed to establish empirical formulas for predicting the ultimate strength of stiffened panels. Paik [1,2] derived an empirical formula for the ultimate strength of stiffened panels under uniaxial compression based on compression test data of stiffened panels of different sizes, and the empirical formula contains two parameters: the plate slenderness and column slenderness. Khedmati [3] proposed a formula for the prediction of the ultimate strength of aluminum stiffened panels under the combination of biaxial compression and lateral pressure. T-stiffeners and a flat bar were considered and lateral pressure was characterized by water head. Zhang [4] conducted numerical simulation and experimental verification of the ultimate strength of stiffened panels under uniaxial compression and proposed a more concise formula. Faulkner [5] analyzed the post-buckling capacity of a plate and the supporting effect of the stiffeners and proposed a formula for the average stress of the overall cross-section of stiffened panels. To consider the influence of the stiffener type, Xu [6] added several terms to the relevant parameters of Paik’s formula, proposed an empirical formula shape with 10 coefficients, and carried out data fitting and experimental verification.
The numerical simulation method is widely used in the study of the ultimate strength of stiffened panels. In the process of numerical simulation, factors such as structural forms, model range, and initial imperfections are fully considered, which provides a valuable reference. However, as a thin-walled composite structure, the stiffened panel will collapse in various modes due to the difference in stiffness between the plating and the stiffener, which makes it necessary to consider failure modes when studying the ultimate behaviour of stiffened panels.
After investigating the effects of factors such as the shape and size of an initial imperfection, the magnitude and direction of the residual stress, and the cross-sectional area ratio between the plating and stiffener on the axial load capacity and failure mode of stiffened panels, Grondin [7] found that the relative size of the torsional stiffness of the stiffener and the bending stiffness of the plate are the key factors that determine the occurrence of stiffener tripping and local plate buckling. Through investigations, model tests and numerical simulations, Zhang [4] proved that the failure mode of stiffened panels under axial compression manifested as coupled bending and torsion failure, which are mainly determined by beam–column behaviours. Ozgur [8] compared the ultimate strength of stiffened panels obtained using ABAQUS and PULS, and found that the greatest deviation usually occurs in areas where the failure modes are inconsistent. The ISSC [9] Ultimate Strength Committee initiated a benchmark study on the ultimate state analysis of stiffened plate structures subjected to uniaxial compression loads. The finite element results of 17 groups, which were compared with each other and with the experimental results. It was found that the failure mode of stiffened panel was not precisely predicted, which may be due to the inaccurate modeling of residual stress. The Committee recommends that more research on failure modes needs to be carried out to define and predict structural failure.
According to the research of Paik [10], the failure modes of stiffened panels subject to axial compression can be divided into six types, as shown in Figure 1: overall buckling (mode I), local plate buckling (mode II), beam–column buckling (mode III), stiffener web buckling (mode IV), stiffener tripping (mode V) and overall yielding (mode VI). Among them, local plate buckling (mode II), beam–column buckling (mode III), stiffener web buckling (mode IV), and stiffener tripping (mode V) are more common in offshore practice.
Mode II: The relatively weak plating severely deforms, and the stress concentrates at the corners of the plating between stiffeners.
Mode III: The principle of beam–column buckling is similar to that of the bending buckling of bars. The plating and stiffener are considered an entity due to their similar stiffness, and the collapse occurs mid-span. Without a violent deformation process, beam–column buckling is regarded as a relatively safe failure mode. A slight change in the size of the stiffened panel will not lead to a drastic change in the ultimate strength.
Mode IV: Stiffener panels are prone to collapse in this mode when the web of the stiffener has a large height-to-thickness ratio. As the main stiffened component, the stiffener bears the maximum load of the structure. However, the lack of stiffness often results in buckling on the web, and consequently lead to a sharp increase in the collapse probability of stiffened panel.
Mode V: Due to the small torsional stiffness, the stiffener twists around the intersection line of the stiffeners and the plating under axial compressive. Unlike beam–column buckling, the stiffened panel collapses sharply in a dangerous mode without the support of the stiffener. A slight reduction in the size of the stiffened panel may lead to a sharp decrease in the ultimate strength.
In summary, a great deal of work has been conducted on the formula for ultimate strength and the identification of failure modes of stiffened panels, which can provide us with valuable references. Nevertheless, a single line shape formula for stiffened panels containing only two parameters, λ and β , fails to disclose the effect of failure modes, and there are still deficiencies in the study of the key parameters, evolution and boundaries of different failure modes.
From the above-mentioned situation, a study based on the failure modes is conducted. A new method of failure mode identification based on the variation trend of the ultimate strength and stress distribution in the ultimate limit state is proposed. Based on this method, the boundary between different failure modes is determined and a four-parameter ultimate strength formula applicable to different failure modes is proposed.

2. Modelling for FE Analysis

The finite element solver ANSYS was used for the analysis of ultimate limit state capacity of stiffened panel. The modeling of the stiffened panel, the application of the initial deformation and the post-processing work were all realized by ANSYS parametric design language (APDL).
In this paper, the advanced buckling analysis method recommended by the International Association of Classification Societies (IACS), which is based on nonlinear analysis techniques, was used to study the ultimate strength of stiffened panels. Nonlinear buckling analysis is a static analysis method based on factors such as elastic–plastic material properties, large deformation and initial imperfections. The model of an ideal elastic–plastic material was adopted and the effect of strain-hardening was ignored. To track the post-buckling process of the structure, the Riks method was used to solve the complex load and displacement paths in the post-buckling stage of the structure by introducing a load factor to link the load and displacement.

2.1. Geometric and Material Properties

The ultimate strength of stiffened panels is related to the material parameters, geometric dimensions, initial defects, and load conditions. With reference to the benchmark model Panel A in ISSC2012 [11], the ultimate strength of stiffened panels under uniaxial longitudinal compression was studied. The structure and size of the stiffened panel are shown in Figure 2. The stiffened panel was made of hull steel, and the material was assumed to be uniform, continuous, isotropic and ideal elastoplastic, satisfying the Von Mises yield criterion. The relevant parameters are shown in Table 1. The Shell181 element was used to establish the stiffened panel model, which has four nodes; each node contains six degrees of freedom. This element can be applied to linear, large rotation or large strain analysis. Allowing for both geometric and material nonlinearities, Shell181 is well-suited to simulating thin and medium-thickness shells. In the element domain, both full and reduced integration schemes are supported. For stiffened panels, the ideal choice is to use a reduced integration for the plating and a full integration for the stiffeners.

2.2. Initial Imperfections

An initial imperfection contains initial deformation and residual stress, which often leads to a reduction in the ultimate strength regarding the analysis of problems involving structural instabilities. Therefore, it is necessary for the finite element model to reasonably include initial imperfections.
The residual stress distribution of each part of a stiffened panel differs, and the stress amplitude is greatly affected by temperature. At the same time, a hull structure subjected to a cyclic wave force undergoes residual stress redistribution and relaxation. Therefore, in the numerical calculation of stiffened panels, the residual stress is usually ignored.
Initial deformation can be directly measured by scanning equipment. When the measurement is difficult or the data reliability is poor, a modal analysis method can be adopted to obtain the lowest buckling mode and the initial deformation. This paper refers to the ISSC to impose the buckling initial deformation on the stiffened panels. The initial deformation expressions for local plate buckling w o p l , beam–column buckling w o c , and stiffener tripping w o s are as follows:
w o p l = A 0 sin ( m π x / a ) sin ( π y / b )
w o c = B 0 sin ( π x / a ) sin ( π y / B )
w o s = C 0 ( z / h w ) sin ( π x / a )
where A 0 = 0.1 β 2 t (moderate deformation), buckling periodic waves m = 3 (the smallest integer that satisfies a / b m ( m + 1 ) ), B 0 = 0.0015 a , C 0 = 0.0015 a , and the plate width between the longitudinal girders B = 3 b .
The final initial deformations are obtained by superimposing these three initial deformations and created by an APDL program according to the coordinates calculated by the above equation.

2.3. Boundary Conditions

The boundary conditions were set is based on Xu [12]. Taking a stiffened panel with a thickness of 16 mm and stiffeners of size 3 as an example, Figure 3 and Figure 4 show the size and stress distribution in the ultimate state of the single-stiffener model, symmetrical model (half model in the longitudinal direction) and periodic model (Panel A). The ultimate strength of these three models is shown in Table 2.
The accuracy of the ultimate strength of the single-stiffener model is low, while the results of the symmetrical model and the periodic model are essentially the same. The boundary conditions of the two models are shown in Table 3 and Table 4. 0, and indicate constraint. To observe the failure modes comprehensively, periodic boundary conditions are selected.

2.4. Mesh Size

The mesh size determines the total number of elements. To find a balance between computational expense and accuracy, a stiffened panel with a plate thickness of 16 mm and stiffeners of size 3 was used for convergence verification of the mesh size. The number of elements with plating, flange and web was set to Np, Nf, Nw respectively.
Take the number of elements with plating as an example. Four mesh sizes of 213.50 mm (Np = 12), 106.25 mm (Np = 24), 53.125 mm (Np = 48) and 26.563 mm (Np = 96) were selected for tentative calculation. As Figure 5a shows, when the mesh size is less than 106.25 mm (Np = 24), the reduction in the mesh brings little benefit in terms of accuracy. The difference in ultimate strength between 106.25 mm (Np = 24) and 53.125 mm (Np = 48) mesh sizes is only 0.6%. The mesh size of 106.25 mm (Np = 24) can be considered to meet the convergence requirements, so the 106.25 mm (Np = 24) mesh size was set for calculation. Similarly, the numbers of elements of the stiffener flange and web were set as 4 and 5, respectively, as shown in Figure 6.

2.5. Model Verification

In this paper, several stiffened panels with different plating thicknesses and stiffener sizes were selected for the ultimate strength calculation, and the calculation results are compared with the results in the related literature in Table 5. Under the same conditions, such as the same size stiffener and same initial imperfections, the error in the results is within ±3%, which means that the results are within a reasonable range and the model is sufficiently accurate.

3. Study on Beam–Column Buckling and Local Plate Buckling

3.1. Theoretical Formula

The principle of beam–column buckling is similar to the bending buckling of bars. Solving the deflection curve differential equation leads to the ideal elastic buckling critical stress formula:
σ E / σ s = 1 / λ 2
where λ = [ a / ( π r ) ] σ s / E represents the slenderness of the stiffener, r = I / A represents the radius of inertia of the section, I represents the moment of inertia of the section, and A = h f t f + h w t w is the area of the cross-section. The elastic buckling stress and yield stress of the panels are denoted as σ E and σ s , respectively. σ E and λ are negatively correlated, and λ can be selected as the mechanical parameter for evaluating beam–column buckling.
The principle of local plate buckling is based on the post-buckling performance of the plate. When the plate reaches the ultimate strength, the critical stress formula [14] is as follows:
σ u / σ s = π / ( β 3 ( 1 μ 2 ) ) = 1.9 / β
where β = ( b / t ) σ s / E , σ u represents the ultimate strength of the stiffened panel, which is negatively correlated with β , and β can be selected as the mechanical parameter for evaluating local plate buckling.

3.2. Identification of Beam–Column Buckling and Local Plate Buckling

Taking size 1 and size 2 as examples, the equivalent stress plots of typical beam–column buckling and local plate buckling are shown in Figure 7 and Figure 8, respectively.
The values of the slenderness of the stiffener and the plate determine whether beam–column buckling or local plate buckling plays a major role. To eliminate the influence of stiffener tripping, it is necessary to maintain h w / t w and λ e at a low level.
As shown in Figure 7a and Figure 8a, due to the weak support of the stiffeners provided to the plating, the axial pressure causes stiffened panels to yield at the interface of the plating and stiffener in the mid-span, presenting the deformation simlarly to the initial deformation of beam-column buckling ( m = 1 ). The larger the mid-span deflection is, the more significant the effect of beam-column buckling. As shown in Figure 7b and Figure 8b, due to the strong restraint of the stiffeners, the plating first deforms, and the stress distribution is periodic, presenting the deformation as the initial deformation of local plate buckling ( m = 3 ). The larger the deflection of the plating between the stiffeners, the more significant the effect of local plate buckling. Through comparison, when the size of the stiffener is increased, the overall stress level of the stiffened panels is increased in the same failure mode.
Current research on the failure modes of stiffened panels is mainly based on the stress and deformation in the limit state. This study believes that the ultimate strength is closely related to the failure mode, and the change trend of the ultimate strength can reflect the failure mode to a certain extent. Figure 9 shows the relationship between the ultimate strength and β for stiffeners of size 2 and the dashed line indicates the critical value of β for different failure modes. When the failure mode changes from beam–column buckling to local plate buckling, the ultimate strength change trend gradually transforms into an approximate inverse proportional function form.
Near the boundary between the beam–column buckling and local plate buckling modes, the equivalent stress of a stiffened panel in the ultimate bearing state is shown in Figure 10. As β increases, the beam–column characteristics (m = 1) decrease, the stress gradually presents a periodic distribution, and the buckling deformation of the plate ( m = 3 ) increases. t = 25 ~ 26.5 mm can be taken as the critical variation range of the failure mode, and the average value can be used as the critical point of the failure mode.
At the same time, the stiffeners show a periodic transverse deformation that is similar to local plate buckling. Since the buckling of a plate at the junction of the plate and stiffeners has an inducing effect on web buckling, plate buckling plays a major role.

3.3. Boundary of Beam–Column Buckling and Local Plate Buckling

To carry out a statistical study on the boundary between beam–column buckling and local plate buckling, a series of stiffener sizes (Table 6) were set that meet the requirements of CSR [15] for the size of T-sections: h w / t w 65 k , b f / t f 33 k , b f t f h w t w / 6 , and material factor k = 0.78 .
To prevent stiffener tripping, h w / t w and λ e (see Section 3.1) were kept at a small level, and the h w / t w and λ e of each dataset were essentially equal. CSR-H [16] specifies that the minimum thickness of hull shell plates is 5.5 + 0.03 L 2 14.5 mm, and the plating thickness was t = 13 ~ 33 mm in this paper.
The ultimate strength of stiffened panels with different combinations of plating and stiffener sizes was calculated. Three factors, the change trend of the ultimate strength, the stress and deformation in the ultimate limit state, were combined to determine the failure mode. The critical points of the failure mode were determined with a certain accuracy ( ± 0.75 mm), and nonlinear fitting was used to obtain the boundaries of the failure modes, as shown in Figure 11. β and λ have an approximately fourth-order relationship, and β monotonically increases with λ . If the failure mode does not change, the stiffness of the plate and the stiffeners must be maintained at a relatively balanced level.
In addition, an increase in h w / t w and λ e shifts the failure mode boundary to the left, which transforms a part of the area from local plate buckling to beam–column buckling. However, an increase in h w / t w and λ e is conducive to the occurrence of stiffener failure. Various factors must be considered in the reasonable choice of the size of the stiffened panels. Therefore, only a comprehensive analysis of λ , β , h w / t w and λ e can accurately determine the failure mode of a stiffened panel.

4. Study on Stiffener Failure

4.1. Theoretical Formula

The principle of web buckling is similar to the buckling of thin plates. Solving the neutral equilibrium differential equation of a thin plate leads to the ideal elastic buckling critical stress formula:
σ E = k π 2 D h w 2 t w = k π 2 E 12 ( 1 μ 2 ) ( h w / t w ) 2
where the value of coefficient k is related to b f / h w and t f / t w [17]. σ E and h w / t w are negatively correlated, and h w / t w can be selected as a mechanical parameter for evaluating web buckling.
Stiffener tripping refers to stiffener torsional buckling around the centre of forced rotation. According to the principle of constant potential energy, the ideal elastic buckling critical stress of stiffener tripping can be obtained, which can be written in a similar way to beam–column buckling, as follows:
σ E = k π 2 D h w 2 t w = k π 2 E 12 ( 1 μ 2 ) ( h w / t w ) 2
where λ e = [ a / ( π r e ) ] σ s / E and r e is the converted radius of gyration.
A stiffened panel can be regarded as I-beams with different flanges, as shown in Figure 12. With centroid O as the origin, I 1 and I 2 are the moments of inertia of the two flanges to the y-axis. The shear centre S is located on the y-axis, y 0 = ( e 1 I 1 e 2 I 2 ) / ( I 1 + I 2 ) , and the sector moment of inertia is Γ = d 2 I 1 I 2 / ( I 1 + I 2 ) . For a stiffened panel, due to the large difference in the sizes of the plate and the flange of the stiffener, the forced rotation centre C E is approximately at the intersection of the plate and the centre line of the web; that is, a 0 d I 2 / ( I 1 + I 2 ) .
The formula [17] for the converted radius of gyration r e is as follows:
r e 2 = [ a 2 / ( π 2 E I p c ) ] [ G K + 2 E ( Γ + a 0 2 I y ) C ]
where I p c = I x + I y + A ( a 0 + y 0 ) 2 is the polar moment of inertia of the section to C E . I x and I y are the principal moments of inertia of the section to the centroid O. A = h f t f + h w t w is the cross-sectional area of the stiffener. G is the shear modulus. K = ( b i t i 3 ) / 3 is the torsional moment of inertia of the cross-section. C = E t 3 / [ 3 b ( 1 μ 2 ) ] [18] is the torsional spring stiffness.
Therefore, σ E and λ e are negatively correlated, and λ e can be selected as the mechanical parameter for evaluating stiffener tripping. λ e is related not only to the stiffener size but also to the plate size.
Notably, since the stiffener web is connected to the plating and stiffener flange, web buckling has a strong coupling effect with local plate buckling and stiffener tripping, respectively. According to the calculations in the IACS standard [16], the web buckling stress is almost always greater than the local plate buckling stress or the stiffener tripping stress in the normal size range. Therefore, stiffener web buckling can be considered to play a secondary role in a stiffened panel with T-section stiffeners. To facilitate the distinction, web buckling is classified into these two failure modes according to the effect of local plate buckling and stiffener tripping, and web buckling is not considered separately. Zhang [8] also adopted a similar approach when classifying the failure modes of stiffened panels.

4.2. Identification of Stiffener Tripping

Figure 13 shows the relationship between the ultimate strength and β for a stiffener of size 3 and the dashed line indicates the critical value of β for different failure modes. When the plate thickness is large, the beam–column overall failure mode is the main form; when the plate thickness is reduced to a certain extent, the beam–column effect is weakened and the tripping effect of the stiffeners is strengthened; when the plate thickness is very thin, local plate buckling plays a major role.
As shown in Figure 14, as the plating thickness decreases, the stress level of the stiffeners increases while that of the plating decreases, which means that the characteristics of the beam–column buckling are weakened and stiffener tripping gradually plays a major role. As shown in Figure 15, when the thickness of the plating is 17.5 mm, the stiffener has a high stress and obvious transverse displacement, which is very consistent with the characteristics of stiffener tripping. With the reduction in plating thickness, the stress of the stiffener gradually decreases, and the high-stress region becomes periodic and concentrates at the corners of plating between stiffeners, which means that the failure mode changes from stiffener tripping to local plate buckling.
Combined with the trend of ultimate strength, t = 25 ~ 26.5 mm can be regarded as the boundary between beam-column buckling and stiffener tripping, and t = 14 ~ 16.5 mm as the boundary between stiffener tripping and local plate buckling.

4.3. Boundaries of Local Plate Buckling, Stiffener Tripping and Beam–Column Buckling

To carry out a statistical study on the boundary of the failure modes of local plate buckling, stiffener tripping, and beam–column buckling, a series of stiffener sizes (Table 7) that meet the CSR requirements was set. The h w / t w and λ e values of each dataset are essentially equal.
The ultimate strengths of stiffened panels with different combinations of plating and stiffener sizes were calculated. Three factors, the trend of the ultimate strength, the stress and deformation in the ultimate limit state, were combined to determine the failure mode and find the boundary of different failure modes. The critical points of the failure mode were determined with a certain accuracy ( ± 0.75 mm), and nonlinear fitting was used to obtain the boundaries of the failure modes, as shown in Figure 16.
In this study, both h w / t w and λ e were used to evaluate stiffener tripping. It is believed that stiffener tripping only occurs when both h w / t w and λ e are greater than the critical value, and local plate buckling or beam–column buckling only occurs when both h w / t w and λ e are less than the critical value. From λ and β , the coordinates of the critical point ( ( h w / t w ) i , ( λ e ) i ) ( i = 1 , 2 ) can be determined. If h w / t w > ( h w / t w ) i && λ e > ( λ e ) i , stiffener tripping occurs; if h w / t w < ( h w / t w ) i && λ e < ( λ e ) i , local plate buckling or beam–column buckling occurs.
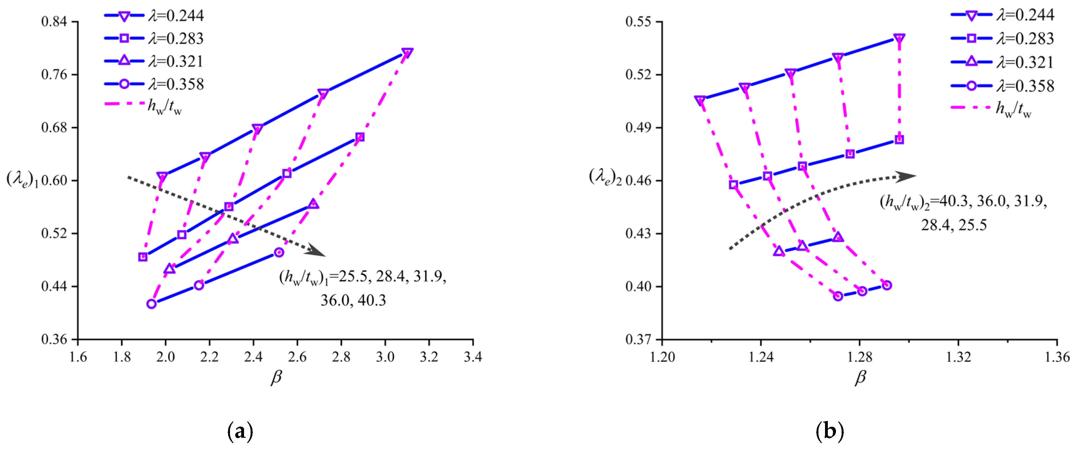
As shown in Figure 17, when λ is constant, ( h w / t w ) 1 and ( λ e ) 1 increase with increasing β , which is consistent with the relative relationship between local plate buckling and stiffener tripping. When λ is constant, ( h w / t w ) 2 decreases with increasing β , and ( λ e ) 2 does not change much, which is consistent with the relative relationship between stiffener tripping and beam–column buckling. Increasing λ or decreasing h w / t w is an effective measure to avoid stiffener tripping.
According to the critical points of the failure modes, the parameters were reasonably selected as dependent variables, and the functional relationships shown in Equations (6)–(8) were obtained through nonlinear fitting.
(6). Critical relationship between Mode II and Mode V:
( λ e ) 1 = 4.8429 λ 2 3.7355 λ 0.0066 β 2 + 0.3549 β 0.3484 λ β + 0.8314 λ = 0.1237 β 2 0.4029 β + 0.0003 h w t w 1 2 + 0.0092 h w t w 1 0.0101 β h w t w 1 + 0.3719
(7). Critical relationship between Mode V and Mode III:
( λ e ) 2 = 3.7232 λ 2 1.6634 λ + 0.4487 β 2 0.3512 β 1.3939 λ β + 0.8683 β = 2.2467 λ 2 1.5263 λ + 0.0001 h w t w 2 2 0.0189 h w t w 2 + 0.0162 λ h w t w 2 + 1.8183
(8). Critical relationship between Mode II and Mode III:
β = 5.5687 λ 2 10.0844 λ + 13.5317 ( λ e ) 3 2 16.7219 ( λ e ) 3 + 15.0091 λ ( λ e ) 3 + 6.5261 λ = 0.4530 β 2 + 1.3132 β + 0.0005 h w t w 3 2 0.0849 h w t w 3 + 0.0404 β h w t w 3 0.0296
Applicable range: 0.244 λ 0.812 , 1.005 β 2.552 , 15.333 h w / t w 40.316 , and 0.222 λ e 0.852 .
First, λ , β , h w / t w and λ e are calculated from the size of the stiffened panel, and then, λ and β are used as benchmarks to obtain the critical values of ( h w / t w ) i and ( λ e ) i using the functional relationship. The identification method is as follows:
When ( h w / t w ) 2 < ( h w / t w ) 1 && ( λ e ) 2 < ( λ e ) 1 : If h w / t w < ( h w / t w ) 2 && λ e < ( λ e ) 2 , III is the main failure mode; if ( h w / t w ) 2 < h w / t w < ( h w / t w ) 1 && ( λ e ) 2 < λ e < ( λ e ) 1 , II is the main failure mode; and if h w / t w > ( h w / t w ) 1 && λ e > ( λ e ) 1 , V is the main failure mode.
When ( h w / t w ) 2 > ( h w / t w ) 1 && ( λ e ) 2 > ( λ e ) 1 , V can be ignored: If h w / t w < ( h w / t w ) 3 && λ e < ( λ e ) 3 , II is the main failure mode; if h w / t w > ( h w / t w ) 3 && λ e > ( λ e ) 3 , III is the main failure mode.
In addition to the above cases, the result can be regarded as a mixed-mode result; that is, there are multiple failure modes, and the effects of these modes on the ultimate strength are similar. At this time, the coupling effect between modes is strong. Additionally, the margin coefficient s can be set to modify the critical values, thereby dividing a certain range near the boundaries into a mixed mode.
Take the stiffened panel with t = 16 mm and stiffener of size 2 as an example; the values of ( h w / t w ) 1 and ( h w / t w ) 2 are 83.68 and 157.90, respectively, which satisfy ( h w / t w ) 2 > ( h w / t w ) 1 . At the same time, the values of ( λ e ) 1 and ( λ e ) 2 are 0.86 and 0.54, which satisfy ( λ e ) 2 > ( λ e ) 1 . Stiffener tripping does not occur in the ultimate limit state and can be ignored. In this case, since the size of the stiffened panel can also meet the requirement that h w / t w < ( h w / t w ) 3 and λ e < ( λ e ) 3 , the failure mode of can be identified as the local plate buckling (mode II).
The distribution of stress and deformation shown in Figure 18 implies that the failure mode of the stiffened panel is local plate buckling, as predicted, which means that the formula proposed in this paper can realize the prediction of the failure mode.

5. Ultimate Strength Evaluation Formula of Stiffened Panels Based on Different Failure Modes

Based on the elastic theory formulas of beam–column buckling, local plate buckling, stiffener web buckling and stiffener tripping and the introduction of a primary term considering plastic range modification, an ultimate strength evaluation in the form of a stiffened panel based on four mechanical parameters is proposed as follows:
σ u σ s = a 1 λ 2 + a 2 β 2 + a 3 ( h w / t w ) 2 + a 4 λ   e       2 + b 1 λ + b 2 β + b 3 h w / t w + b 4 λ   e + c 1 λ + c 2 β + c 3 h w / t w + c 4 λ   e + d
where σ u is the ultimate strength of the stiffened panel and a 1 ~ a 4 , b 1 ~ b 4 , c 1 ~ c 4 , and d are undetermined coefficients.
Using MATLAB to perform multivariate function fitting on the ultimate strength of 255 stiffened panels with different failure modes, the calculation formula is as follows:
σ u σ s = 0.0108 λ 2 1.0546 β 2 + 222.213 ( h w / t w ) 2 0.0298 λ e     2 0.1388 λ + 2.2403 β 23.558 h w / t w + 0.1796 λ   e 0.8993 λ + 0.1302 β 0.01058 h w / t w + 0.1394 λ   e + 0.8239  
Applicable range: 0.163 λ 0.812 , 1.005 β 3.493 , 15.333 h w / t w 40.316 , and 0.222 λ e 1.219 .
The coefficient ( R 2 ) of determination of Equation (10) is 0.94708, and the adjusted R 2 is 0.94198. Statistics on the error ((formula value—finite element value)/finite element value) were obtained, as shown in Figure 19. The error of more than 90% of the data is within ± 2 % , a few results are outside ± 4 % , the fitting effect is good, and the accuracy of Equation (10) is high.
As shown in Table 8, Equation (10) is compared with the evaluation effect determined by Paik [1] and Zhang [4]. Since the parameters in Paik and Zhang’s formulas only contain λ and β , they cannot accurately reflect the effect of stiffener failure. For example, when t = 22 or t = 28 mm, the ultimate strength is slightly reduced after the stiffener is changed from size 3 to size 4. This is because the effect of increasing h w / t w (causing a decrease in the ultimate strength) exceeds the effect of decreasing λ (causing an increase in the ultimate strength).

6. Conclusions

In this study, through nonlinear finite element analysis, an identification method based on four mechanical parameters is established for common failure modes of stiffened panels, and an ultimate strength evaluation formula suitable for different failure modes is proposed. The conclusions are as follows:
(1) Assuming no stiffener tripping, decreasing λ and increasing h w / t w are beneficial to preventing local plate buckling and changing the mode to beam–column buckling. The nonlinear critical curves show that the general form, such as β / λ , struggles to effectively evaluate the failure modes of stiffened panels.
(2) The evolution laws and the relationships of the three failure modes, local plate buckling, stiffener tripping and beam–column buckling, are studied. Increasing λ and decreasing h w / t w are beneficial to preventing stiffener tripping. At the same time, the critical function formulas of the three failure modes are fitted for the evaluation of the failure modes.
(3) Based on a large amount of calculation data, a refined formulation of stiffened panels with four parameters is proposed. h w / t w and λ e are added to the formula to reflect the influence of stiffener tripping. The results can provide a reference for the subsequent study of the failure modes of stiffened plates. A comparison with Paik and Zhang shows that the formulation in this paper has a reasonable form and good precision.
However, it may be too ideal to determine the failure mode by considering the variation trend of the ultimate strength and stress distribution in the ultimate limit state. In subsequent work, more accurate methods for determining failure modes need to be developed, which could improve the accuracy of critical function formulas and ultimate strength.

Author Contributions

Conceptualization, Q.Z.; Methodology, H.Y.; Software, H.Y. and W.C.; Validation, S.W. and W.C.; Resources, Y.H.; Data curation, S.W.; Writing—original draft, H.Y.; Writing—review & editing, H.Y. and S.W.; Supervision, Q.Z. and Y.L.; Project administration, Q.Z. and Y.L.; Funding acquisition, Y.H. All authors have read and agreed to the published version of the manuscript.

Funding

This work has been supported by the China Classification Society and project 51779041 supported by the National Natural Science Foundation of China.

Conflicts of Interest

The authors declare no conflict of interest.

Nomenclatures

λ Column slenderness
β Plate slenderness
h w / t w Height-to-thickness ratio of stiffener
λ e Stiffener tripping slenderness
σ s Yield stress
σ u Ultimate strength of stiffened panels
IMoment of inertia of the section
σ E Elastic buckling stress
I 1 , I 2 Moments of inertia of the two flanges to the y-axis
Γ Sector moment of inertia
C E Forced rotation centre
I p c Polar moment of inertia of the section
I x , I y Principal moments of inertia of the section to the centroid
GShear modulus
KTorsional moment of inertia of the cross-section
CTorsional spring stiffness

References

  1. Paik, J.K.; Thayamballi, A.K. An empirical formulation for predicting the ultimate compressive strength of stiffened panels. In Proceedings of the 7th International Offshore and Polar Engineering Conference, Honolulu, HI, USA, 25–30 May 1997. [Google Scholar]
  2. Paik, J.K. Empirical formulations for predicting the ultimate compressive strength of welded aluminum stiffened panels. Thin-Walled Struct. 2007, 45, 171–184. [Google Scholar] [CrossRef]
  3. Khedmati, M.R.; Zareei, M.R.; Rigo, P. Empirical formulations for estimation of ultimate strength of continuous stiffened aluminium plates under combined in-plane compression and lateral pressure. Steel Constr. 2010, 48, 274–289. [Google Scholar] [CrossRef]
  4. Zhang, S.; Khan, I. Buckling and ultimate capability of panels and stiffened panels in axial compression. Mar. Struct. 2009, 22, 791–808. [Google Scholar] [CrossRef]
  5. Faulkner, D.; Adamchak, J.C.; Snyder, G.J.; Vetter, M.F. Synthesis of welded grillages to withstand compression and normal loads. Comput. Struct. 1973, 3, 221–246. [Google Scholar] [CrossRef]
  6. Xu, M.C.; Song, Z.J.; Zhang, B.W.; Pan, J. Empirical formula for predicting ultimate strength of stiffened panel of ship structure under combined longitudinal compression and lateral loads. Ocean Eng. 2018, 162, 161–175. [Google Scholar] [CrossRef]
  7. Grondin, G.Y.; Elwi, A.E.; Cheng, J.J.R. Buckling of stiffened steel plates—A parametric study. J. Constr. Steel Res. 1999, 50, P151–P175. [Google Scholar] [CrossRef]
  8. Ozguc, O. Nonlinear Buckling Simulations of Stiffened Panel Exposed to Combination of Transverse Compression, Shear Force and Lateral Pressure Loadings. J. Inst. Eng. India Ser. C 2021, 102, 397–408. [Google Scholar] [CrossRef]
  9. Ringsberg, J.W.; Darie, I.; Nahshon, K.; Shilling, G.; Vaz, M.A.; Benson, S.; Yanagihara, D. The ISSC 2022 committee III. 1-Ultimate strength benchmark study on the ultimate limit state analysis of a stiffened plate structure subjected to uniaxial compressive loads. Mar. Struct. 2021, 79, 103026. [Google Scholar] [CrossRef]
  10. Paik, J.K.; Kim, B.J. Ultimate strength formulations for stiffened panels under combined axial load, in-plane bending and lateral pressure: A benchmark study. Thin-Walled Struct. 2002, 40, 45–83. [Google Scholar] [CrossRef]
  11. Paik, J.K.; Amlashi, H.; Boon, B.; Branner, K.; Caridis, P.; Das, P.; Yang, P. ISSC2012–Committee III.1 Ultimate Strength. In Proceedings of the 18th International Ship and Offshore Structures Congress (ISSC). Rostock, Germany, 10–13 September 2012; Volume 1. [Google Scholar]
  12. Xu, M.C.; Yanagihara, D.; Fujikubo, M.; Soares, C.G. Influence of boundary conditions on the collapse behaviour of stiffened panels under combined loads. Mar. Struct. 2013, 34, 205–225. [Google Scholar] [CrossRef]
  13. Frieze, P.A.; Abbattista, M.; Vallascas, M.; Paik, J.K. A Benchmark Study of ISO 18072-2 on the Stiffened Panel Ultimate Strength. In Proceedings of the ASME 2011 30th International Conference on Ocean, Offshore and Arctic Engineering, Rotterdam, The Netherlands, 19–24 June 2011. [Google Scholar]
  14. Von Karman. Die Millragenc Bricite; Springer: Berlin, Germany, 1924. [Google Scholar]
  15. Class, N.K. Rules for the survey and construction of steel ships. Part CSR-B Common Struct. Rules Bulk Carr. 2015, 2015, 406–408. [Google Scholar]
  16. IASC. Common Structural Rules for Bulk Carriers and Oil Tankers; International Association of Classification Societies: London, UK, 2019. [Google Scholar]
  17. Bleich, F. Buckling Strength of Metal Structures; McGraw-Hill Book Co.: New York, NY, USA, 1952. [Google Scholar]
  18. Hu, Y.; Chen, B.; Sun, J. Tripping of thin-walled stiffeners in the axially compressed stiffened panel with lateral pressure. J. Shanghai Jiaotong Univ. 2000, 37, 1–26. [Google Scholar] [CrossRef]
Figure 1. Six failure modes of stiffened panels. (a) I: Overall buckling; (b) II: local plate buckling; (c) III: beam–column buckling; (d) IV: stiffener web buckling; (e) V: stiffener tripping; (f) VI: overall yielding.
Figure 1. Six failure modes of stiffened panels. (a) I: Overall buckling; (b) II: local plate buckling; (c) III: beam–column buckling; (d) IV: stiffener web buckling; (e) V: stiffener tripping; (f) VI: overall yielding.
Jmse 11 01214 g001
Figure 2. Benchmark model of the bulk carrier bottom panel.
Figure 2. Benchmark model of the bulk carrier bottom panel.
Jmse 11 01214 g002
Figure 3. Boundary constraints of the stiffened panels. (a) Single-stiffener; (b) symmetrical; (c) periodic.
Figure 3. Boundary constraints of the stiffened panels. (a) Single-stiffener; (b) symmetrical; (c) periodic.
Jmse 11 01214 g003
Figure 4. Comparison of equivalent stress results under three boundary conditions. (a) Single-stiffener; (b) symmetrical; (c) periodic.
Figure 4. Comparison of equivalent stress results under three boundary conditions. (a) Single-stiffener; (b) symmetrical; (c) periodic.
Jmse 11 01214 g004
Figure 5. Ultimate strength with different element numbers. (a) Element number of the plating; (b) Element number of the flange; (c) Element number of the web;.
Figure 5. Ultimate strength with different element numbers. (a) Element number of the plating; (b) Element number of the flange; (c) Element number of the web;.
Jmse 11 01214 g005
Figure 6. Mesh of stiffened panels.
Figure 6. Mesh of stiffened panels.
Jmse 11 01214 g006
Figure 7. Beam–column buckling (a) and local plate buckling (b) (size 1).
Figure 7. Beam–column buckling (a) and local plate buckling (b) (size 1).
Jmse 11 01214 g007
Figure 8. Beam–column buckling (a) and local plate buckling (b) (size 2).
Figure 8. Beam–column buckling (a) and local plate buckling (b) (size 2).
Jmse 11 01214 g008
Figure 9. Ultimate strength curve (size 2).
Figure 9. Ultimate strength curve (size 2).
Jmse 11 01214 g009
Figure 10. Transition from beam–column buckling to local plate buckling (size 2). (a) t = 28 mm ( β = 1.185 ); (b) t = 26.5 mm ( β = 1.252 ); (c) t = 25 mm ( β = 1.327 ); (d) t = 23.5 mm ( β = 1.412 ).
Figure 10. Transition from beam–column buckling to local plate buckling (size 2). (a) t = 28 mm ( β = 1.185 ); (b) t = 26.5 mm ( β = 1.252 ); (c) t = 25 mm ( β = 1.327 ); (d) t = 23.5 mm ( β = 1.412 ).
Jmse 11 01214 g010
Figure 11. Boundaries of local plate buckling and beam–column buckling.
Figure 11. Boundaries of local plate buckling and beam–column buckling.
Jmse 11 01214 g011
Figure 12. Geometric diagram of the torsion of an I-beam.
Figure 12. Geometric diagram of the torsion of an I-beam.
Jmse 11 01214 g012
Figure 13. Ultimate strength variation curve (size 3).
Figure 13. Ultimate strength variation curve (size 3).
Jmse 11 01214 g013
Figure 14. Transition from beam–column buckling to stiffener tripping (size 3). (a) t = 28 mm ( β = 1.185 ); (b) t = 26.5 mm ( β = 1.252 ); (c) t = 25 mm ( β = 1.327 ); (d) t = 23.5 mm ( β = 1.412 ).
Figure 14. Transition from beam–column buckling to stiffener tripping (size 3). (a) t = 28 mm ( β = 1.185 ); (b) t = 26.5 mm ( β = 1.252 ); (c) t = 25 mm ( β = 1.327 ); (d) t = 23.5 mm ( β = 1.412 ).
Jmse 11 01214 g014
Figure 15. Transition from stiffener tripping to local plate buckling (size 3). (a) t = 17.5 mm ( β = 1.896 ); (b) t = 16 mm ( β = 2.074 ); (c) t = 14.5 mm ( β = 2.288 ); (d) t = 13 mm ( β = 2.552 ); (e) t = 11.5 mm ( β = 2.885 ); (f) t = 10 mm ( β = 3.318 ).
Figure 15. Transition from stiffener tripping to local plate buckling (size 3). (a) t = 17.5 mm ( β = 1.896 ); (b) t = 16 mm ( β = 2.074 ); (c) t = 14.5 mm ( β = 2.288 ); (d) t = 13 mm ( β = 2.552 ); (e) t = 11.5 mm ( β = 2.885 ); (f) t = 10 mm ( β = 3.318 ).
Jmse 11 01214 g015
Figure 16. Boundaries of local plate buckling (II), stiffener tripping (V) and beam–column buckling (III). (a) Critical surfaces of local plate buckling and stiffener tripping; (b) critical surfaces of stiffener tripping and beam–column buckling.
Figure 16. Boundaries of local plate buckling (II), stiffener tripping (V) and beam–column buckling (III). (a) Critical surfaces of local plate buckling and stiffener tripping; (b) critical surfaces of stiffener tripping and beam–column buckling.
Jmse 11 01214 g016aJmse 11 01214 g016b
Figure 17. Critical points of local plate buckling (II), stiffener tripping (V) and beam–column buckling (III). (a) Critical points of II and V; (b) critical points of III and V.
Figure 17. Critical points of local plate buckling (II), stiffener tripping (V) and beam–column buckling (III). (a) Critical points of II and V; (b) critical points of III and V.
Jmse 11 01214 g017
Figure 18. Equivalent stress cloud diagram of stiffened panel ( t = 16 size 2).
Figure 18. Equivalent stress cloud diagram of stiffened panel ( t = 16 size 2).
Jmse 11 01214 g018
Figure 19. Error frequency distribution histogram.
Figure 19. Error frequency distribution histogram.
Jmse 11 01214 g019
Table 1. Material and geometric parameters of stiffened panels.
Table 1. Material and geometric parameters of stiffened panels.
Physical Quantity/UnitsSymbolValue
Plate length/mm a 2550
Plate width/mm b 850
Plate thickness/mm t 9.5, 11, 13, 16, 22, 33
Stiffener size 1/mm h w × b f × t w / t f 138 × 90 × 9 / 12
Stiffener size 2/mm h w × b f × t w / t f 235 × 90 × 10 / 15
Stiffener size 3/mm h w × b f × t w / t f 383 × 100 × 12 / 17
Stiffener size 4/mm h w × b f × t w / t f 580 × 150 × 15 / 20
Elastic modulus/MPa E 2.058 × 10 5
Yield stress/MPa σ s 313.6
Poisson’s ratio μ 0.3
Table 2. Ultimate strength results for different model ranges.
Table 2. Ultimate strength results for different model ranges.
Model RangeSingle-StiffenerSymmetricalPeriodic
Ultimate strength/MPa283.544237.979237.973
Table 3. Periodic boundary conditions.
Table 3. Periodic boundary conditions.
A 2 B 2 ,   A 3 B 3 :   u z = 0 ,   θ x = 0
A 1 A 4 :   u y = 0 ,   θ x = 0 ,   θ z = 0
B 1 Β 4 :   u y = C d y 1 ( C o u p l i n g   i n   t h e   y   d i r e c t i o n ) ,   θ x = 0 ,   θ z = 0
A 1 B 1 :   u x = 0 ,   θ y = 0 ,   θ z = 0
A 4 Β 4 :   u x = C d x 1 ( Coupling   in   the   x   direction ) ,   θ y = 0 ,   θ z = 0
E 2 F 2 ,   E 3 F 3   :   u y = C d y 2 ( C o u p l i n g   a t   e a c h   w e b ) ,   θ x = 0
E 1 F 1   at   C 1 ,   C 3 ,   C 4   and   C 6   ( including   flange ) :   u x = 0 ,   θ y = 0 ,   θ z = 0
E 4 F 4   at   D 1 ,   D 3 ,   D 4   and   D 6   ( i n c l u d i n g   f l a n g e )   :   u x = C d x 2 ,   θ y = 0 ,   θ z = 0
C 2 D 2 ,   C 5 D 5 :   u z = 0 ,   θ y = 0
Table 4. Symmetric boundary conditions.
Table 4. Symmetric boundary conditions.
A 2 B 2 :   u z = 0 ,   θ x = 0
A 1 A 4 :   u y = 0 ,   θ x = 0 ,   θ z = 0
B 1 Β 4 :   u y = C d y ( C o u p l i n g   i n   t h e   y   d i r e c t i o n ) ,   θ x = 0 ,   θ z = 0
A 1 B 1 :   u x = 0 ,   θ y = 0 ,   θ z = 0
A 4 Β 4 :   u x = C d x ( Coupling   in   the   x   direction ) ,   θ y = 0 ,   θ z = 0
E 2 F 2 :   u y = C d y ( C o u p l i n g   a t   e a c h   w e b ) ,   θ x = 0
E 1 F 1   at   C 1 ,   C 3 ,   C 4   and   C 6   ( including   flange ) :   u x = 0 ,   θ y = 0 ,   θ z = 0
E 4 F 4   at   D 1 ,   D 3 ,   D 4   and   D 6   ( i n c l u d i n g   f l a n g e )   :   u x = C d x ,   θ y = 0 ,   θ z = 0
C 2 D 2 ,   C 5 D 5 :   u z = 0 ,   θ y = 0
Table 5. Comparison of the calculation results of the ultimate strength of the stiffened panels.
Table 5. Comparison of the calculation results of the ultimate strength of the stiffened panels.
Source of DataThickness of the Plating (mm)Size of the Stiffener σ u / σ s   from   the
Literature
σ u / σ s   from   This   Paper Error
Frieze P A,9.5size 10.5950.590−0.8%
Abbattista M,size 20.6410.629−1.9%
Vallascas M, et al. [13]size 30.6590.653−0.9%
(MSC/MARC)size 40.6800.672−1.2%
ISSC2012 [11]
(ANSYS(ULG))
9.5size 30.6350.6532.8%
110.6530.6722.9%
130.6880.7022.0%
160.7470.7591.6%
220.8650.8832.1%
330.9640.9852.2%
Table 6. Stiffener sizes for the study of local plate buckling and beam–column buckling.
Table 6. Stiffener sizes for the study of local plate buckling and beam–column buckling.
No. h w / mm b f / mm t w / mm t f / mm λ h w / t w λ e ( t = 22 )
def 1111.9356.837.3110.81215.30.296
def 2124.271.358.111.50.73615.30.296
size 1138909120.66715.30.297
def 4153.33113.811012.50.60515.30.297
def 5170.214411.1130.55015.30.297
def 6168.0344.117.1511.50.54823.50.427
def 7186.8355.097.9512.50.49223.50.427
def 8207.9869.18.8513.50.44223.50.428
size 22359010150.39123.50.428
def 10271.43121.5511.5515.50.34023.50.428
Table 7. Stiffener sizes for the study of local plate buckling, stiffener tripping and beam–column buckling.
Table 7. Stiffener sizes for the study of local plate buckling, stiffener tripping and beam–column buckling.
No. h w / mm b f / mm t w / mm t f / mm λ h w / t w λ e ( t = 22 )
case 1383929.515.50.24440.30.591
case 23839610.65160.24436.00.592
size 338310012170.24431.90.594
case 4383103.513.5180.24428.40.597
case 538310615190.24425.50.600
case 6330868.1913.50.28340.30.531
case 7330909.18140.28336.00.532
case 83309410.3414.50.28331.90.533
case 93309811.63150.28328.40.535
case 1033010112.92160.28325.50.537
case 11290827.1912.10.32140.30.482
case 12290868.0612.50.32136.00.482
case 13290909.09130.33131.90.483
case 1426077.56.45110.35840.30.447
case 15260817.23110.35836.00.448
case 16260858.1511.50.35831.90.448
Table 8. Comparison of the calculation results of the fitting formulas.
Table 8. Comparison of the calculation results of the fitting formulas.
t Sizes of
Stiffeners
FEM
σ u / σ s
PaikZhangEquation (10)Error of
Equation (10)
16size 10.7090.6340.7220.7110.3%
size 20.7400.7090.7960.7511.5%
size 30.7590.7390.8110.756−0.4%
size 40.7650.7510.8140.756−1.2%
22size 10.8070.7110.7900.8130.7%
size 20.8760.7930.8700.874−0.2%
size 30.8830.8270.8860.878−0.6%
size 40.8740.8400.8900.8740.0%
28size 10.8570.7550.8450.8570.0%
size 20.9580.8400.9310.952−0.6%
size 30.9630.8750.9480.9630.0%
size 40.9460.8890.9520.9581.3%
(Note: Zhang): σ u / σ s = β 0.28 ( 1 + λ 3.2 ) 0.5 ; Paik: σ u / σ s = ( 0.995 + 0.936 λ 2 + 0.170 β 2 + 0.188 λ 2 β 2 0.067 λ 4 ) 0.5 .
Disclaimer/Publisher’s Note: The statements, opinions and data contained in all publications are solely those of the individual author(s) and contributor(s) and not of MDPI and/or the editor(s). MDPI and/or the editor(s) disclaim responsibility for any injury to people or property resulting from any ideas, methods, instructions or products referred to in the content.

Share and Cite

MDPI and ACS Style

Zhang, Q.; Yang, H.; Wu, S.; Cheng, W.; Liang, Y.; Huang, Y. A Study on the Ultimate Strength and Failure Mode of Stiffened Panels. J. Mar. Sci. Eng. 2023, 11, 1214. https://doi.org/10.3390/jmse11061214

AMA Style

Zhang Q, Yang H, Wu S, Cheng W, Liang Y, Huang Y. A Study on the Ultimate Strength and Failure Mode of Stiffened Panels. Journal of Marine Science and Engineering. 2023; 11(6):1214. https://doi.org/10.3390/jmse11061214

Chicago/Turabian Style

Zhang, Qi, Hongqi Yang, Shuang Wu, Wenbo Cheng, Yuanhua Liang, and Yi Huang. 2023. "A Study on the Ultimate Strength and Failure Mode of Stiffened Panels" Journal of Marine Science and Engineering 11, no. 6: 1214. https://doi.org/10.3390/jmse11061214

APA Style

Zhang, Q., Yang, H., Wu, S., Cheng, W., Liang, Y., & Huang, Y. (2023). A Study on the Ultimate Strength and Failure Mode of Stiffened Panels. Journal of Marine Science and Engineering, 11(6), 1214. https://doi.org/10.3390/jmse11061214

Note that from the first issue of 2016, this journal uses article numbers instead of page numbers. See further details here.

Article Metrics

Back to TopTop