Material Cost Minimization Method of the Ship Structure Considering Material Selection
Abstract
1. Introduction
2. Optimization Algorithm
2.1. Material Selection Strategy

2.2. Size Optimization
2.3. Optimization Process
2.4. Genetic Algorithm
3. Case Study
3.1. Model
3.2. Design Variables
3.3. Constraints
- : factor for combined membrane and bending response (1.50 in general);
- s: stiffener spacing (mm);
- p: pressure (N/mm2);
- : allowable stress (N/mm2).
3.4. Objective Function
- Lx = width or length in x-direction (mm);
- Ly = width or length in y-direction (mm);
- ρ = material density (kg/mm3);
- ti = plate thickness (mm);
- Ci = material price (¥/kg).
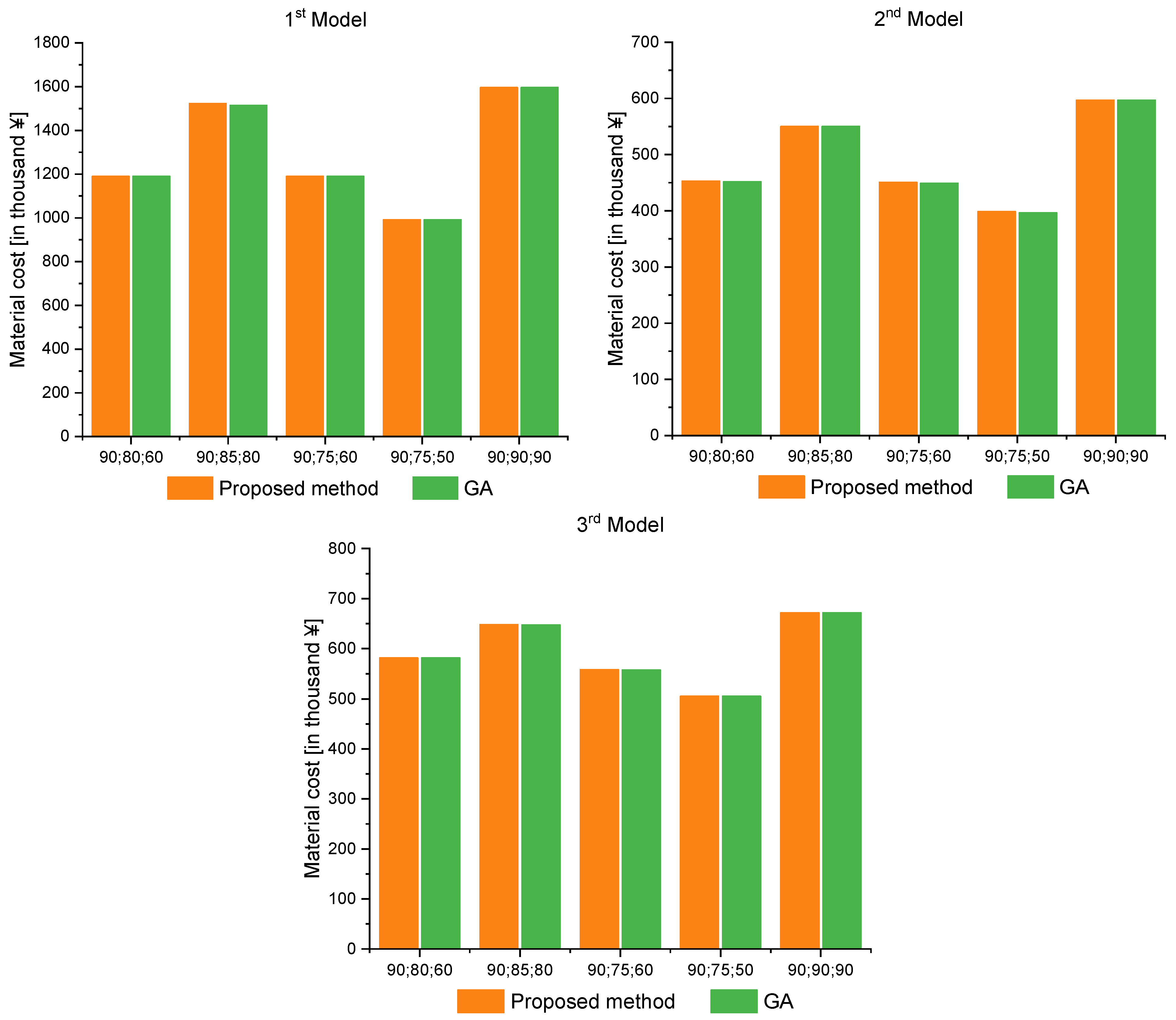
4. Result and Discussion
5. Conclusions
Author Contributions
Funding
Institutional Review Board Statement
Informed Consent Statement
Data Availability Statement
Acknowledgments
Conflicts of Interest
References
- Dong, D.T.; Cai, W. A comparative study of life cycle assessment of a Panamax bulk carrier in consideration of lightship weight. Ocean Eng. 2018, 172, 583–598. [Google Scholar] [CrossRef]
- Council, E.M.E. Green Ship Technology Book: Existing Technology by the Marine Equipment Industry: A Contribution to the Reduction of the Environmental Impact of Shipping. European Marine Equipment Council. 2010. Available online: https://books.google.co.id/books?id=qXyhAQAACAAJ (accessed on 20 December 2022).
- Kallassy, A.; Marcelin, J.L. Optimization of stiffened plates by genetic search. Struct. Multidiscip. Optim. 1997, 13, 134–141. [Google Scholar] [CrossRef]
- Marcelin, J.L. Genetic optimization of stiffened plates and shells. Int. J. Numer. Methods Eng. 2001, 51, 1079–1088. [Google Scholar] [CrossRef]
- Alinia, M. A study into optimization of stiffeners in plates subjected to shear loading. Thin-Walled Struct. 2005, 43, 845–860. [Google Scholar] [CrossRef]
- Wang, B.; Tian, K.; Hao, P.; Cai, Y.; Li, Y.; Sun, Y. Hybrid analysis and optimization of hierarchical stiffened plates based on asymptotic homogenization method. Compos. Struct. 2015, 132, 136–147. [Google Scholar] [CrossRef]
- Nonami, R.; Kitamura, M.; Takezawa, A.; Hirakawa, S. A Study on Optimization the Structure of Ship in Consideration of Layout of the Stiffeners. In Proceedings of the Twenty-Fourth International Ocean and Polar Engineering Conference, Busan, Republic of Korea, 15–20 June 2014; Volume 3, pp. 876–882. [Google Scholar]
- Um, T.-S.; Roh, M.-I. Optimal dimension design of a hatch cover for lightening a bulk carrier. Int. J. Nav. Arch. Ocean Eng. 2015, 7, 270–287. [Google Scholar] [CrossRef]
- Shin, S.-H.; Ko, D.-E. A study on minimum weight design of vertical corrugated bulkheads for chemical tankers. Int. J. Nav. Arch. Ocean Eng. 2017, 10, 180–187. [Google Scholar] [CrossRef]
- Putra, G.L.; Kitamura, M.; Takezawa, A. Structural optimization of stiffener layout for stiffened plate using hybrid GA. Int. J. Nav. Arch. Ocean Eng. 2019, 11, 809–818. [Google Scholar] [CrossRef]
- Poulikidou, S.; Schneider, C.; Björklund, A.; Kazemahvazi, S.; Wennhage, P.; Zenkert, D. A material selection approach to evaluate material substitution for minimizing the life cycle environmental impact of vehicles. Mater. Des. 2015, 83, 704–712. [Google Scholar] [CrossRef]
- Kaspar, J.; Baehre, D.; Vielhaber, M. Material Selection Based on a Product and Production Engineering Integration Framework. Procedia CIRP 2016, 50, 2–7. [Google Scholar] [CrossRef]
- Yang, S.; Nasr, N.; Ong, S.; Nee, A. Designing automotive products for remanufacturing from material selection perspective. J. Clean. Prod. 2017, 153, 570–579. [Google Scholar] [CrossRef]
- Mehmood, Z.; Haneef, I.; Udrea, F. Material selection for Micro-Electro-Mechanical-Systems (MEMS) using Ashby’s approach. Mater. Des. 2018, 157, 412–430. [Google Scholar] [CrossRef]
- Putra, G.L.; Kitamura, M. Study on optimal design of hatch cover via a three-stage optimization method involving material selection, size, and plate layout arrangement. Ocean Eng. 2021, 219, 108284. [Google Scholar] [CrossRef]
- Aires, R.F.D.F.; Ferreira, L. A New Multi-Criteria Approach for Sustainable Material Selection Problem. Sustainability 2022, 14, 11191. [Google Scholar] [CrossRef]
- Emovon, I.; Oghenenyerovwho, O.S. Application of MCDM method in material selection for optimal design: A review. Results Mater. 2020, 7, 100115. [Google Scholar] [CrossRef]
- Kitamura, M.; Hamada, K.; Takezawa, A.; Uedera, T. Shape optimization system of bottom structure of ship incorporating individual mesh subdivision and multi-point constraint. Int. J. Offshore Polar Eng. 2011, 21, 209–215. [Google Scholar]
- Liu, H.; Niu, Z.; Du, J.; Lin, X. Genetic algorithm for delay efficient computation offloading in dispersed computing. Ad. Hoc. Netw. 2023, 142, 103109. [Google Scholar] [CrossRef]
- Wang, Z.; Cao, L.; Si, H. An improved genetic algorithm for determining the optimal operation strategy of thermal energy storage tank in combined heat and power units. J. Energy Storage 2021, 43, 103313. [Google Scholar] [CrossRef]
- Rojas, M.G.; Olivera, A.C.; Carballido, J.A.; Vidal, P.J. Memetic micro-genetic algorithms for cancer data classification. Intell. Syst. Appl. 2023, 17, 200173. [Google Scholar] [CrossRef]
- Hatamizadeh, A.; Sedaee, B. Simulation of carbonate reservoirs acidizing using machine and meta-learning methods and its optimization by the genetic algorithm. Geoenergy Sci. Eng. 2023, 223, 211509. [Google Scholar] [CrossRef]
- Futuyma, D. Evolution. Sinauer Associates. 2014. Available online: https://books.google.co.id/books/about/Evolution.html?id=CQJFAQAAIAAJ&redir_esc=y (accessed on 15 November 2022).
- Venkataraman, P. Applied Optimization with MATLAB Programming; John Wiley and Sons: Hoboken, NJ, USA, 2002. [Google Scholar]
- IMO. IACS Common Structural Rules for Bulk Carriers and Oil Tankers; International Association of Classification Societies: London, UK, 2012. [Google Scholar]












| Parameter | Previous Method | Proposed Method |
|---|---|---|
| Plate Material | Genetic Algorithm | Upgrade Method |
| Plate Thickness | Size Optimization | |
| Price No. | Yield Strength [N/mm2] | Material Cost [\/kg] | Cost Effectiveness Score | Cost Effectiveness Rank | ||||||||
|---|---|---|---|---|---|---|---|---|---|---|---|---|
| HT36 | HT32 | MS | HT36 | HT32 | MS | HT36 | HT32 | MS | High | Medium | Low | |
| 1 | 355 | 315 | 235 | 90 | 80 | 60 | 3.944 | 3.938 | 3.917 | HT36 | HT32 | MS |
| 2 | 90 | 85 | 80 | 3.944 | 3.706 | 2.938 | HT36 | HT32 | MS | |||
| 3 | 90 | 75 | 60 | 3.944 | 4.200 | 3.917 | HT32 | HT36 | MS | |||
| 4 | 90 | 75 | 50 | 3.944 | 4.200 | 4.700 | MS | HT32 | HT36 | |||
| 5 | 90 | 90 | 90 | 3.944 | 3.500 | 2.611 | HT36 | HT32 | MS | |||
| Item | Unit | 1st Model | 2nd Model | 3rd Model |
|---|---|---|---|---|
| L (length) | Mm | 18,030 | 9462 | 9462 |
| W (width) | Mm | 7475 | 4970 | 5705 |
| H (height) | Mm | 800 | 815 | 815 |
| Load | N/mm2 | 0.0343 | 0.0343 | 0.0343 |
| Initial material type | - | MS, HT32, HT36 | MS, HT32 | MS, HT32 |
| Density | kg/m3 | 7800 | 7800 | 7800 |
| Plate number | 16 | 20 | 18 |
| Material Type | Young Modulus (N/mm2) | Density (kg/m3) | Poisson Ratio | Yield Strength (N/mm2) |
|---|---|---|---|---|
| MS | 200,000 | 7800 | 0.3 | 235 |
| HT32 | 200,000 | 7800 | 0.3 | 315 |
| HT36 | 200,000 | 7800 | 0.3 | 355 |
| Parameter | |
|---|---|
| Max. Generation | 50 |
| Population size | 200 |
| Mutation rate | 0.1 |
| Random seed | 0 |
| Proposed Method (Hour) | GA (Hour) | |
|---|---|---|
| 1st model | 0.06 | >3.0 |
| 2nd model | 0.22 | >13.0 |
| 3rd model | 0.12 | >7.0 |
Disclaimer/Publisher’s Note: The statements, opinions and data contained in all publications are solely those of the individual author(s) and contributor(s) and not of MDPI and/or the editor(s). MDPI and/or the editor(s) disclaim responsibility for any injury to people or property resulting from any ideas, methods, instructions or products referred to in the content. |
© 2023 by the authors. Licensee MDPI, Basel, Switzerland. This article is an open access article distributed under the terms and conditions of the Creative Commons Attribution (CC BY) license (https://creativecommons.org/licenses/by/4.0/).
Share and Cite
Putra, G.L.; Kitamura, M. Material Cost Minimization Method of the Ship Structure Considering Material Selection. J. Mar. Sci. Eng. 2023, 11, 640. https://doi.org/10.3390/jmse11030640
Putra GL, Kitamura M. Material Cost Minimization Method of the Ship Structure Considering Material Selection. Journal of Marine Science and Engineering. 2023; 11(3):640. https://doi.org/10.3390/jmse11030640
Chicago/Turabian StylePutra, Gerry Liston, and Mitsuru Kitamura. 2023. "Material Cost Minimization Method of the Ship Structure Considering Material Selection" Journal of Marine Science and Engineering 11, no. 3: 640. https://doi.org/10.3390/jmse11030640
APA StylePutra, G. L., & Kitamura, M. (2023). Material Cost Minimization Method of the Ship Structure Considering Material Selection. Journal of Marine Science and Engineering, 11(3), 640. https://doi.org/10.3390/jmse11030640

