Performance Analysis of MIMO-mQAM System with Pointing Errors and Beam Spreading in Underwater Málaga Turbulence Channel
Abstract
1. Introduction
2. System Model
- (1)
- The UWOC turbulence channel is memoryless, stationary, and ergodic, as well as independent and identically distributed. Its channel state information (CSI) is known by the transmitters and receivers;
- (2)
- Since the optical communication link length is much longer than the optical wavelength, the system ignores spatial correlations. Moreover, the noise at received branches is independent and uncorrelated.
3. Channel Model
3.1. Turbulence Model
3.2. Pointing Error Model
3.3. MIMO Joint Fading Channel Model
4. UWOC-MIMO System Performance Analysis
4.1. System Average BER Analysis
4.2. Link Outage Probability Analysis
5. Numerical Results and Discussion
5.1. Simulation Parameters
5.2. System Average BER
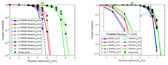
5.3. System Outage Performance
6. Conclusions
Author Contributions
Funding
Institutional Review Board Statement
Informed Consent Statement
Data Availability Statement
Acknowledgments
Conflicts of Interest
References
- Zeng, Z.; Fu, S.; Zhang, H.; Dong, Y.; Cheng, J. A survey of underwater optical wireless communications. IEEE Commun. Surv. Tutor. 2017, 19, 204–238. [Google Scholar] [CrossRef]
- Saeed, N.; Celik, A.; Al-Naffouri, T.Y.; Alouini, M.-S. Underwater optical wireless communications, networking, and localization: A survey. Ad Hoc Netw. 2019, 94, 101935. [Google Scholar] [CrossRef]
- Andrews, L.C.; Phillips, R.L. Laser Beam Propagation through Random Media, 2nd ed.; SPIE: Washington, DC, USA, 2005; pp. 202–271, 765–769. [Google Scholar]
- Ata, Y.; Baykal, Y.; Gökçe, M.C. Analysis of wander and spreading of an optical beam by using the oceanic turbulence optical power spectrum. J. Opt. Soc. Am. B 2022, 39, 2129–2137. [Google Scholar] [CrossRef]
- Lu, L.; Wang, Z.; Zhang, P.; Zhang, J.; Ji, X.; Fan, C.; Qiao, C. Beam wander of laser beam propagating through oceanic turbulence. Optik 2016, 127, 5341–5346. [Google Scholar] [CrossRef]
- Ansari, I.S.; Yilmaz, F.; Alouini, M.-S. Performance analysis of free-space optical links over Málaga (M) turbulence channels with pointing errors. IEEE Trans. Wirel. Commun. 2016, 15, 91–102. [Google Scholar] [CrossRef]
- Li, R.; Luo, Y.; Dang, A. Unified expressions of ASEP over Málaga (M) turbulence channel. Opt. Commun. 2018, 423, 74–80. [Google Scholar] [CrossRef]
- Lin, Z.; Xu, G.; Zhang, Q.; Song, Z. Average symbol error probability and channel capacity of the underwater wireless optical communication systems over oceanic turbulence with pointing error impairments. Opt. Express 2022, 30, 15327–15343. [Google Scholar] [CrossRef]
- Fu, Y.; Duan, Q.; Huang, C.; Du, Y.; Zhou, L. Average BER performance of rectangular QAM-UWOC over strong oceanic turbulence channels with pointing error. Opt. Commun. 2020, 476, 126362. [Google Scholar] [CrossRef]
- Rahman, Z.; Tailor, N.V.; Zafaruddin, S.M.; Chaubey, V.K. Unified performance assessment of Optical Wireless Communication over Multi-Layer underwater channels. IEEE Photonics J. 2022, 14, 3201081. [Google Scholar] [CrossRef]
- Hema, R.; Sudha, S.; Aarthi, K. Performance studies of MIMO based DCO-OFDM in underwater wireless optical communication systems. J. Mar. Sci. Technol. 2021, 26, 97–107. [Google Scholar] [CrossRef]
- Ramavath, P.N.; Udupi, S.A.; Krishnan, P. High-speed and reliable Underwater Wireless Optical Communication system using Multiple-Input Multiple-Output and channel coding techniques for IoUT applications. Opt. Commun. 2020, 461, 125229. [Google Scholar] [CrossRef]
- Mohammad, V.J.; Jawad, A.S.; Farhad, A. Performance studies of underwater wireless optical communication systems with spatial diversity: MIMO scheme. IEEE Trans. Commun. 2017, 65, 1176–1192. [Google Scholar]
- Eyyuboğlu, H.T.; Baykal, Y.; Cai, Y. Scintillations of laser array beams. Appl. Phys. B 2008, 91, 265–271. [Google Scholar] [CrossRef]
- Lu, L.; Zhang, P.; Fan, C.; Qiao, C. Influence of oceanic turbulence on propagation of a radial Gaussian beam array. Opt. Express 2015, 23, 2827–2836. [Google Scholar] [CrossRef]
- Cui, Z.; Yue, P.; Yi, X.; Li, J. Effect of convergent beam array on reducing scintillation in underwater wireless optical communications with pointing errors. Opt. Express 2021, 29, 9846–9860. [Google Scholar] [CrossRef]
- Wang, J.; Yin, H.; Liang, Y.; Ji, X. Performance Analysis of MIMO-QAM System with Pointing Errors in Underwater Málaga Turbulence Channel. In Proceedings of the 14th International Conference on Communication Software and Networks (ICCSN), Chongqing, China, 10–12 June 2022. [Google Scholar]
- Vu, B.T.; Dang, N.T.; Thang, T.C.; Pham, A.T. Bit error rate analysis of rectangular QAM/FSO systems using an APD receiver over atmospheric turbulence channels. J. Opt. Commun. Netw. 2013, 5, 437–446. [Google Scholar] [CrossRef]
- Simon, M.K.; Alouini, M.S. Digital Communication over Fading Channels, 2nd ed.; John Wiley & Sons, Inc.: Hoboken, NJ, USA, 2005; pp. 316–380. [Google Scholar]
- Cox, W.C. Simulation, Modeling, and Design of Underwater Optical Communication Systems. Ph.D. Thesis, North Carolina State University, Raleigh, NC, USA, 2012. [Google Scholar]
- Arya, S.; Chung, Y. A unified statistical model for Málaga distributed optical scattering communications. Opt. Commun. 2020, 463, 125402. [Google Scholar] [CrossRef]
- Mohammed, E.; Murat, U.; Yahya, B.; Mohamed, A.; Khalid, Q. Effect of eddy diffusivity ratio on underwater optical scintillation index. J. Opt. Soc. Am. A 2017, 34, 1969–1973. [Google Scholar]
- Yao, J.; Mohammed, E.; Olga, K.R. Spatial power spectrum of natural water turbulence with any average temperature, salinity concentration, and light wavelength. J. Opt. Soc. Am. A 2020, 37, 1614–1621. [Google Scholar] [CrossRef]
- Ricklin, J.C.; Davidson, F.M. Atmospheric turbulence effects on a partially coherent Gaussian beam: Implications for free-space laser communication. J. Opt. Soc. Am. A 2002, 19, 1794–1802. [Google Scholar] [CrossRef]
- Wu, T.; Ji, X.; Li, X.; Wang, H.; Deng, Y.; Ding, Z. Characteristic parameters of optical wave and short-term beam spreading in oceanic turbulence. Acta Phys. Sin. 2018, 67, 224206. [Google Scholar]
- Jung, K.J.; Nam, S.S.; Alouini, M.S.; Ko, Y.-C. Unified finite series approximation of FSO performance over strong turbulence combined with various pointing error conditions. IEEE Trans. Commun. 2020, 68, 6413–6425. [Google Scholar] [CrossRef]
- Zhou, H.; Xie, W.; Zhang, L.; Bai, Y.; Wei, W.; Dong, Y. Performance analysis of FSO coherent BPSK systems over Rician turbulence channel with pointing errors. Opt. Express 2019, 27, 27062–27075. [Google Scholar] [CrossRef] [PubMed]
- Farid, A.A.; Hranilovic, S. Outage capacity optimization for free-space optical links with pointing errors. J. Light. Technol. 2007, 25, 1702–1710. [Google Scholar] [CrossRef]
- The Wolfram Functions Site Wolfram Research, Inc. Available online: http://functions.wolfram.com (accessed on 10 July 2022).
- Gökçe, M.C.; Baykal, Y.; Ata, Y. Performance analysis of M-ary pulse position modulation in strong oceanic turbulence. Opt. Commun. 2018, 427, 573–577. [Google Scholar] [CrossRef]
- Gvozdarev, A.S. The generalized MGF approach to closed-form average symbol error rate calculation. IEEE Commun. Lett. 2021, 25, 3044157. [Google Scholar] [CrossRef]
- Wang, J.; Yin, H.; Ji, X.; Liang, Y.; Jing, L. Performance analysis of UWOC MIMO systems using QAM and aperture averaging over weak turbulence channels. Acta Opt. Sin. 2021, 41, 21–32. [Google Scholar]
- Antonio, G.-Z.; Beatriz, C.-V.; Carmen, C.-V. Asymptotic error-rate analysis of FSO links using transmit laser selection over gamma-gamma atmospheric turbulence channels with pointing errors. Opt. Express 2012, 20, 2096–2109. [Google Scholar]
- Xu, G.; Song, Z.; Zhang, Q. Outage probability and channel capacity of an optical spherical wave propagating through anisotropic weak-to-strong oceanic turbulence with Málaga distribution. J. Opt. Soc. Am. A 2020, 37, 1622–1629. [Google Scholar] [CrossRef]
- Available online: ftp://ftp.argo.org.cn/pub/ARGO/global/ (accessed on 21 December 2022).









| Name | Symbol | Value |
|---|---|---|
| Optical transmitter divergence angle | θ | 1.5 mrad |
| Number of transceivers | M × N | 2 × 3 |
| Optical wavelength | λ | 532 nm |
| QAM order | m | 8, 16, 32 |
| Normalized pointing error deviation | σp/a | 1 ≤ σp/a ≤ 10 |
| Initial beam waist | W0 | 10 mm |
| Outage SNR threshold | γth | 20 dB |
| Number | Argo Node | Location (Longitude, Latitude) | Average Temperature | Average Salinity | Pressure |
|---|---|---|---|---|---|
| 1 | 2,902,718 | (126.6860, 21.051001) | 23.351 °C | 34.828 ppt | 150.02 P |
| 2 | 1,901,811 | (113.4048, −59.34197) | 2.165 °C | 34.469 ppt | 256 P |
| 3 | 6,904,085 | (8.6100, 77.9200) | 4.513 °C | 35.001 ppt | 183.10 P |
| 4 | 5,902,507 | (161.52393, −41.63458) | 10.103 °C | 34.812 ppt | 386 P |
| Link Length | Argo Node Number | Ocean Parameters (χΤ, η, ε, ω) | Málaga Model Parameters (α, β) | Scintillation Index () |
|---|---|---|---|---|
| 26 m | Node 1 | (1 × 10−6, 10−3, 5.116 × 10−6, −0.122) | (5.648, 4) | 0.553 |
| Node 2 | (1 × 10−6, 10−3, 2.646 × 10−6, −1.572) | (4.284, 2) | 1.102 | |
| Node 3 | (1 × 10−6, 10−3, 9.173 × 10−7, −5.498) | (3.995, 1) | 1.860 | |
| Node 4 | (1 × 10−6, 10−3, 1.240 × 10−6, −3.639) | (4.014, 1) | 1.670 | |
| 30 m | Node 1 | (1 × 10−6, 10−3, 5.116 × 10−6, −0.122) | (2.816, 3) | 0.770 |
| Node 2 | (1 × 10−6, 10−3, 2.646 × 10−6, −1.572) | (4.045, 1) | 1.523 | |
| Node 3 | (1 × 10−6, 10−3, 9.173 × 10−7, −5.498) | (4.021, 1) | 2.643 | |
| Node 4 | (1 × 10−6, 10−3, 1.240 × 10−6, −3.639) | (4.056, 1) | 2.388 |
Disclaimer/Publisher’s Note: The statements, opinions and data contained in all publications are solely those of the individual author(s) and contributor(s) and not of MDPI and/or the editor(s). MDPI and/or the editor(s) disclaim responsibility for any injury to people or property resulting from any ideas, methods, instructions or products referred to in the content. |
© 2023 by the authors. Licensee MDPI, Basel, Switzerland. This article is an open access article distributed under the terms and conditions of the Creative Commons Attribution (CC BY) license (https://creativecommons.org/licenses/by/4.0/).
Share and Cite
Wang, J.; Yin, H.; Ji, X.; Liang, Y. Performance Analysis of MIMO-mQAM System with Pointing Errors and Beam Spreading in Underwater Málaga Turbulence Channel. J. Mar. Sci. Eng. 2023, 11, 633. https://doi.org/10.3390/jmse11030633
Wang J, Yin H, Ji X, Liang Y. Performance Analysis of MIMO-mQAM System with Pointing Errors and Beam Spreading in Underwater Málaga Turbulence Channel. Journal of Marine Science and Engineering. 2023; 11(3):633. https://doi.org/10.3390/jmse11030633
Chicago/Turabian StyleWang, Jianying, Hongxi Yin, Xiuyang Ji, and Yanjun Liang. 2023. "Performance Analysis of MIMO-mQAM System with Pointing Errors and Beam Spreading in Underwater Málaga Turbulence Channel" Journal of Marine Science and Engineering 11, no. 3: 633. https://doi.org/10.3390/jmse11030633
APA StyleWang, J., Yin, H., Ji, X., & Liang, Y. (2023). Performance Analysis of MIMO-mQAM System with Pointing Errors and Beam Spreading in Underwater Málaga Turbulence Channel. Journal of Marine Science and Engineering, 11(3), 633. https://doi.org/10.3390/jmse11030633

