Abstract
The Yonaguni Knoll IV is an active seafloor hydrothermal system associated with submarine silicic volcanism located in the “cross back-arc volcanic trail” (CBVT) in the southwestern Okinawa Trough. However, the behavior of volatiles during magmatic differentiation in the shallow silicic magma chamber is unclear. Here, the volatile contents of apatite inclusions trapped in different phenocrysts (orthopyroxene and amphibole) and microphenocrysts in the rhyolite from the Yonaguni Knoll IV hydrothermal field were analyzed by using electron microprobe analysis, which aims to track the behavior of volatiles in the shallow magma chamber. Notably, the ‘texturally constrained’ apatites showed a decreasing trend of XCl/XOH and XF/XCl ratios. Based on the geochemical analyses in combination with thermodynamic modeling, we found that the studied apatites were consistent with the mode of volatile-undersaturated crystallization. Therefore, volatiles were not saturated in the early stage of magmatic differentiation in the shallow rhyolitic magma chamber, and consequently, the metal elements were retained in the rhyolitic melt and partitioned into crystalline magmatic sulfides. Additionally, previous studies suggested that the shallow rhyolitic magma chamber was long-lived and periodically replenished by mafic magma. The injection of volatile-rich and oxidized subduction-related mafic magmas can supply abundant volatiles and dissolve magmatic sulfide in the shallow magma chamber. These processes are important for the later-stage of volatile exsolution, while the forming metal-rich magmatic fluids contribute to the overlying Yonaguni Knoll IV hydrothermal system.
1. Introduction
Volatiles (halogens, H2O, CO2, and S) are minor elements in magmas but important in volcanic processes [,,,,], which influence the physical properties of silicate melts [,,] and control the eruptive styles [,,,]. Furthermore, Cl and S are fundamental for transporting metals (e.g., Cu and Zn) from silicic magmas to exsolved hydrothermal fluids for formatting active hydrothermal systems and related ore deposits within active volcanoes [,]. Nevertheless, it is not easily demonstrated that any particular magmatic system has evolved an aqueous phase [].
Apatite, Ca5(PO4)3(OH, F, Cl), is a ubiquitous accessory mineral in volcanic rocks [], and its crystal structure can contain common magmatic volatile species such as H2O, F, Cl, and S []. Thus, apatite is a useful magmatic volatile ‘witness’ and can reliably record the melt volatile compositions [,,]. Accordingly, the halogen contents in apatite can be used to estimate the F, Cl, and H2O compositions of the host melt [,,,,]. Moreover, the variation trend in the halogen ratios in apatite can be evaluated whether the host melt is saturated in volatiles or not [,,,,,,,]. Specifically, the F:Cl:OH ratio of apatite remains approximately constant in vapor-undersaturated magma. In contrast, the Cl/F ratio of apatite decreases sharply when a vapor is exsolved [,,,]. Combined with the textural features of apatite, these trends in apatite are useful for tracking the vapor evolution in magmatic systems [,].
In this study, the volatile contents of apatites that are hosted in the groundmass and phenocryst phases (orthopyroxene and amphibole) of the rhyolite from the Yonaguni Knoll IV hydrothermal field of the southern Okinawa Trough were analyzed. According to the thermodynamic models of Candela [], Stock et al. [,], and Piccoli and Candela [], the ‘texturally constrained’ apatites reveal the magmatic volatile behavior in the rhyolitic magma chamber below the Yonaguni Knoll IV hydrothermal field. Furthermore, the implications for magmatic contribution to the overlying hydrothermal system are discussed.
2. Geological Setting
The Okinawa Trough (OT) is a present-day active back-arc basin of the Ryukyu subduction zone with affinities to the subduction of the Philippine Sea Plate beneath the Eurasian Plate at a velocity of ~5 to ~7 cm/year [,]. In the southwestern Okinawa Trough, an area of anomalous volcanism has been identified at the cross back-arc volcanic trail (CBVT) []. A cluster of more than 70 submarine volcanoes is distributed along the CBVT [,]. The abnormally voluminous volcanoes of CBVT might be related to the subduction of the Gagua Ridge on the Philippine seafloor since the early Pleistocene (Figure 1) [,]. Volcanic products of this region are dominated by rhyolites and dacites [,,,]. These silicic magmas are influenced by crustal assimilation and magma mixing [,,,].

Figure 1.
Regional and local bathymetric map showing the location of the studied rhyolite collected in the Yonaguni Knoll IV hydrothermal vent field of the southwestern Okinawa Trough.
The Yonaguni Knoll IV hydrothermal field (24°51′N, 122°42′E) is situated in an elongated valley within the CBVT zone [,]. Hydrothermal mineralization at the Yonaguni Knoll IV includes Zn–Pb–Cu sulfides, anhydrite-rich chimneys, Ba–As chimneys, Mn-rich chimneys, and native sulfur or barite [,]. The diverse range of mineralization reflects the contributions of organic-rich continent-derived sediment and the volatile-rich silicic magma [,].
3. Sampling and Methods
3.1. Sample and Petrography
The studied rhyolite was collected at the station HOBAB3-T9′ (122°41′55.877″E, 24°50′57.774″N) in the Yonaguni Knoll IV hydrothermal field (Figure 1) by using a TV grab during the R/V Kexue Hao cruise in 2014. The rhyolite sample has been well-studied and has a porphyritic texture with a mineral assemblage consisting of plagioclase, quartz, amphibole, Fe–Ti oxides, and orthopyroxene. Apatite and zircon are common accessory minerals in the rhyolite [,,,]. Chen et al. [] reported the bulk-rock major elements, trace elements, and isotopic compositions of the rhyolite. The mineral chemistry of phenocrysts (e.g., orthopyroxene, amphibole, and plagioclase) and accessory minerals (i.e., zircon) were also analyzed for this rock [,,]. Here, we made thin sections of the rhyolite for petrologic textural analysis and in situ chemical analyses of the apatite grains. In the studied rhyolite, apatite occurred as microphenocrysts within the groundmass and as inclusions within the phenocrysts composed of orthopyroxene and amphibole (Figure 2).

Figure 2.
Backscattered-electron (BSE) images displaying orthopyroxene (a) and amphibole (b) phenocrysts, and apatite microphenocrysts (c). (d–f) Sketch map showing the progressive growth of orthopyroxene and amphibole with the entrapment of apatite inclusions through time during cooling; (g) t1–t3 refer to the onset of crystallization of minerals (opx-in, ap-in, and amp-in), while t4 refers to the end of the crystallization of amphibole. The crystallization temperatures of minerals are according to previous studies [,]. Ap, apatite; Opx, orthopyroxene; Amp, amphibole; GM, groundmass.
3.2. Analytical Methods
Polished thin sections of the rhyolite were first observed using a VEGA3 scanning electron microscope at the Institute of Oceanology, Chinese Academy of Sciences. Carbon coated polished sections were prepared to identify different texturally-constrained apatites. BSE images were obtained by using a scanning electron microscope operating with an acceleration voltage of 15 keV.
After detailed observation, apatites were analyzed for major elements in the same thin sections. All apatite analyses were made close to the center of the mineral grains. The major element compositions of apatites were determined using a JXA-8230 electron microprobe (EMP) at the State Key Laboratory of Continental Dynamics, Northwest University, Xian, China. The instrument was operated at an acceleration voltage of 15 kV, a beam current of 10 nA, and a beam diameter of 2 μm. The following standards were used: apatite (Ca, P), diopside (Si), almandine (Fe), fluorite (F), and NaCl (Cl). Analytical precision was ±0.01 wt.% for Cl and F, and 0.01–0.2 wt.% for the other elements.
4. Results
A total of 65 analyses were performed on 65 grains to identify the chemical composition of apatites in the studied rhyolite. The compositional data for all apatites are reported in Table 1, Table 2 and Table 3. Apatites have high concentrations of CaO (50.82 to 54.98 wt.%) and P2O5 (38.62 to 42.59 wt.%). They are fluorapatites exhibiting F and Cl contents ranging from 1.76 to 3.08 wt.% and from 0.50 to 0.73 wt.%, respectively (Table 1, Table 2 and Table 3).

Table 1.
Major and volatile element analyses of the orthopyroxene-hosted apatite inclusions (wt.%).

Table 2.
Major and volatile element analyses of the amphibole-hosted apatite inclusions (wt.%).

Table 3.
The major and volatile element analyses of the apatite microphenocrysts (wt.%).
Orthopyroxene-hosted apatite inclusions exhibited F and Cl concentrations ranging from 2.07 to 3.08 wt.% (XF = 0.55 to 0.82) and from 0.58 to 0.71 wt.% (XCl = 0.09 to 0.10), respectively (Table 1). XOH ranged from 0.09 to 0.36. Correspondingly, the XCl/XOH, XF/XOH, and XF/XCl ratios varied from 0.24 to 1.05, 1.53 to 9.25, and 5.50 to 8.79 (where XF, XCl, and XOH are the mole fractions of F, Cl, and OH, respectively) (Figure 3; Table 1).

Figure 3.
Volatile compositions of orthopyroxene- and amphibole-hosted apatite inclusions and apatite microphenocrysts in the rhyolite from the Yonaguni Knoll IV hydrothermal field. Data are depicted in the ternary diagram of Cl–OH–F (a) and binary plots of XCl/XOH vs. XF/XOH (b), and XF/XCl vs FeO (c).
The amphibole-hosted apatite inclusions had F and Cl contents ranging from 2.14 to 3.02 wt.% (XF = 0.57 to 0.80) and 0.50 to 0.72 wt.% (XCl = 0.07 to 0.11), respectively (Table 2). XOH ranged from 0.10 to 0.33. Correspondingly, the XCl/XOH, XF/XOH, and XF/XCl ratios varied from 0.29 to 0.91, 1.71 to 7.70, and 5.58 to 9.33, respectively (Table 2; Figure 3).
The apatite microphenocrysts displayed a large compositional range of F (1.76 to 3.08 wt.%; XF = 0.47 to 0.82), Cl (0.58 to 0.74 wt.%; XCl = 0.09 to 0.11), and XOH (0.09 to 0.43) compared with the apatite inclusions (Figure 3; Table 3). Correspondingly, the XCl/XOH, XF/XOH, and XF/XCl ratios ranged from 0.24 to 1.01, 1.09 to 8.95, and 4.50 to 8.82, respectively (Table 3). Apatite microphenocrysts were plotted on the same compositional trends with the apatite inclusions, but typically extended to more FeO-depleted compositions (Figure 3).
5. Discussion
5.1. Crystallization Sequence of the Texturally Constrained Apatites
Experiments have demonstrated that apatite crystallization is primarily a function of the SiO2 and P2O5 concentrations and temperature in silicate melts [,]. The saturation temperature of apatite calculated from the bulk rock compositions provides the minimum estimates of the initial temperature when apatite crystallized from the magma []. Based on the calculation formula of Piccoli and Candela [], the apatite-saturation temperature of the rhyolite (SiO2 = 73.06 wt.% and P2O5 = 0.03 wt.%; []) was 824 °C, which was higher than the crystallization temperature of amphiboles in the rhyolite (761–797 °C; []). Moreover, quartz–amphibole intergrowth in the rhyolite [] suggests that amphibole crystallized at a relatively late stage during magmatic differentiation. The orthopyroxene phenocrysts were in equilibrium with the host rhyolitic magma, having a crystallization temperature ranging between 792 and 838 °C []. Therefore, orthopyroxene began crystallizing before the amphibole. As orthopyroxene is enriched in FeO content (~34 wt.%, []), orthopyroxene fractional crystallization results in the residual melt toward decreasing FeO. On the whole, apatite microphenocrysts have lower FeO contents than those of apatite inclusions in orthopyroxene and amphibole phenocrysts (Figure 3), which is consistent with a comparative decrease in the melt FeO contents during magmatic differentiation. Thus, apatite hosted in phenocrysts generally crystallized earlier than their equivalents in the groundmass.
5.2. Behavior of the Volatiles during the Rhyolitic Magmatic Differentiation
The volatile contents of ‘texturally constrained’ apatites are a useful tracer for volatile evolution in the shallow magma chamber [,]. The factors controlling the variation trend of the F/Cl ratio in magmatic apatites during magma evolution include: (1) temperature and pressure conditions in open systems; (2) fractional crystallization; and (3) variable degrees of degassing or fluid exsolution [,,,]. We discuss these factors in the following sections.
5.2.1. Influence of Cooling and Decompression on Compositional Variability of Apatite Volatiles
Since temperature and pressure affect the halogen–OH exchange coefficients between apatite and melt [,], the volatile compositions of apatite are likely variable in the constant melt composition []. To model the apatite volatile compositional evolution during cooling or decompression at a given melt composition (Figure 4), we used the method according to Piccoli and Candela [] and Stock et al. [].

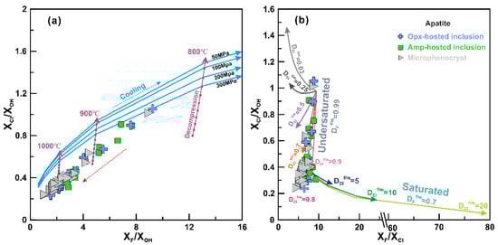
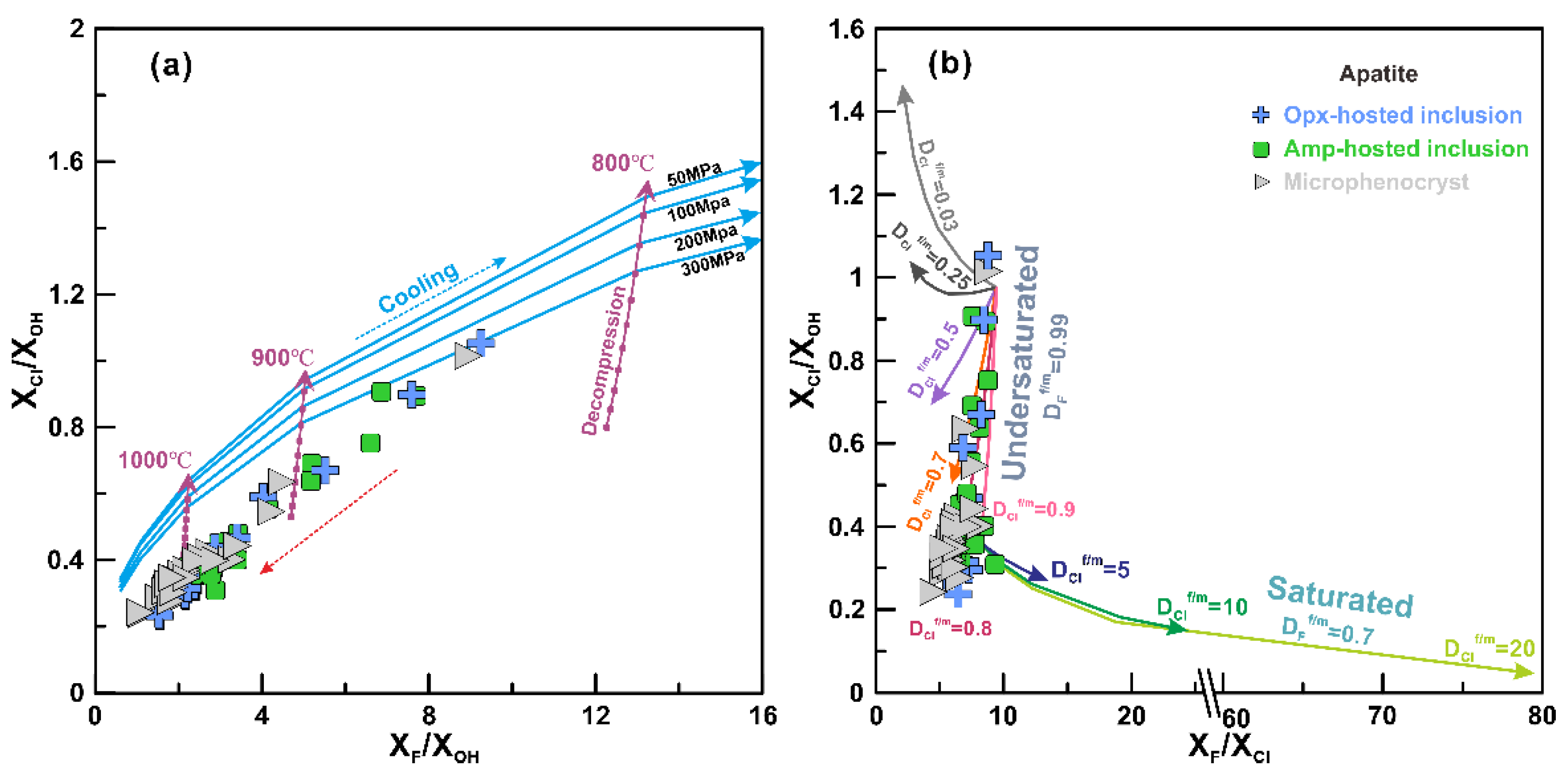
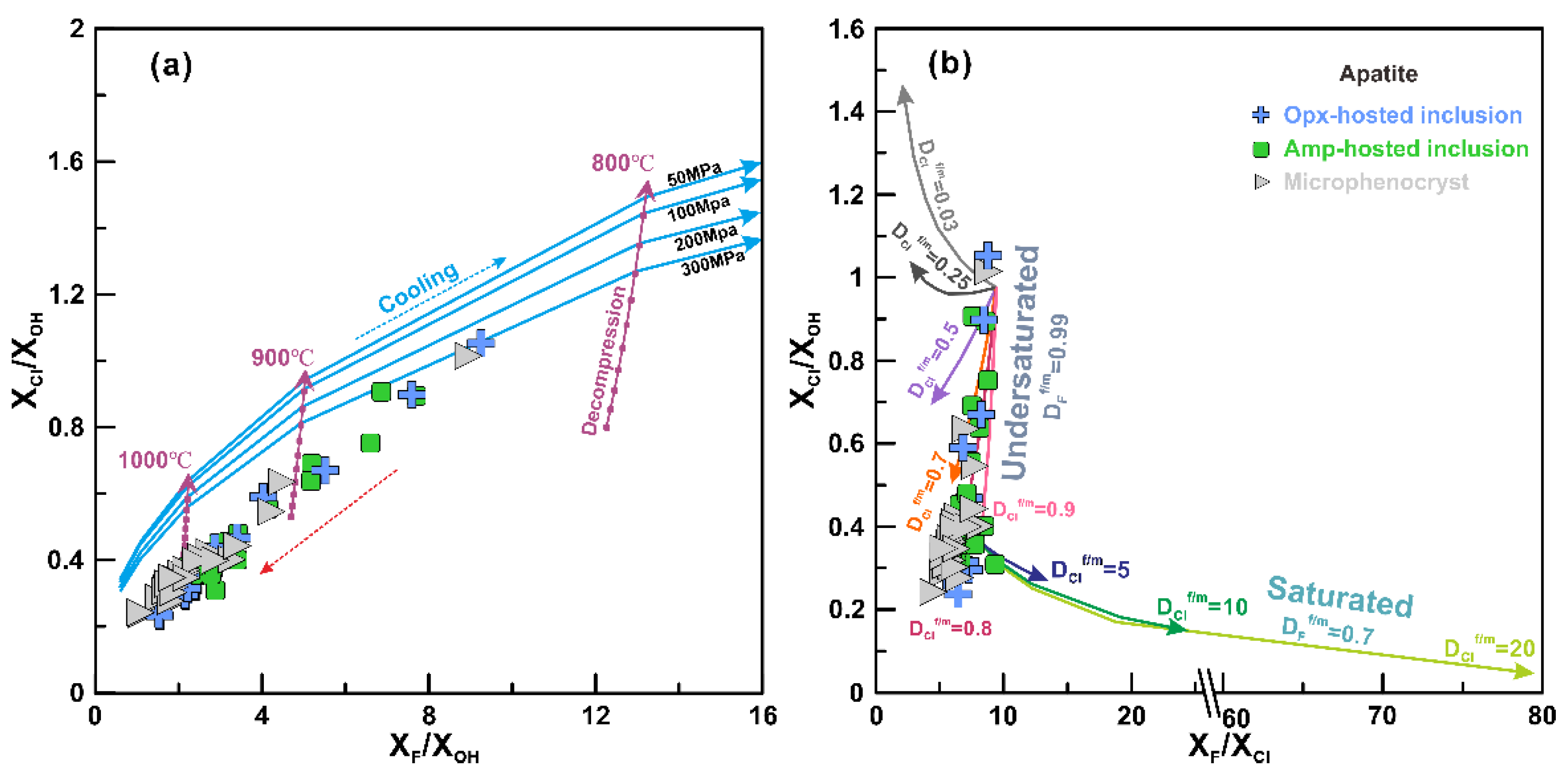
Figure 4.
Volatile compositions of apatites in the studied rhyolite. (a) XF/XOH versus XCl/XOH. Purple and blue arrows are the modeled trends of apatite compositional evolution at a constant melt composition under isothermal decompression and isobaric cooling conditions, respectively. The approach outlined by Stock et al. [] was used to model the effects of physical processes such as the cooling and decompression on apatite compositions. (b) XF/XCl versus XCl/XOH. Arrows show the modeled trends of apatite composition during 80% volatile undersaturated crystallization, followed by 20% H2O-saturated crystallization. The various fluid–melt partition coefficients (DClf/m) in the thermodynamic modeling during H2O-undersaturated and saturated crystallization were according to Stock et al. []. Although the modeled results may not be quantitatively robust, these calculations provide a reference frame to outline the different processes on the apatite compositions.
As shown in Figure 4a, the XCl/XOH and XF/XOH ratios of apatite strongly increased with decreasing temperature, which is consistent with the experimental results of a preference for the OH end-member in apatite at higher temperatures []. In contrast, pressure had little effect on the apatite volatile compositions at constant melt composition [,], with depressurization causing a slight increase in the Cl component, corresponding to an almost exclusive increase in the XCl/XOH ratios [,]. As apatite inclusions generally crystallized earlier than their equivalents in groundmass and thus displayed a decreased trend of XCl/XOH and XF/XOH ratios during magmatic evolution (Figure 4a), this suggests that cooling or depressurization is not the major control in driving the volatile composition variations of apatites. Although the injection of a mantle-derived basaltic magma into the shallow rhyolitic magma chamber and subsequent magma mixing is likely to lead to temporary heating and pressurization [,,], the unzoned composition of apatite-hosted phenocrysts (amphibole and orthopyroxene) [,] suggests the crystallization of apatite under decreasing temperature. Collectively, the volatile composition trend in the studied apatites was not attributed to temperature and pressure variations. Alternatively, the progressive variation in the melt volatile composition during magmatic differentiation might explain the volatile composition trend observed in the studied apatites.
5.2.2. Compositional Variability of Apatite Volatiles during Magmatic Differentiation
As magmatic differentiation progressively increases the volatile contents of the residual melt, the volatile-rich subduction-related magmas may exsolve an aqueous fluid phase in the shallow magma chamber []. Before volatile unsaturation, the halogens (e.g., F and Cl) and H2O in a silicate melt were incompatible [,]. In contrast, when H2O was saturated, Cl will preferably partition into the fluid while F will be retained in the coexisting silicate melt [,,,]. For example, Cl partition coefficients between the fluid and silicate melt varied from 10 to over 200 in contrast to 0.7 for F [,] (Figure 4b). Thus, fluid-present magmatic differentiation can cause a strong fractionation of F from Cl in the residual melt []. Correspondingly, the volatile ratios of apatite (e.g., XF/XCl) are sensitive to aqueous fluid exsolution during magmatic evolution [,,,,,]. We then used the two-step thermodynamic model of Stock et al. [] to constrain the volatile behaviors of the studied apatites during magmatic differentiation.
As shown in Figure 4, the XF/XOH and XF/XCl ratios of apatite typically displayed a decreasing trend during H2O-undersaturated crystallization. However, the XCl/XOH ratios of apatite either decreased or increased, which is controlled by the exact values of the F, Cl, and OH partition coefficients between apatite and the melt (Figure 4b). In contrast, the XF/XCl ratios of apatite strongly increased during H2O-saturated crystallization (Figure 4b). The decreased trend in the XCl/XOH and XF/XOH ratios of the studied apatites was consistent with the mode of H2O-undersaturated crystallization [] (Figure 4b). Therefore, the rhyolitic magma in a shallow magma chamber was H2O-unsaturated during the period of apatite crystallization.
5.3. Implications for Magmatic Contribution to Hydrothermal System
Generally, there are at least two hypotheses for the origin of the metals in submarine massive sulfide deposits. One hypothesis is that the magmatic intrusion in the hydrothermal zone was leached by heated seawater, thereby indirectly contributing metal elements to the hydrothermal system [,,]. The other view suggests that an evolved magma system can exsolve metal-rich magmatic fluids, thereby directly supplying metallic elements to the overlying hydrothermal system [,,]. Moreover, the model of contribution of metal-rich magmatic fluids to the OT hydrothermal systems has been proposed by several scholars [,,]. Nevertheless, it remains unclear whether and how the silicic magma exsolve metal-rich magmatic fluids.
As volatiles are ligands of metals transported in a magmatic–hydrothermal system [], volatile exsolution is an essential precondition for the formation of metal-rich magmatic fluids [,]. The volatile exsolution from a silicate melt is expected to be recorded in the apatite with a drastic increase in the XF/XCl ratios (Figure 4b). Apatite occurs as inclusions in orthopyroxene and amphibole phenocrysts in the studied rhyolite (Figure 2), thus suggesting an early apatite saturation in the melt during magmatic differentiation []. However, the decreasing trend of XCl/XOH and XF/XCl ratios of the studied apatites in the rhyolite argues against H2O-saturated crystallization (Figure 4b). Therefore, the volatiles were not saturated and thus lacked exsolution of the metal-rich magmatic fluids in the early stage of magmatic differentiation in the shallow rhyolitic magma chamber. Metallic elements (e.g., Cu) are generally incompatible with silicate minerals but highly compatible with magmatic sulfides [,]. Consequently, the metal elements were partitioned into crystalline magmatic sulfides and/or dissolved in the rhyolitic melt [,]. Correspondingly, magmatic sulfide is common in silicic rocks from the CBVT region []. Additionally, the low Cu content of the rhyolite (13 μg/g; []) also indicates that magmatic sulfide was saturated during the rhyolitic magma evolution.
The prolonged zircon U–Th ages in the rhyolite reveal a long-lived (at least 100 ka) silicic magma chamber beneath the Yonaguni Knoll IV hydrothermal field []. The occurrence of mafic magmatic enclaves and compositional zoned plagioclase in the rhyolite [,] suggest multi-stages of mafic magma injection into the silicic magma chamber [,,]. As subduction-related mafic magmas are enriched in volatiles [], periodic injection of mafic magma can supply abundant volatiles into the shallow magma chamber, which is essential for the later-stage of volatile exsolution. Since subduction-related mafic magmas are oxidized [,], the injection of oxidized mafic magmas into the shallow rhyolitic magma chamber may lead to the oxidative dissolution of the earlier magmatic sulfides [,]. Consistently, the rhyolite magma has high oxygen fugacity at around QFM + 1 (where QFM is a quartz–fayalite–magnetite buffer) []. The phenomenon of magmatic sulfide dissolution is common in silicic rocks from the CBVT region []. Because magmatic sulfide is a significant sink of ore metals, the oxidative dissolution process facilitates the formation of metal-rich magmatic fluids [,,]. Collectively, there is a lack of metal-rich magmatic fluid exsolved from the rhyolitic melt during the early stage of magmatic differentiation, but the subsequent periodic injection of volatile-rich and oxidized mafic magmas into the rhyolitic magma chamber, accompanied by the exsolution of metal-rich magmatic fluids, contribute to the submarine hydrothermal systems.
6. Conclusions
Apatites trapped in orthopyroxene and amphibole phenocrysts suggest early apatite saturation during the rhyolitic magmatic differentiation. The decreasing trend in the XCl/XOH and XF/XCl ratios of the apatite inclusions and microphenocrysts revealed that the magma chamber beneath the Yonaguni Knoll IV hydrothermal systems remained water-undersaturated during the early stage of magmatic differentiation. The lack of magmatic fluid exsolution resulted in the metal elements remaining dissolved in the rhyolitic melt and partitioning into magmatic sulfides. Subsequently, the injection of volatile-rich and oxidized basaltic magmas into the shallow rhyolitic magma chamber promoted the later-stage of volatile exsolution and forming metal-rich magmatic fluids to contribute to the overlying Yonaguni Knoll IV submarine hydrothermal system.
Author Contributions
Z.C.—Conceptualization, data curation, formal analysis, validation, writing and editing. L.S.T.—review and editing. H.Q.—Data curation, methodology. Y.Z.—Review and editing. Z.Z.—project administration and funding acquisition. M.C.—Review and editing. All authors have read and agreed to the published version of the manuscript.
Funding
This research was supported by the National Natural Science Foundation of China (Grant Nos. 42106083 and 91958213), the Open Fund of the Key Laboratory of Marine Geology and Environment, the Chinese Academy of Sciences (Grant Nos. MGE2022KG10 and MGE2020KG11), the Strategic Priority Research Program (B) of the Chinese Academy of Sciences (XDB42020402), the Shandong Provincial Natural Science Foundation, China (Grant Nos. ZR2020QD069 and ZR2020MD068), the National Basic Research Program of China (Grant No. 2013CB429700), and the Special Fund for the Taishan Scholar Program of Shandong Province (Grant No. ts201511061).
Institutional Review Board Statement
Not applicable.
Informed Consent Statement
Not applicable.
Data Availability Statement
Data can be obtained from the corresponding author and are available in the main text.
Acknowledgments
We would like to thank the crews of the R/V Kexue during the HOBAB 3 cruise for their help with the sample collection. The authors thank Wenqiang Yang for his assistance in the EPMA analysis. We are grateful to three anonymous reviewers for their detailed and constructive comments and suggestions, which greatly improved an earlier version of the manuscript. We thank the MDPI editors for their efficient handling of the manuscript.
Conflicts of Interest
The authors declare no conflict of interest.
References
- Aiuppa, A.; Baker, D.; Webster, J. Halogens in volcanic systems. Chem. Geol. 2009, 263, 1–18. [Google Scholar] [CrossRef]
- De Vivo, B.; Lima, A.; Webster, J.D. Volatiles in magmatic-volcanic systems. Elements 2005, 1, 19–24. [Google Scholar] [CrossRef]
- Edmonds, M.; Wallace, P.J. Volatiles and exsolved vapor in volcanic systems. Elements 2017, 13, 29–34. [Google Scholar] [CrossRef]
- Edmonds, M.; Woods, A.W. Exsolved volatiles in magma reservoirs. J. Volcanol. Geotherm. Res. 2018, 368, 13–30. [Google Scholar] [CrossRef]
- Piccoli, P.M.; Candela, P.A. Apatite in Igneous Systems. Rev. Mineral. Geochem. 2002, 48, 255–292. [Google Scholar] [CrossRef]
- Scott, J.A.; Humphreys, M.C.; Mather, T.A.; Pyle, D.M.; Stock, M.J. Insights into the behaviour of S, F, and Cl at Santiaguito Volcano, Guatemala, from apatite and glass. Lithos 2015, 232, 375–394. [Google Scholar] [CrossRef]
- Zimova, M.; Webb, S.L. The combined effects of chlorine and fluorine on the viscosity of aluminosilicate melts. Geochim. Cosmochim. Acta 2007, 71, 1553–1562. [Google Scholar] [CrossRef]
- Giordano, D.; Romano, C.; Dingwell, D.; Poe, B.; Behrens, H. The combined effects of water and fluorine on the viscosity of silicic magmas. Geochim. Cosmochim. Acta 2004, 68, 5159–5168. [Google Scholar] [CrossRef]
- Moretti, R.; Arienzo, I.; Di Renzo, V.; Orsi, G.; Arzilli, F.; Brun, F.; D’Antonio, M.; Mancini, L.; Deloule, E. Volatile segregation and generation of highly vesiculated explosive magmas by volatile-melt fining processes: The case of the Campanian Ignimbrite eruption. Chem. Geol. 2019, 503, 1–14. [Google Scholar] [CrossRef]
- Popa, R.G.; Tollan, P.; Bachmann, O.; Schenker, V.; Ellis, B.; Allaz, J.M. Water exsolution in the magma chamber favors effusive eruptions: Application of Cl-F partitioning behavior at the Nisyros-Yali volcanic area. Chem. Geol. 2021, 570, 120170. [Google Scholar] [CrossRef]
- Roggensack, K. Explosive Basaltic Volcanism from Cerro Negro Volcano: Influence of Volatiles on Eruptive Style. Science 1997, 277, 1639–1642. [Google Scholar] [CrossRef]
- Shinohara, H. Excess degassing from volcanoes and its role on eruptive and intrusive activity. Rev. Geophys. 2008, 46, RG4005. [Google Scholar] [CrossRef]
- Mason, E.; Wieser, P.E.; Liu, E.J.; Edmonds, M.; Ilyinskaya, E.; Whitty, R.C.; Mather, T.A.; Elias, T.; Nadeau, P.A.; Wilkes, T.C. Volatile metal emissions from volcanic degassing and lava–seawater interactions at Kīlauea Volcano, Hawai’i. Commun. Earth Environ. 2021, 2, 79. [Google Scholar] [CrossRef]
- Mason, E.; Hogg, O. Volcanic Outgassing of Volatile Trace Metals. Annu. Rev. Earth Planet. Sci. 2022, 50, 79–98. [Google Scholar]
- Candela, P.A. Toward a thermodynamic model for the halogens in magmatic systems: An application to melt-vapor-apatite equilibria. Chem. Geol. 1986, 57, 289–301. [Google Scholar] [CrossRef]
- Stock, M.J.; Humphreys, M.C.S.; Smith, V.C.; Isaia, R.; Pyle, D.M. Late-stage volatile saturation as a potential trigger for explosive volcanic eruptions. Nat. Geosci. 2016, 9, 249–254. [Google Scholar] [CrossRef]
- Stock, M.J.; Humphreys, M.C.S.; Smith, V.C.; Isaia, R.; A Brooker, R.; Pyle, D.M. Tracking Volatile Behaviour in Sub-volcanic Plumbing Systems Using Apatite and Glass: Insights into Pre-eruptive Processes at Campi Flegrei, Italy. J. Petrol. 2018, 59, 2463–2492. [Google Scholar] [CrossRef]
- Zafar, T.; Leng, C.-B.; Zhang, X.-C.; Rehman, H.U. Geochemical attributes of magmatic apatite in the Kukaazi granite from western Kunlun orogenic belt, NW China: Implications for granite petrogenesis and Pb-Zn (-Cu-W) mineralization. J. Geochem. Explor. 2019, 204, 256–269. [Google Scholar] [CrossRef]
- Li, W.; Costa, F. A thermodynamic model for F-Cl-OH partitioning between silicate melts and apatite including non-ideal mixing with application to constraining melt volatile budgets. Geochim. Cosmochim. Acta 2020, 269, 203–222. [Google Scholar] [CrossRef]
- Li, H.; Hermann, J. Chlorine and fluorine partitioning between apatite and sediment melt at 2.5 GPa, 800 °C: A new experimentally derived thermodynamic model. Am. Mineral. 2017, 102, 580–594. [Google Scholar] [CrossRef]
- Li, H.; Hermann, J. Apatite as an indicator of fluid salinity: An experimental study of chlorine and fluorine partitioning in subducted sediments. Geochim. Cosmochim. Acta 2015, 166, 267–297. [Google Scholar] [CrossRef]
- Chen, Z.; Zeng, Z.; Wang, X.; Yin, X.; Chen, S.; Guo, K.; Lai, Z.; Zhang, Y.; Ma, Y.; Qi, H.; et al. U-Th/He dating and chemical compositions of apatite in the dacite from the southwestern Okinawa Trough: Implications for petrogenesis. J. Asian Earth Sci. 2018, 161, 1–13. [Google Scholar] [CrossRef]
- Du, X.; Zeng, Z.; Chen, Z. Volatile Characteristics of Apatite in Dacite from the Eastern Manus Basin and Their Geological Implications. J. Mar. Sci. Eng. 2022, 10, 698. [Google Scholar] [CrossRef]
- Boudreau, A.E.; McCallum, I.S. Investigations of the Stillwater Complex: Part V. Apatites as indicators of evolving fluid composition. Contrib. Mineral. Petrol. 1989, 102, 138–153. [Google Scholar] [CrossRef]
- Boudreau, A.E.; Kruger, F.J. Variation in the Composition of Apatite through the Merensky Cyclic Unit in the Western Bushveld Complex. Econ. Geol. 1990, 85, 737–745. [Google Scholar] [CrossRef]
- Cawthorn, R.G. Formation in of chlor- and fluor-apatite layered intrusions. Mineral. Mag. 1994, 38, 299–306. [Google Scholar] [CrossRef]
- Meurer, W.P.; Boudreau, A.E. An evaluation of models of apatite compositional variability using apatite from the Middle Banded series of the Stillwater Complex, Montana. Contrib. Mineral. Petrol. 1996, 125, 225–236. [Google Scholar] [CrossRef]
- Li, W.; Costa, F.; Nagashima, K. Apatite crystals reveal melt volatile budgets and magma storage depths at Merapi volcano, Indonesia. J. Petrol. 2021, 62, egaa100. [Google Scholar] [CrossRef]
- Li, J.-X.; Li, G.-M.; Evans, N.J.; Zhao, J.-X.; Qin, K.-Z.; Xie, J. Primary fluid exsolution in porphyry copper systems: Evidence from magmatic apatite and anhydrite inclusions in zircon. Miner. Deposita 2020, 56, 407–415. [Google Scholar] [CrossRef]
- Piccoli, P.; Candela, P. Apatite in felsic rocks: A model for the estimation of initial halogen concentrations in the Biship Tuff (Long Vally) and Tuolumne Intrusive Suite (Sierra Nevada Batholith) magmas. Am. J. Sci. 1994, 294, 92–135. [Google Scholar] [CrossRef]
- Sibuet, J.-C.; Letouzey, J.; Barbier, F.; Charvet, J.; Foucher, J.-P.; Hilde, T.W.C.; Kimura, M.; Chiao, L.-Y.; Marsset, B.; Muller, C.; et al. Back arc extension in the Okinawa Trough. J. Geophys. Res. Solid Earth 1987, 92, 14041–14063. [Google Scholar] [CrossRef]
- Sibuet, J.-C.; Deffontaines, B.; Hsu, S.-K.; Thareau, N.; Le Formal, J.-P.; Liu, C.-S. Okinawa trough backarc basin- Early tectonic and magmatic evolution. J. Geophys. Res. Solid Earth 1998, 103, 30245–30267. [Google Scholar] [CrossRef]
- Tsai, C.-H.; Hsu, S.-K.; Chen, S.-C.; Wang, S.-Y.; Lin, L.-K.; Huang, P.-C.; Chen, K.-T.; Lin, H.-S.; Liang, C.-W.; Cho, Y.-Y. Active tectonics and volcanism in the southernmost Okinawa Trough back-arc basin derived from deep-towed sonar surveys. Tectonophysics 2021, 817, 229047. [Google Scholar] [CrossRef]
- Lin, J.-Y.; Sibuet, J.-C.; Lee, C.-S.; Hsu, S.-K.; Klingelhoefer, F. Origin of the southern Okinawa Trough volcanism from detailed seismic tomography. J. Geophys. Res. Solid Earth 2007, 112, 582–596. [Google Scholar] [CrossRef]
- Chen, Z.; Zeng, Z.; Wang, X.; Peng, X.; Zhang, Y.; Yin, X.; Chen, S.; Zhang, L.; Qi, H. Element and Sr isotope zoning in plagioclase in the dacites from the southwestern Okinawa Trough: Insights into magma mixing processes and time scales. Lithos 2020, 376–377, 105776. [Google Scholar] [CrossRef]
- Chen, Z.; Zeng, Z.; Qi, H.; Wang, X.; Yin, X.; Chen, S.; Yang, W.; Ma, Y.; Zhang, Y. Amphibole perspective to unravel the rhyolite as a potential fertile source for the Yonaguni Knoll IV hydrothermal system in the southwestern Okinawa Trough. Geol. J. 2020, 55, 4279–4301. [Google Scholar] [CrossRef]
- Chung, S.-L.; Wang, S.-L.; Shinjo, R.; Lee, C.-S.; Chen, C.-H. Initiation of arc magmatism in an embryonic continental rifting zone of the southernmost part of Okinawa Trough. Terra Nova 2000, 12, 225–230. [Google Scholar] [CrossRef]
- Chen, Z.; Zeng, Z.; Yin, X.; Wang, X.; Zhang, Y.; Chen, S.; Shu, Y.; Guo, K.; Li, X. Petrogenesis of highly fractionated rhyolites in the southwestern Okinawa Trough: Constraints from whole-rock geochemistry data and Sr-Nd-Pb-O isotopes. Geol. J. 2019, 54, 316–332. [Google Scholar] [CrossRef]
- Chen, Z.; Zeng, Z.; Wang, X.; Zhang, Y.; Yin, X.; Chen, S.; Ma, Y.; Li, X.; Qi, H. Mineral chemistry indicates the petrogenesis of rhyolite from the southwestern Okinawa Trough. J. Ocean. Univ. China 2017, 16, 1097–1108. [Google Scholar] [CrossRef]
- Guo, K.; Zhai, S.-K.; Wang, X.-Y.; Yu, Z.-H.; Lai, Z.-Q.; Chen, S.; Song, Z.-J.; Ma, Y.; Chen, Z.-X.; Li, X.-H.; et al. The dynamics of the southern Okinawa Trough magmatic system: New insights from the microanalysis of the An contents, trace element concentrations and Sr isotopic compositions of plagioclase hosted in basalts and silicic rocks. Chem. Geol. 2018, 497, 146–161. [Google Scholar] [CrossRef]
- Li, Z.; Chu, F.; Zhu, J.; Ding, Y.; Zhu, Z.; Liu, J.; Wang, H.; Li, X.; Dong, Y.; Zhao, D. Magmatic sulfide formation and oxidative dissolution in the SW Okinawa Trough: A precursor to metal-bearing magmatic fluid. Geochim. Cosmochim. Acta 2019, 258, 138–155. [Google Scholar] [CrossRef]
- Suzuki, R.; Ishibashi, J.-I.; Nakaseama, M.; Konno, U.; Tsunogai, U.; Gena, K.; Chiba, H. Diverse Range of Mineralization Induced by Phase Separation of Hydrothermal Fluid: Case Study of the Yonaguni Knoll IV Hydrothermal Field in the Okinawa Trough Back-Arc Basin. Resour. Geol. 2008, 58, 267–288. [Google Scholar] [CrossRef]
- Zhang, X.; Zhai, S.; Yu, Z.; Yang, Z.; Xu, J. Zinc and lead isotope variation in hydrothermal deposits from the Okinawa Trough. Ore Geol. Rev. 2019, 111, 102944. [Google Scholar] [CrossRef]
- Zeng, Z.-G.; Chen, Z.-X.; Zhang, Y.-X. Zircon record of an Archaean crustal fragment and supercontinent amalgamation in quaternary back-arc volcanic rocks. Sci. Rep. 2021, 11, 12367. [Google Scholar] [CrossRef]
- Harrison, T.M.; Watson, E.B. The behaviour of apatite during crustal anatexis: Equilibrium and kinetic considerations. Geochim Cosmochim Acta. Geochim. Cosmochim. Acta 1984, 48, 1467–1477. [Google Scholar] [CrossRef]
- Riker, J.; Humphreys, M.C.; Brooker, R.A.; De Hoog, J.C. First measurements of OH-C exchange and temperature-dependent partitioning of OH and halogens in the system apatite–silicate melt. Am. Mineral. 2018, 103, 260–270. [Google Scholar] [CrossRef]
- Webster, J.D.; Tappen, C.M.; Mandeville, C.W. Partitioning behavior of chlorine and fluorine in the system apatite–melt–fluid. II: Felsic silicate systems at 200 MPa. Chem. Geol. 2009, 73, 559–581. [Google Scholar] [CrossRef]
- Chen, Z.; Chen, J.; Tamehe, L.S.; Zhang, Y.; Zeng, Z.; Xia, X.; Cui, Z.; Zhang, T.; Guo, K. Heavy Copper Isotopes in Arc-Related Lavas From Cold Subduction Zones Uncover a Sub-Arc Mantle Metasomatized by Serpentinite-Derived Sulfate-Rich Fluids. J. Geophys. Res. Solid Earth 2022, 127, e2022JB024910. [Google Scholar] [CrossRef]
- Humphris, S.E.; Klein, F. Progress in Deciphering the Controls on the Geochemistry of Fluids in Seafloor Hydrothermal Systems. Annu. Rev. Mar. Sci. 2018, 10, 315–343. [Google Scholar] [CrossRef]
- Alt, J.C. Subseafloor Processes in Mid-Ocean Ridge Hydrothennal Systems. Geophys. Monogr. Ser. 1995, 91, 85–114. [Google Scholar]
- Zeng, Z.; Chen, Z.; Zhang, Y.; Li, X. Geological, physical, and chemical characteristics of seafloor hydrothermal vent fields. J. Oceanol. Limnol. 2020, 38, 985–1007. [Google Scholar] [CrossRef]
- Yang, K.; Scott, S.D. Possible contribution of a metal-rich magmatic fluid to a sea-floor hydrothermal system. Nature 1996, 383, 420–423. [Google Scholar] [CrossRef]
- Yang, K.; Scott, S.D. Vigorous exsolution of volatiles in the magma chamber beneath a hydrothermal system on the modern sea floor of the eastern Manus back-arc basin, western Pacific: Evidence from melt inclusions. Econ. Geol. 2005, 100, 1085–1096. [Google Scholar] [CrossRef]
- Yang, K.; Scott, S.D. Magmatic degassing of volatiles and ore metals into a hydrothermal system on the modern sea floor of the eastern Manus back-arc basin, western Pacific. Econ. Geol. 2002, 97, 1079–1100. [Google Scholar] [CrossRef]
- Chen, Z.; Zeng, Z.; Tamehe, L.S.; Wang, X.; Chen, K.; Yin, X.; Yang, W.; Qi, H. Magmatic sulfide saturation and dissolution in the basaltic andesitic magma from the Yaeyama Central Graben, southern Okinawa Trough. Lithos 2021, 388–389, 106082. [Google Scholar] [CrossRef]
- Yu, Z.; Zhai, S.; Zhao, G. The Evidence from Inclusions in Pumices for the Direct Degassing of Volatiles from the Magma to the Hydrothermal Fluids in the Okinawa Trough. J. Ocean. Univ. Qingdao 2002, 1, 171–175. [Google Scholar]
- Hedenquist, J.W.; Lowenstern, J.B. The role of magmas in the formation of hydrothermal ore deposits. Nature 1994, 370, 519–527. [Google Scholar] [CrossRef]
- Williams-Jones, A.E.; Heinrich, C.A. 100th Anniversary Special Paper: Vapor Transport of Metals and the Formation of Magmatic-Hydrothermal Ore Deposits. Econ. Geol. 2005, 100, 1287–1312. [Google Scholar] [CrossRef]
- Zellmer, G.F.; Edmonds, M.; Straub, S.M. Volatiles in subduction zone magmatism. Geol. Soc. Lond. Spec. Publ. 2015, 410, 1–17. [Google Scholar] [CrossRef]
- Chen, Z.; Chen, J.; Tamehe, L.S.; Zhang, Y.; Zeng, Z.; Zhang, T.; Shuai, W.; Yin, X. Light Fe isotopes in arc magmas from cold subduction zones: Implications for serpentinite-derived fluids oxidized the sub-arc mantle. Geochim. Cosmochim. Acta 2023, 342, 1–14. [Google Scholar] [CrossRef]
- Kelley, K.A.; Cottrell, E. Water and the oxidation state of subduction zone magmas. Science 2009, 325, 605–607. [Google Scholar] [CrossRef] [PubMed]
- Wilkinson, J.J. Triggers for the formation of porphyry ore deposits in magmatic arcs. Nat. Geosci. 2013, 6, 917–925. [Google Scholar] [CrossRef]
- Nadeau, O.; Williams-Jones, A.E.; Stix, J. Sulphide magma as a source of metals in arc-related magmatic hydrothermal ore fluids. Nat. Geosci. 2010, 3, 501–505. [Google Scholar] [CrossRef]
Disclaimer/Publisher’s Note: The statements, opinions and data contained in all publications are solely those of the individual author(s) and contributor(s) and not of MDPI and/or the editor(s). MDPI and/or the editor(s) disclaim responsibility for any injury to people or property resulting from any ideas, methods, instructions or products referred to in the content. |
© 2023 by the authors. Licensee MDPI, Basel, Switzerland. This article is an open access article distributed under the terms and conditions of the Creative Commons Attribution (CC BY) license (https://creativecommons.org/licenses/by/4.0/).