Spatiotemporal Companion Pattern (STCP) Mining of Ships Based on Trajectory Features
Abstract
:1. Introduction
2. Related Work
3. Correlation Analysis and Basic Definitions
4. Methods
4.1. Grid Index Generation
- (1)
- Spatiotemporal Trajectory Preprocessing
- (2)
- Navigational Trajectory Extraction
- (3)
- Spatial Grid Index Construction
4.2. Candidate Set Construction
- (1)
- Short Spatiotemporal Trajectory Elimination
- (2)
- Initial Candidate Set Generation
- (3)
- Candidate Set Refinement
4.3. Ship STCP Mining
- (1)
- Multi-motion Attribute Grid Construction
- (2)
- Trajectory Distance Measurement of Associated Ships
- (3)
- Ship STCP Mining
5. Experimental Results and Discussion
5.1. Dataset and Experimental Environment
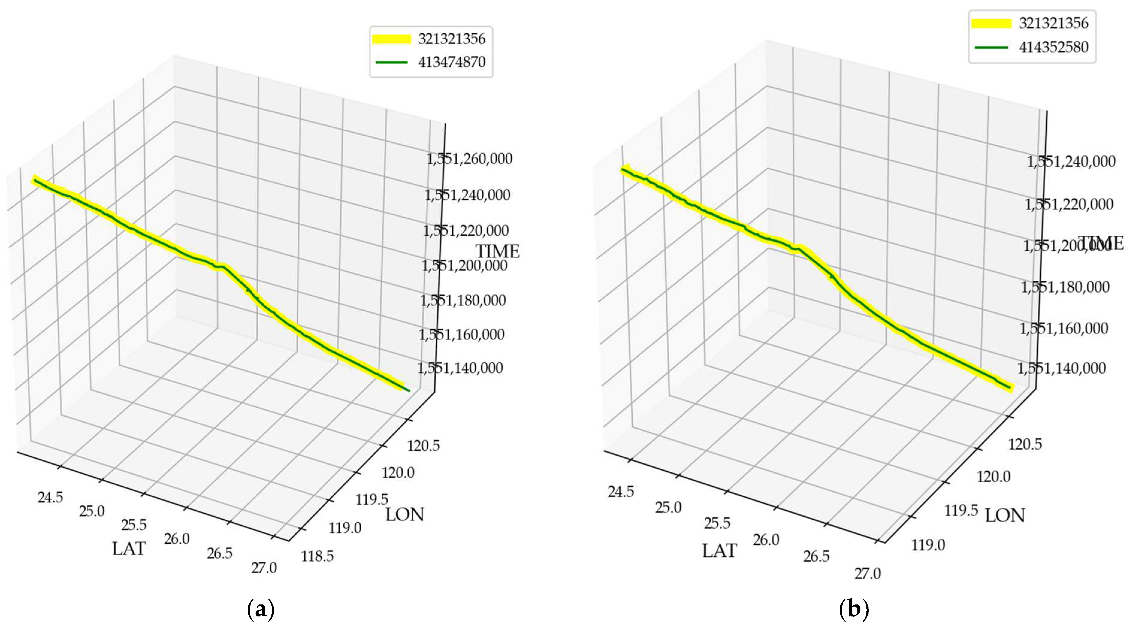
5.2. Mining Algorithm Validation Experiment
- (1)
- The third pair and the fifth pair may be fishing vessels conducting coordinated fishing operations.
- (2)
- The seventh pair may be two cargo vessels navigating together.
- (3)
- The eighth pair may be a fishing vessel and a cargo vessel sailing along the way.
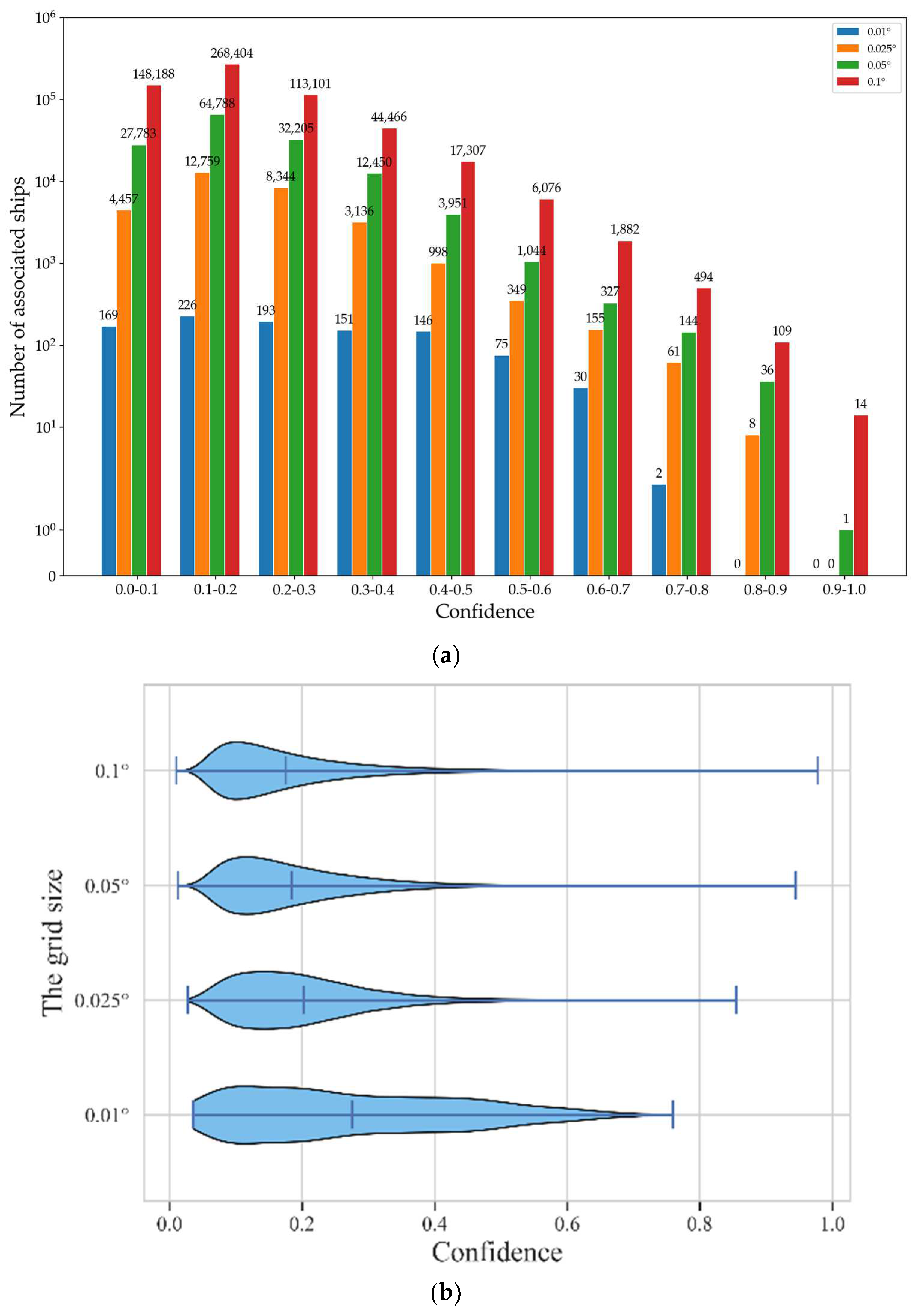
5.3. Parameter Sensitivity Analysis
6. Conclusions
Author Contributions
Funding
Institutional Review Board Statement
Informed Consent Statement
Data Availability Statement
Conflicts of Interest
References
- Dogancay, K.; Tu, Z.; Ibal, G. Research into vessel behaviour pattern recognition in the maritime domain: Past, present, and future. Digit. Signal Process. 2021, 119, 103191. [Google Scholar] [CrossRef]
- Zheng, Y. Trajectory Data Mining: An Overview. ACM Trans. Intell. Syst. Technol. 2015, 6, 1–41. [Google Scholar] [CrossRef]
- Wai, K.P.; Nwe Aung, T. Distance-based Clustering of Moving Objects’ Trajectories from Spatiotemporal Big Data. In Proceedings of the 2018 IEEE/ACIS 17th International Conference on Computer and Information Science (ICIS), Singapore, Singapore, 6–8 June 2018; pp. 567–572. [Google Scholar]
- Murray, B.; Perera, L.P. A dual linear autoencoder approach for vessel trajectory prediction using historical AIS data. Ocean Eng. 2020, 209, 107478. [Google Scholar] [CrossRef]
- Tang, H.; Yin, Y.; Shen, H. A model for vessel trajectory prediction based on long short-term memory neural network. J. Mar. Eng. Technol. 2022, 21, 136–145. [Google Scholar] [CrossRef]
- Liu, T.; Ma, J. Ship Navigation Behavior Prediction Based on AIS Data. IEEE Access 2022, 10, 47997–48008. [Google Scholar] [CrossRef]
- Zhou, Y.; Daamen, W.; Vellinga, T.; Hoogendoorn, S.P. Ship classification based on ship behavior clustering from AIS data. Ocean Eng. 2019, 175, 176–187. [Google Scholar] [CrossRef]
- Gao, M.; Shi, G.-Y. Ship-handling behavior pattern recognition using AIS sub-trajectory clustering analysis based on the T-SNE and spectral clustering algorithms. Ocean Eng. 2020, 205, 106919. [Google Scholar] [CrossRef]
- Duan, H.; Ma, F.; Miao, L.; Zhang, C. A semi-supervised deep learning approach for vessel trajectory classification based on AIS data. Ocean Coast. Manag. 2022, 218, 106015. [Google Scholar] [CrossRef]
- Zaccone, R.; Martelli, M. A collision avoidance algorithm for ship guidance applications. J. Mar. Eng. Technol. 2020, 19, 62–75. [Google Scholar] [CrossRef]
- Rong, H.; Teixeira, A.P.; Guedes Soares, C. Data mining approach to shipping route characterization and anomaly detection based on AIS data. Ocean Eng. 2020, 198, 106936. [Google Scholar] [CrossRef]
- Toscano, D.; Murena, F.; Quaranta, F.; Mocerino, L. Assessment of the impact of ship emissions on air quality based on a complete annual emission inventory using AIS data for the port of Naples. Ocean Eng. 2021, 232, 109166. [Google Scholar] [CrossRef]
- Bai, X.; Cheng, L.; Iris, Ç. Data-driven financial and operational risk management: Empirical evidence from the global tramp shipping industry. Transp. Res. Part E 2022, 158, 102617. [Google Scholar] [CrossRef]
- Xing, S.; Liu, X.; He, Q.; Hampapur, A. Mining Trajectories for Spatiotemporal Analytics. In Proceedings of the 2012 IEEE 12th International Conference on Data Mining Workshops, Brussels, Belgium, 10 December 2012; pp. 910–913. [Google Scholar]
- Jin, J.; Zhou, W.; Jiang, B. An Overview: Maritime Spatial-Temporal Trajectory Mining. J. Phys. Conf. Ser. 2021, 1757, 012125. [Google Scholar] [CrossRef]
- Tiantian, X.; Hong, L.; Yuqiang, L. Spatiotemporal Trajectory Gatherings Pattern Mining Method Based on R Tree Index. In Proceedings of the 2018 3rd International Conference for Convergence in Technology (I2CT), Pune, India, 6–8 April 2018; pp. 1–5. [Google Scholar]
- Zheng, K.; Zheng, Y.; Yuan, N.J.; Shang, S. On discovery of gathering patterns from trajectories. In Proceedings of the 013 IEEE 29th International Conference on Data Engineering (ICDE), Brisbane, QL, Australia, 8–12 April 2013; pp. 242–253. [Google Scholar]
- Li, Y.; Bailey, J.; Kulik, L. Efficient mining of platoon patterns in trajectory databases. Data Knowl. Eng. 2015, 100, 167–187. [Google Scholar] [CrossRef]
- Celik, M.; Shekhar, S.; Rogers, J.P.; Shine, J.A. Mixed-Drove Spatiotemporal Co-Occurrence Pattern Mining. IEEE Trans. Knowl. Data Eng. 2008, 20, 1322–1335. [Google Scholar] [CrossRef]
- Zhao, B.; Liu, X.; Jia, J.; Ji, G.; Tan, S.; Yu, Z. A Framework for Group Converging Pattern Mining using Spatiotemporal Trajectories. Geoinformatica 2020, 24, 745–776. [Google Scholar] [CrossRef]
- Tang, L.A.; Zheng, Y.; Yuan, J.; Han, J.; Leung, A.; Hung, C.C.; Peng, W.C. On Discovery of Traveling Companions from Streaming Trajectories. In Proceedings of the 2012 IEEE 28th International Conference on Data Engineering, Arlington, VA, USA, 1–5 April 2012; pp. 186–197. [Google Scholar]
- Puntheeranurak, S.; Shein, T.T.; Imamura, M. Efficient Discovery of Traveling Companion from Evolving Trajectory Data Stream. In Proceedings of the 2018 IEEE 42nd Annual Computer Software and Applications Conference (COMPSAC), Tokyo, Japan, 23–27 July 2018; pp. 448–453. [Google Scholar]
- Shein, T.T.; Puntheeranurak, S.; Imamura, M. Discovery of Loose Group Companion From Trajectory Data Streams. IEEE Access 2020, 8, 85856–85868. [Google Scholar] [CrossRef]
- Aydin, B.; Angryk, R.A. Spatiotemporal Co-Occurrence Pattern (STCOP) Mining in Briefs in Computer Science; Springer: Cham, Switzerland, 2018; pp. 55–69. [Google Scholar]
- Vieira, M.R.; Bakalov, P.; Tsotras, V.J. On-line discovery of flock patterns in spatio-temporal data. In Proceedings of the 17th ACM SIGSPATIAL International Conference on Advances in Geographic Information Systems (GIS ’09); Association for Computing Machinery: New York, NY, USA, 2009; pp. 286–295. [Google Scholar]
- Lei, B. Apriori-based Spatial Pattern Mining Algorithm for Big Data. In Proceedings of the 2020 International Conference on Urban Engineering and Management Science (ICUEMS), Zhuhai, China, 24–26 April 2020; pp. 310–313. [Google Scholar]
- Yongmei, Z.; Sha, G.; Kuo, X.; Mengmeng, L. Mining algorithm of spatial-temporal co-occurrence pattern based on vehicle GPS trajectory. In Proceedings of the 2016 IEEE International Conference on Signal and Image Processing (ICSIP), Beijing, China, 13–15 August 2016; pp. 142–145. [Google Scholar]
- Yadamjav, M.-E.; Bao, Z.; Zheng, B.; Choudhury, F.M.; Samet, H. Querying Recurrent Convoys over Trajectory Data. ACM Trans. Intell. Syst. Technol. 2020, 11, 1–24. [Google Scholar] [CrossRef]
- Al-Badwi, A.; Long, Z.; Zhang, Z.; Al-Habib, M.; Al-Sabahi, K. A Novel Integrated Approach for Companion Vehicle Discovery Based on Frequent Itemset Mining on Spark. Arab. J. Sci. Eng. 2019, 44, 9517–9527. [Google Scholar] [CrossRef]
- Zhu, M.; Liu, C.; Wang, J.; Wang, X.; Han, Y. A Service-Friendly Approach to Discover Traveling Companions Based on ANPR Data Stream. In Proceedings of the 2016 IEEE International Conference on Services Computing (SCC), San Francisco, CA, USA, 27 June–2 July 2016; pp. 171–178. [Google Scholar]
- Wang, X.; Liu, C.; Zhu, M. Instant Traveling Companion Discovery Based on Traffic-Monitoring Streaming Data. In Proceedings of the 2016 13th Web Information Systems and Applications Conference (WISA), Wuhan, China, 23–25 September 2016; pp. 89–94. [Google Scholar]
- Zhu, M.; Liu, C.; Wang, J.; Wang, X.; Han, Y. Instant Discovery of Moment Companion Vehicles from Big Streaming Traffic Data. In Proceedings of the 2015 International Conference on Cloud Computing and Big Data (CCBD), Shanghai, China, 4–6 November 2015; pp. 73–80. [Google Scholar]
- Ruihong, Y.; Fei, W.; Shuhui, C. TCoD: A Traveling Companion Discovery Method Based on Clustering and Association Analysis. In Proceedings of the 2019 International Joint Conference on Neural Networks (IJCNN), Budapest, Hungary, 14–19 July 2019; pp. 1–7. [Google Scholar]
- Yao, R.; Wang, F.; Chen, S.; Zhao, S. GroupSeeker: An Applicable Framework for Travel Companion Discovery from Vast Trajectory Data. ISPRS Int. J. Geo. Inf. 2020, 9, 404. [Google Scholar] [CrossRef]
- Yu, J.; Guo, Y.; Zhu, X.; You, Y.; Xiao, D. Discovery of Travelling Companions from Trajectories with Different Sampling Rates. In Proceedings of the 4th International Conference on Computer Science and Application Engineering (CSAE 2020); Association for Computing Machinery: New York, NY, USA, 2020; pp. 1–8. [Google Scholar]
- Naserian, E.; Wang, X.; Xu, X.; Dong, Y. Discovery of Loose Travelling Companion Patterns from Human Trajectories. In Proceedings of the 2016 IEEE 18th International Conference on High Performance Computing and Communications; IEEE 14th International Conference on Smart City; IEEE 2nd International Conference on Data Science and Systems (HPCC/SmartCity/DSS), Sydney, NS, Australia, 12–14 December 2016; pp. 1238–1245. [Google Scholar]
- Naserian, E.; Wang, X.; Xu, X.; Dong, Y. A Framework of Loose Travelling Companion Discovery from Human Trajectories. IEEE Trans. Mob. Comput. 2018, 17, 2497–2511. [Google Scholar] [CrossRef]
- Wang, J.; Zhu, C.; Zhou, Y.; Zhang, W. Vessel Spatio-temporal Knowledge Discovery with AIS Trajectories Using Co-clustering. J. Navig. 2017, 70, 1383–1400. [Google Scholar] [CrossRef]
- Zhang, Y.L.; Zhu, X.; Yang, L.J. Ships’ Spatiotemporal Co-Occurrence Patterns Mining Based on Sliding Spatiotemporal Cuboid and Improved Support. In Proceedings of the 2018 10th International Conference on Intelligent Human-Machine Systems and Cybernetics (IHMSC), Hangzhou, China, 25–26 August 2018; pp. 41–46. [Google Scholar]
- Atluri, G.; Karpatne, A.; Kumar, V. Spatio-Temporal Data Mining: A Survey of Problems and Methods. ACM Comput. Surv. 2018, 51, 1–41. [Google Scholar] [CrossRef]
- Venturini, G.; Iris, Ç.; Kontovas, C.A.; Larsen, A. The multi-port berth allocation problem with speed optimization and emission considerations. Transp. Res. Part D 2017, 54, 142–159. [Google Scholar] [CrossRef] [Green Version]












| MMSI | GRIDID | EN-TIME | EX-TIME | ||
|---|---|---|---|---|---|
| 473,487,616 | (453,367) | 1,549,123,204 | 1,549,124,437 | 30 | 7.8 |
| 473,487,616 | (453,368) | 1,549,124,643 | 1,549,125,901 | 350 | 7.7 |
| -- | -- | -- | -- | -- | -- |
| 984,567,372 | (627,264) | 1,551,542,412 | 1,551,543,656 | 57 | 7.9 |
| 984,567,372 | (628,264) | 1,551,543,967 | 1,551,545,327 | 70 | 9.2 |
| Notation | Description |
|---|---|
| TR | The entire raw dataset |
| Tr | The spatiotemporal trajectory of a ship |
| tr | The single trajectory point with multiple features |
| T | The duration threshold for the STCP |
| L | The range threshold for the STCP |
| The size of a grid | |
| difference threshold of the associated ships in the same grid | |
| difference threshold of the associated ships in the same grid | |
| The confidence threshold for the STCP | |
| t | The common time threshold of the associated ships in the same grid |
| STTGSs | Spatial-Temporal Trajectory Grid Sequences |
| The representative length of associated ship STTGSs |
| Serial Number | MMSI-ship1 | MMSI-ship2 | Start-Time | End-Time | Lcss | Similar |
|---|---|---|---|---|---|---|
| 1 | 321,321,356 | 414,352,580 | 1,551,121,623 | 1,551,270,956 | 102 | 0.854289 |
| 2 | 321,321,356 | 413,474,870 | 1,551,121,286 | 1,551,274,395 | 105 | 0.848153 |
| 3 | 400,068,068 | 412,520,467 | 1,550,639,223 | 1,550,729,624 | 89 | 0.843621 |
| 4 | 413,474,870 | 414,352,580 | 1,551,121,623 | 1,551,270,956 | 105 | 0.840215 |
| 5 | 412,431,217 | 412,520,384 | 1,550,642,853 | 1,550,729,624 | 98 | 0.813628 |
| 6 | 413,366,240 | 413,368,420 | 1,551,180,591 | 1,551,297,622 | 135 | 0.784884 |
| 7 | 413,425,410 | 419,057,483 | 1,549,919,223 | 1,551,096,423 | 102 | 0.782172 |
| 8 | 412,442,134 | 413,832,568 | 1,549,079,759 | 1,551,336,379 | 254 | 0.762873 |
| MMSI | Ship Type | MMSI | Ship Type |
|---|---|---|---|
| 321,321,356 | Other | 414,352,580 | Other |
| 400,068,068 | Fishing | 412,520,467 | Fishing |
| 413,366,240 | Other | 413,368,420 | Cargo |
| 412,431,217 | Fishing | 412,520,384 | Fishing |
| 413,425,410 | Cargo | 412,442,134 | Fishing |
| 413,832,568 | Cargo | 419,057,483 | Cargo |
| 413,474,870 | Tug |
| ΔL | Candidate Set | Result Set | Pattern Set | |
|---|---|---|---|---|
| 0.010° | 100 | 549,535 | 992 | 107 |
| 0.025° | 40 | 2,559,817 | 30,267 | 573 |
| 0.050° | 20 | 5,102,116 | 142,729 | 1556 |
| 0.100° | 10 | 9,156,517 | 600,041 | 8620 |
| Figure Number | Lower Boundary | Lower Quartile | Median | Upper Quartile | Upper Boundary | |
|---|---|---|---|---|---|---|
| Figure 8b | 0.01° | 0.036314 | 0.135674 | 0.242330 | 0.402742 | 0.759279 |
| 0.025° | 0.027306 | 0.124421 | 0.182948 | 0.255838 | 0.854828 | |
| 0.05° | 0.012761 | 0.110687 | 0.161178 | 0.234960 | 0.944444 | |
| 0.1° | 0.010081 | 0.100505 | 0.147445 | 0.221113 | 0.978261 | |
| Figure 8c | 0.01° | 0.500958 | 0.532294 | 0.570989 | 0.610566 | 0.759279 |
| 0.025° | 0.500031 | 0.531680 | 0.571754 | 0.633249 | 0.854828 | |
| 0.05° | 0.5 | 0.523208 | 0.56013 | 0.626344 | 0.944444 | |
| 0.1° | 0.5 | 0.524337 | 0.55774 | 0.610455 | 0.978261 |
Disclaimer/Publisher’s Note: The statements, opinions and data contained in all publications are solely those of the individual author(s) and contributor(s) and not of MDPI and/or the editor(s). MDPI and/or the editor(s) disclaim responsibility for any injury to people or property resulting from any ideas, methods, instructions or products referred to in the content. |
© 2023 by the authors. Licensee MDPI, Basel, Switzerland. This article is an open access article distributed under the terms and conditions of the Creative Commons Attribution (CC BY) license (https://creativecommons.org/licenses/by/4.0/).
Share and Cite
Zhou, C.; Liu, G.; Huang, L.; Wen, Y. Spatiotemporal Companion Pattern (STCP) Mining of Ships Based on Trajectory Features. J. Mar. Sci. Eng. 2023, 11, 528. https://doi.org/10.3390/jmse11030528
Zhou C, Liu G, Huang L, Wen Y. Spatiotemporal Companion Pattern (STCP) Mining of Ships Based on Trajectory Features. Journal of Marine Science and Engineering. 2023; 11(3):528. https://doi.org/10.3390/jmse11030528
Chicago/Turabian StyleZhou, Chunhui, Guangya Liu, Liang Huang, and Yuanqiao Wen. 2023. "Spatiotemporal Companion Pattern (STCP) Mining of Ships Based on Trajectory Features" Journal of Marine Science and Engineering 11, no. 3: 528. https://doi.org/10.3390/jmse11030528
APA StyleZhou, C., Liu, G., Huang, L., & Wen, Y. (2023). Spatiotemporal Companion Pattern (STCP) Mining of Ships Based on Trajectory Features. Journal of Marine Science and Engineering, 11(3), 528. https://doi.org/10.3390/jmse11030528

