Abstract
The large axial flow pump systems used in coastal pump stations are often required to add flap valves to the gates to improve the quality of the transition process. However, due to the unclear mechanism of the additional flap valve on the transition process of the large axial flow pump system, there are many difficulties in the design and application of this feature. In this paper, six kinds of flap valves with different areas are designed. On the basis of the secondary development of the Flomaster software, the transient simulation method is used to study the impact of flap valves with different areas on the large axial flow pump system synchronous start-up process, the asynchronous start-up process, the synchronous stop process and the asynchronous stop process. The research results show that when the AOF is less than 38% Ag during the asynchronous startup, increasing the AOF can significantly improve the shunt ability of the flap valve during startup. However, in the process of asynchronous starting, the working capacity of the flap valve is less affected by the AOF. During the asynchronous shutdown process, the additional flap valve can effectively delay the attenuation of the LAPS flow and reduce the instantaneous head and power. However, when the AOF reaches 38% Ag, further increasing the AOF has no obvious gain in reducing the maximum instantaneous head and power of the LAPS. When the AOF increases from 38% Ag to 49% Ag, the maximum instantaneous head and the power of the LAPS only decrease by 2.7% and 1.4%, respectively.
1. Introduction
The large axial flow pump system (LAPS) is widely used in coastal pumping stations and plays an important role in coastal drainage projects [1,2,3,4]. The most used cut-off measure for LAPS is the rapid-drop gate. At present, most of the commonly used rapid-drop gates are hydraulic gates, and the falling and lifting speed of the gates is often limited. Equipped with only a rapid-drop gate, it will cause a start-up or shutdown accident due to the sharp fluctuation of the characteristic parameters during the start-up or shutdown of the LAPS [5,6,7,8]. In recent years, a growing number of scholars have pointed out that a shunt flap valve needs to be added on the rapid-drop gate of the LAPS to improve the quality of the transition process.
The flap valve is a kind of cut-off facility that allows the water flow to pass through in one direction. During the start-up process, the water flow can impact the flap and open the flap valve, reduce the pressure at the top of the outlet channel and increase the stability of start-up [9,10,11]. At the same time, the flap valve can quickly cut-off the flow after stopping the machine and prevent the backflow. As the flap valve has a high degree of automation, it can be opened automatically under the impact of water and can be closed automatically by its self-weight or backflow, so it has been widely used in practice. For example, Kimura et al. [12] studied the feasibility of the wall-flap-gate as the submerged protective structure of the nuclear power plant and found that the wall-flap-gate has sufficient strength and watertightness, and its movement is not disturbed by gravel. Li et al. [13] applied the flap gate to the dam and found that the flap dam can meet the flood control and sediment discharge operation, the safe flood discharge in flood season, and reduce the elevation requirement of the dam in the structure. Mueller et al. [14] studied the influence of the operation and geometric characteristics of the flap gate on the discharge coefficient of the side weir, proposed a new formula for calculating the flow coefficient of the flap gate at the bottom of the weir, and found that the variation degree of the water jet varies with the opening angle of the gate. Burrows et al. [15] studied the influence of setting a circular flap valve at the outlet of the sewage pipe on the discharge and obtained the curve of the relationship between the impact force and the discharge required for the self-weight of the flap valve. Zhu et al. [16] used the finite element model to calculate the bending and shear resistance of the design model of the flap gate and analyzed the bearing capacity of the gate when the impact load is halved. It is found that reducing the impact load can significantly improve the stress concentration at the corner of the gate pier and improve the bearing capacity of the flap gate.
There have been some engineering examples of the application of the flap valve in the LAPS to improve the safety of the transition process, but the related research is still in the preliminary stage. Zhu et al. [17] studied the water head loss coefficient of the whole flap valve and gave the head loss coefficient and empirical formula of the whole flap valve, which provided technical data for the design and calculation of the pump station flap valve. Xi et al. [18] studied the influence of different opening angles of the double-stage flap valve on the outflow of the pumping station. The results show that the larger the opening angle of the flap valve, the smaller the head loss of the flow in the outlet culvert, and the flow pattern in the culvert gradually improves. Yang et al. [19] studied the resistance loss of the exit flap valve of the model pump device and found that the resistance loss of the flap valve is affected by the exit ring of the guide vane. At the same flow rate, the decline in the pump efficiency is not positively related to the flap valve. Xie et al. [20] studied the over-current capacity of the additional flap valve based on CFD and found that under the same flow area, the hydraulic loss coefficient of the suspended flap valve is smaller than that of the side-turn flap valve at the condition of small angle opening, but larger than that of the side-turn flap valve at a large angle. From the above research, it can be found that there has been some progress in the research on the structure characteristics or hydraulic loss characteristics of the flap valve [21,22,23,24]. However, the effect of the additional flap valve over the transition process of the LAPS is not clear and this mechanism should be established as soon as possible.
At present, the Flomaster software is increasingly widely used in the simulation of the transition process involving pumps, pipelines and other systems. Hu et al. [25] used the Flomaster software combined with the full characteristic curve data of the pump to comprehensively evaluate the safety and stability of a certain pump station, and on this basis, further proposed an optimization plan for this pump station. Geng et al. [26] used the secondary development of the Flomaster software to calculate the load shedding transition process of the hydropower station. The simulation results are in line with the control conditions of the hydropower station, which provide a new method for the calculation of the load shedding transition process of the hydropower station. Flomaster is a professional software for the analysis of one-dimensional engineering fluid piping systems. The calculation concept was first proposed by the British Association of Fluid Mechanics. Flomaster has been widely used in aerospace, energy systems, natural gas and other fluid pipeline simulation platforms as it was originally used for the numerical simulation of simple piping systems. It can observe the changes in the transient flow characteristics and parameters of each component efficiently and accurately.
As the mechanism of the additional flap valve to improve the quality of the LAPS’S transition process is not clear, there are many difficulties in the design and application of additional flap valves in LAPS at present. In this paper, six kinds of flap valves, with different areas, are designed, and the effects of the flap valves with different areas on the synchronous start-up process, asynchronous start-up process, synchronous shutdown process and asynchronous shutdown process of the LAPS are studied in detail. The purpose of this paper is to comprehensively explore the impact of additional flap valves with different areas on the transition process of LAPS and reveal the mechanism of additional flap valves to improve the quality of the LAPS’S transition process. The research results of this paper can provide an important reference for the design and application of additional flap valve in LAPS.
2. Numerical Calculation and Model Test Description
2.1. Physical Model
This paper takes a typical large axial flow pump station system (LAPS) in China as the research object. The typical LAPS consists of an inlet channel, axial flow pump, outlet elbow, outlet channel and safety auxiliary facilities. The safety auxiliary facilities include the rapid-drop gate and the flap valve, wherein the flap valve is attached to the rapid-drop gate. Figure 1 shows the schematic diagram of the LAPS, and Table 1 shows the parameters of the LAPS.
Figure 1.
Schematic diagram of the LAPS.
Table 1.
Characteristic parameters of the LAPS.
2.2. Specific Scheme and Its Description
As the start-up under the maximum net head is the most unfavorable condition in the start-up process of the LAPS, the study of the transition process in this paper takes the maximum net head as the calculation boundary. The starting and closing speed of the rapid-drop gate are both 1.25 m/min; 0% Ag represents that the area of flap valve (AOF) accounts for 0% of the rapid-drop gate (means no flap valve). The same is true for 8% Ag, 15% Ag, 26% Ag, 38% Ag and 49% Ag. In order to describe the corresponding schemes of the different areas, the 0% Ag scheme is defined as FV Ⅰ, the 8% Ag scheme as FV Ⅱ, and so on. The detailed corresponding schemes for the different AOF are shown in Table 2, and the specific physical parameters corresponding to the different AOF are shown in Table 3.
Table 2.
Different AOF and its scheme.
Table 3.
Physical parameters of different AOF.
The model is built based on the Flomaster software platform [27,28]. Figure 2 shows the simulation model platform involving all of the components, such as the flap valve and the rapid-drop gate. Among them, element 1 and element 3 represent the inlet and outlet channels, which are realized in the form of user-defined flow resistance elements and rigid pipes; element 2 represents the axial flow pump model, and the pump speed control is realized through the pump speed controller. Element 5 represents the rapid-drop gate, and the gate control is realized through the gate controller. Element 6 represents the flap valve attached to the rapid-drop gate. Table 4 shows the hydraulic loss coefficient of the flap valve at different opening angles.
Figure 2.
Schematic diagram of Flomaster model of the LAPS.
Table 4.
Hydraulic loss coefficient of flap valve at different opening angles.
2.3. Mathematical Model
The pressure drop characteristics required in Flomaster are obtained by CFD (based on ANSYS CFX). In the numerical simulation, the flow density in LAPS is assumed to be constant, and the Reynolds time-averaged equation is used to control the LAPS model. In order to obtain an effective solution to the equation, the SST k-ω turbulence model is selected to close the equation [29,30,31]. For the LAPS, the inlet adopts the speed inlet condition, and the outlet adopts the free outflow condition. Figure 3 shows the grid diagram of each flow passage component in the CFD calculation. The inlet part and outlet part are divided by an unstructured grid. The impeller and guide vane are divided by structured grids. At the same time, the grid of the impeller and guide vane near the shroud is densified. Figure 4 shows the grid independence analysis of the calculation model. Taking the head and efficiency as the evaluation indicators of whether the number of grids meets the requirements, it can be seen that the head and efficiency fluctuate in a small range when the overall number of grids reaches 5 million. In order to save the calculation cost, this study uses 5.16 million grids for the CFD calculation.
Figure 3.
Grid diagram of each flow passage components.
Figure 4.
Grid independence analysis of head and efficiency of the LAPS.
The main research object of the Flomaster software is the fluid pipeline, which is composed of a series of fluid pipeline elements that are connected by nodes. Due to the complexity of the transition process calculation, users need to define the secondary development to apply Flomaster to the transition process calculation of the LAPS. In the study of the transition process of the LAPS, the flow characteristics of the water flow is mainly studied. In Flomaster, the continuity equation and momentum equation are used to linearly describe the flow characteristics of the components in the system. The equations of the simplified fluid network are as follows:
where h is the head along the way, which is expressed as the reservoir water level in the LAPS; is the average velocity of the fluid; g is the acceleration of gravity; a is the wave velocity; f is the friction coefficient; α is the angle between the pipe centerline and the horizontal line; D is the pipe diameter.
The core of the application of Flomaster to the transition process of the LAPS is to obtain the flow rate, the head and the other parameters of each component in the steady state, and then carry out the transient calculation. The model of each element in the fluid network is mainly based on the pressure-flow relationship, in which the flow represents the mass flow and is directional. The relationship between the pressure difference and flow rate can be expressed as follows:
where Qm is the mass flow; ΔP is the pressure difference between the inlet and outlet of the pipeline; A is the cross-sectional area of the element; ρ is the liquid density; and k is the pressure difference coefficient.
Assume that Qm1 is the mass flow at the pipe inlet and Qm2 is the mass flow at the pipe outlet; thus, the linear equation of the mass flow in the pipe inlet and outlet can be derived:
As ΔP is the pressure difference between the inlet and outlet of the pipe, ΔP = P2 − P1, P1 and P2 are the pressure at the inlet and outlet of the pipe, respectively, then the above equation can be converted into the pressure flow equation:
where , , , , , .
According to the continuity of the fluid and the continuity equations of all the nodes, the overall equations of the pipeline system can be obtained. For any node m on the pipeline system:
where Qim is the node flow of unit i connected to node m; the left side is the total node flow of all M units contributing to the node; qm is the total traffic entering the node.
The size of the inlet pipe and outlet pipe in the Flomaster simulation is assumed as follows: the length of the inlet pipe is taken as the centerline length of the inlet channel in the CFD calculation model, that is, 10.62 m. In the CFD model, 25 inlet channel sections are taken at the same distance from the centerline, and the weighted average of the hydraulic diameters of these 25 sections is the diameter of the Flomaster inlet pipe, i.e., 2.82 m. The length of the outlet pipe is taken as the centerline length of the outlet channel of the CFD calculation model, i.e., 23.87 m. Similarly, in the CFD model, 25 outlet channel sections are taken at the same distance from the centerline. The weighted average of the hydraulic diameters of these 25 sections is the diameter of the Flomaster outlet pipe.
Figure 5 shows the strategy flow chart of this numerical calculation, primarily concerning how to combine Flomaster, the pump test and CFD. The principle is to conduct the pump test and CFD calculation of the pump system first, obtain the pump test performance curve and the pressure drop curve of the flow channel and flap valve, store the obtained performance curve in the database of Flomaster in the form of a Suter curve, then add the pressure drop characteristics of the flow channel and flap valve predicted by CFD to the elements, and finally, calculate the pump station transition process. As the Flomaster software does not directly calculate the transition process of the pump station, some of the data, such as the performance curve and pressure drop curve, need to be given. Therefore, the process of storing the data in Flomaster for further calculation is called the secondary development of the Flomaster software.
Figure 5.
Flow chart of transition process simulation strategy.
2.4. Experimental Platform and Methods
The experimental test in this paper is carried out on the high-precision hydraulic machinery test bench of the Key Laboratory of Water Conservancy and Power Engineering in Jiangsu Province. The test bench operation process is carried out in strict accordance with SL140-2006 “Acceptance Test Procedures for Pump Models and Device Models” [32]. The system comprehensive uncertainty calculation of this test bench is shown in Formula (9):
where Eη,s is the system comprehensive uncertainty, %; Eq,s is the flow test system uncertainty, %; EH,s is the head test system uncertainty, %; En,s is the speed test system uncertainty, %; EM,s is the torque test system uncertainty, %.
The system comprehensive uncertainty of the test bench is ±0.39%. Figure 6 shows the schematic diagram of the high-precision hydraulic machinery test bench. The parameters of the main measuring instruments and its uncertainty are shown in Table 5.
Figure 6.
Schematic diagram of the high-precision hydraulic machinery test bench.
Table 5.
Parameters of the main measuring instruments of the test bench.
3. Model Verification
In order to prove the feasibility and accuracy of the results of the Flomaster simulation platform constructed in this paper, we build the LAPS model in the key laboratory and carry out the steady-state energy characteristic test and transient power-off runaway test for the large axial flow pumping station system model [33]. Figure 7 shows the energy characteristics of the LAPS. It can be found from Figure 7 that the head and shaft power measured by the model test under the design flow rate (Qdes = 12.79 m3/s) are almost the same as those obtained in the Flomaster. The more flow deviating from the design flow rate, the greater the error between them, but the maximum error is less than 3%, indicating that the Flomaster simulation platform constructed in this paper has high accuracy in the energy characteristic test of the steady-state simulation. Figure 8 shows the error analysis diagram between the experimental test and the numerical simulation when comparing the steady-state energy characteristic experiment. From the error trend of the head and shaft power in Figure 8, it can be seen that with the increase in the flow, the error value of the head and shaft power obtained by the numerical simulation gradually decreases. Under the design flow, the head error is approximately 3.0%, the power error is approximately 0.5%, and the overall error meets the calculation requirements of the pump station transition process.
Figure 7.
Energy characteristics of the LAPS.
Figure 8.
Error analysis of numerical simulation of energy characteristics.
Figure 9 shows the runaway speed of the pump after the power-off of the LAPS under different heads. It can be found from Figure 9 that the runaway speed measured by the model test at the design head (Hdes = 4.55 m) is very close to that obtained by the Flomaster, and the variation law is also very consistent. The runaway points obtained by the test are all higher than those obtained by the Flomaster simulation platform, but the maximum error is less than 3%, indicating that the Flomaster simulation platform constructed in this paper has high accuracy in the power-off runaway test of the transient simulation. Figure 10 shows the error analysis between the experimental test and the numerical simulation when comparing the transient power-off runaway test. It can be seen from the variation trend of the speed error with different water levels in Figure 10 that the runaway speed error value obtained by the numerical simulation gradually decreases with the increase in the water level. Under the design head, the error value of the runaway speed is approximately 2.0%, and the overall error meets the calculation requirements of the pump station transition process.
Figure 9.
Runaway speed of pump after power-off of the LAPS under different head.
Figure 10.
Error analysis of numerical simulation of pump runaway speed after power-off.
4. Results and Discussion
4.1. Influence of AOF on Synchronous Start-Up Process
In the start-up process of the LAPS, the motor and the rapid-drop gate often cooperate synchronously. Synchronous cooperation means that the motor powering and the fast gate opening occur at the same time. In this paper, the synchronous start-up process of the motor and the gate is defined as the synchronous start-up process. In order to explore the influence of AOF on the synchronous start-up process of the LAPS, this section makes the transient simulation of the synchronous start-up process of the LAPS with different AOF.
Figure 11 shows the start-up characteristic curve of the LAPS during the synchronous start-up process, before and after the additional flap valve. It can be seen from Figure 11 that the growth rate of the flow is significantly accelerated, and the instantaneous head, power and torque are significantly reduced in the synchronous start-up process of the LAPS with a flap valve compared with that without a flap valve. With the FV Ⅳ, the time required for the LAPS to transition from the start-up to stable operation is shortened by approximately 11.3 s. The maximum impact power of the LAPS reduces the 0.1 Pdes, does not exceed the upper limit of the motor power, and will not cause motor overload.
Figure 11.
Start-up characteristic curve of LAPS before and after additional flap valve during synchronous start-up process.
Figure 12 shows the shunt ability of the different AOF during the synchronous start-up process. According to Figure 12, the following conclusions can be drawn. Firstly, in the process of synchronous start-up, with the increase in the AOF, the shunt ability of the flap valve in the start-up process is gradually enhanced. With FV Ⅱ, when t is 7.1 s, the flow at the flap valve reaches the maximum value of 0.24 Qdes, accounting for 36.4% of the total LAPS flow. With FV Ⅵ, when t is 8.55 s, the flow at the flap valve reaches the maximum value of 0.56 Qdes, accounting for 68.1% of the total LAPS flow. Secondly, in the process of synchronous start-up, when the AOF is smaller than that of 26% Ag, increasing the AOF can significantly improve the shunt ability of the flap valve during the start-up process. When the AOF increases from 8% Ag to 15% Ag, the maximum flow rate of the flap valve during the start-up process increases by 57.8%. Thirdly, when the AOF reaches 26% Ag, further increasing the AOF has no obvious gain in improving the shunt ability of the flap valve in the start-up process. When the AOF increases from 26% Ag to 38% Ag, the maximum flow of the flap valve during the start-up process increases by only 6.5%.
Figure 12.
Shunt ability different AOF during synchronous start-up process.
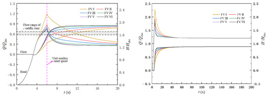
Figure 13 shows the instantaneous changes in the LAPS’S flow and head during the synchronous start-up process. The gray area in Figure 13 is the flow range of the saddle zone, measured by the pump experiment. According to the actual operation experience of the LAPS, as long as when the flow rate of the unit reaches the rated speed does not fall within the flow range of the saddle zone, it can basically ensure that the start-up of the LAPS will not lead to the instability of the LAPS due to the influence of the saddle zone. According to Figure 13, the following conclusions can be drawn. Firstly, during the synchronous start-up process, the additional flap valve can reduce the maximum start-up head of the LAPS and shorten the time required for the LAPS to transition to a steady state. Secondly, in the process of the synchronous start-up, the AOF equipped with 8% Ag to 49% Ag will not lead to start-up instability due to the influence of the saddle zone during the LAPS start-up process.
Figure 13.
Instantaneous change of LAPS flow and head during synchronous start-up process.
Figure 14 shows the maximum impact head and power of the LAPS during the synchronous start-up process. The following conclusions can be drawn from Figure 14. Firstly, in the process of synchronous start-up, increasing the flap valve can significantly reduce the maximum impact head and power of the LAPS. Secondly, when the AOF is smaller than 26% Ag, increasing the AOF can further reduce the maximum impact head and power of the LAPS. Thirdly, when the AOF reaches 26% Ag, further increasing the AOF has no obvious gain in reducing the maximum impact head and power of the LAPS. When the AOF increases from 26% Ag to 38% Ag, the maximum impact head and power of the LAPS are only reduced by 0.08% and 0.57%.
Figure 14.
Maximum impact head and power of LAPS during synchronous start-up process.
4.2. The Influence of AOF on Asynchronous Start-Up Process
In order to reduce the impact of the backflow on the impeller during the start-up process, the motor and the rapid-drop gate sometimes cooperate asynchronously. Asynchronous cooperation means that the opening of the rapid-drop gate lags behind the energization of the motor. In this paper, the start-up process of asynchronous cooperation between motor and gate is defined as the asynchronous start-up process. In order to explore the influence of the AOF on the asynchronous start-up process of the LAPS, this section makes the transient simulation of the asynchronous start-up process of the LAPS with different AOF. It should be noted that in the asynchronous start-up process of this section, the rapid-drop gate starts to open three seconds after the motor is powered on.
Figure 15 shows the start-up characteristic curves of the LAPS in the asynchronous start-up process, before and after the additional flap valve. It can be seen from Figure 15 that the growth rate of the flow is significantly accelerated, and the instantaneous head, power and torque are significantly reduced in the asynchronous start-up process of the LAPS with a flap valve compared with that without a flap valve. The time required for the LAPS to transition from start-up to stable operation has been reduced by 10.9 s. Increasing the maximum impact power of the LAPS behind the flap valve reduces the 0.25 Pdes, does not exceed the upper limit of the motor power, and will not cause motor overload.
Figure 15.
Start-up characteristic curves of LAPS before and after additional flap valve during asynchronous start-up process.
Figure 16 shows the shunt ability of the different AOF during the asynchronous start-up process. According to Figure 16, the following conclusions can be drawn. Firstly, in the process of asynchronous start-up, with the increase in the AOF, the shunt ability of the flap valve in the start-up process is gradually enhanced. With FV Ⅱ, when t is 6.775 s, the flow at the flap valve reaches the maximum value of 0.295 Qdes, accounting for 50.8% of the total LAPS flow. With FV Ⅵ, when t is 8.8 s, the flow at the flap valve reaches the maximum value of 0.634 Qdes, accounting for 77.5% of the total LAPS flow. Secondly, in the process of asynchronous start-up, when the AOF is smaller than that of 38% Ag, increasing the AOF can significantly improve the shunt ability of the flap valve during the start-up process. When the AOF increases from 8% Ag to 15% Ag, the maximum flow of the flap valve during the start-up process increases by 51.8%. Thirdly, when the AOF reaches 38% Ag, further increasing the AOF has no obvious gain in improving the shunt ability of the flap valve in the start-up process. When the AOF increases from 38% Ag to 49% Ag, the maximum flow of the flap valve during the start-up process increases by only 2.1%.
Figure 16.
Shunt ability different AOF during asynchronous start-up process.
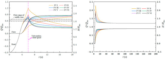
Figure 17 shows the instantaneous changes of the LAPS’s flow and head during the asynchronous start-up process. According to Figure 17, the following conclusions can be drawn. Firstly, during the asynchronous start-up process, the additional flap valve can reduce the maximum start-up head of the LAPS and shorten the time required for the LAPS to transition to a steady state. Secondly, in the process of asynchronous start-up, the AOF equipped with 8% Ag to 49% Ag will not lead to start-up instability due to the influence of the saddle zone during the LAPS start-up process.
Figure 17.
Instantaneous change of LAPS flow and head during asynchronous start-up process.
Figure 18 shows the maximum impact head and power of the LAPS during the asynchronous start-up process. The following conclusions can be drawn from Figure 18. Firstly, in the process of asynchronous start-up, compared with no flap valve, the additional flap valve can significantly reduce the maximum impact head and power of the LAPS. When the AOF increases from 0% Ag to 8% Ag, the maximum impact head and power of the LAPS are reduced by 15.1% and 12.1%. Secondly, in the process of asynchronous start-up, the working ability of the flap valve is less affected by the AOF. In the process of gradually increasing the AOF, the maximum impact head and power of the LAPS are both reduced by less than 5%. Therefore, increasing the AOF has no obvious gain in improving the working ability of the flap valve in the process of asynchronous start-up.
Figure 18.
Maximum impact head and power of LAPS during asynchronous start-up process.
4.3. The Influence of AOF on Synchronous Shutdown Process
During the shutdown of the LAPS, the motor and the rapid-drop gate often adopt synchronous cooperation. Synchronous cooperation means that the motor power off and the rapid-drop gate closing is at the same time. In this paper, the synchronous cooperation shutdown process of the motor and gate is defined as synchronous shutdown process. In order to explore the influence of the AOF on the LAPS’s synchronous shutdown process, this section takes the transient simulation of the LAPS synchronous shutdown process with different AOF.
Figure 19 shows the instantaneous changes of the LAPS’s flow and speed during the synchronous shutdown process. Figure 20 shows the flow at the flap valve during the synchronous shutdown process. It can be seen from Figure 19 and Figure 20 that the flap valve has no working ability during the synchronous shutdown process, and the addition of different AOF will not affect the shutdown characteristics of the LAPS.
Figure 19.
Instantaneous change of LAPS flow and speed during synchronous shutdown process.
Figure 20.
Flow at the flap valve during synchronous shutdown process.
4.4. The Influence of AOF on Asynchronous Shutdown Process
In order to reduce the runaway time and reverse the speed of the pump during the shutdown process, the motor and the rapid-drop gate usually cooperate asynchronously. Asynchronous cooperation means that the closing of the rapid-drop gate is earlier than the power failure of the motor. In this paper, the asynchronous cooperation shutdown process of the motor and gate is defined as the asynchronous shutdown process. In order to explore the influence of the different AOF on the LAPS’s asynchronous shutdown process, this section takes the transient simulation of the LAPS’s asynchronous shutdown process with different AOF. It should be noted that during the asynchronous shutdown process, in this section, when the rapid-drop gate is completely closed, the unit will be powered off.
Figure 21 shows the shutdown characteristic curve of the LAPS before and after the additional flap valve during the asynchronous shutdown process. It can be seen from Figure 21 that compared with no flap valve, the LAPS with a flap valve changes smoothly during the asynchronous shutdown process. The flow attenuation speed of the LAPS becomes slower due to the rapid-drop gate closing, and the maximum instantaneous head and power also decrease accordingly. Compared with FV Ⅰ, the maximum instantaneous power of the LAPS is reduced by 1.04 Pdes after adopting FV Ⅳ, which does not exceed the upper limit of the motor power and will not cause motor overload.

Figure 21.
Shutdown characteristic curve of LAPS before and after adding flap valve during asynchronous shutdown process.
Figure 22 shows the instantaneous changes of the LAPS’s flow and speed during the asynchronous shutdown process. According to Figure 22, the following conclusions can be drawn. Firstly, in the asynchronous shutdown process, as the rapid-drop gate will be gradually closed during the normal operation of the LAPS, the additional flap valve can effectively delay the attenuation of the LAPS’s flow, but has little influence on the pump speed. Secondly, the larger the AOF is, the slower the decay rate of the system flow is, which is mainly reflected after 84 s, that is, after the gate is closed by 70%.
Figure 22.
Instantaneous change of LAPS flow and speed during asynchronous shutdown process.
Figure 23 shows the shunt ability of the different AOF during the asynchronous shutdown process. According to Figure 23, the following conclusions can be drawn. Firstly, in the process of asynchronous shutdown, the time when the flap valve starts to shunt is not affected by the AOF. Secondly, in the process of asynchronous shutdown, with the increase in the AOF, the shunt ability of the flap valve in the shutdown process is gradually enhanced. With FV Ⅱ, when t is 120 s, the flow at the flap valve reaches the maximum value 0.448 Qdes, accounting for 100% of the total LAPS flow. With FV Ⅵ, when t is 120 s, the flow at the flap valve reaches the maximum value 0.84 Qdes, accounting for 100% of the total LAPS flow. Thirdly, when the AOF reaches 38% Ag, further increasing the AOF has no obvious gain in improving the shunt ability of the flap valve in the process of asynchronous shutdown. When the AOF increases from 38% Ag to 49% Ag, the maximum flow of the flap valve during the shutdown process increases by only 2.08%.
Figure 23.
Shunt ability of different AOF during asynchronous shutdown process.
Figure 24 shows the maximum instantaneous head and power of the LAPS during the asynchronous shutdown process. The following conclusions can be drawn from Figure 24. Firstly, in the process of asynchronous shutdown, as the rapid-drop gate will be gradually closed during the normal operation of the LAPS, increasing the additional flap valve can reduce the maximum instantaneous head and power of the LAPS’s asynchronous shutdown process. Secondly, when the AOF is smaller than 38% Ag, increasing the AOF can significantly reduce the maximum instantaneous head and power of the LAPS. When the AOF increased from 8% Ag to 15% Ag, the maximum instantaneous head and power of LAPS decreased by 18.9% and 13.0%, respectively. Thirdly, when the AOF reaches 26% Ag, further increasing the AOF has no obvious gain in reducing the maximum instantaneous head and power of the LAPS. When the AOF increases from 26% Ag to 38% Ag, the maximum instantaneous head and power of the LAPS only decrease by 5.8% and 0.83%.
Figure 24.
Maximum instantaneous head and Power of LAPS during asynchronous shutdown process.
5. Conclusions
Based on the secondary development of the Flomaster software, this paper studies the influence of AOF on the transition process of the LAPS by using the transient simulation method. By comparing the influences of the addition of different AOF on the transition process of the LAPS, the appropriate AOF range to improve the quality of the transition process of the LAPS is clarified. The main conclusions are as follows:
(1) During the synchronous start-up process, the additional flap valve can further reduce the maximum impact head and power of the LAPS. However, when the AOF reaches 26% Ag, further increasing the AOF has no obvious gain in reducing the maximum impact head and power of the LAPS. When the AOF increases from 26% Ag to 38% Ag, the maximum impact head and power of the LAPS are only reduced by 0.08% and 0.57%.
(2) During the asynchronous start-up process, when the AOF is smaller than that of 38% Ag, increasing the AOF can significantly improve the shunt ability of the flap valve during the start-up process. However, during the asynchronous start-up process, the working ability of the flap valve is less influenced by the AOF. In the process of gradually increasing the AOF, the maximum impact head and power of the LAPS are both reduced within 5%.
(3) The flap valve has no working ability during the synchronous shutdown process, and the addition of different AOF will not affect the LAPS shutdown characteristics.
During the asynchronous shutdown process, the additional flap valve can effectively delay the attenuation of the LAPS’s flow and reduce the instantaneous head and power. However, when the AOF reaches 38% Ag, further increasing the AOF has no obvious gain in reducing the maximum instantaneous head and power of the LAPS. When the AOF increases from 38% Ag to 49% Ag, the maximum instantaneous head and power of the LAPS only decrease by 2.7% and 1.4%. The purpose of this paper is to comprehensively investigate the effects of additional flap valves with different areas on the LAPS’s transition process and to reveal the mechanism of the role of additional flap valves in enhancing the quality of the LAPS’s transition process. The research methods in this paper are applicable to the pre-design and study of the transition process of different types of LAPSs. The results of this paper for the flapper area can provide an important reference for the design and application of additional flapper valves for similar LAPSs. In the further research to be conducted in the future, we plan to go to the pump station site and conduct the pump station site test to further verify the results of this paper.
Author Contributions
Conceptualization, X.Z.; methodology, X.Z. and Y.J.; software, X.Z. and X.S.; validation, X.Z., Y.J. and X.S.; formal analysis, X.Z.; investigation, J.D.; resources, X.Z.; data curation, X.Z. and X.S.; writing—original draft preparation, X.Z. and Y.J.; writing—review and editing, X.Z.; visualization, F.T.; supervision, F.T. and F.Y.; project administration, H.W.; funding acquisition, F.T. and L.S. All authors have read and agreed to the published version of the manuscript.
Funding
This research was funded by the National Natural Science Foundation of China (No. 52209116); the Scientific and Technological Research and Development Program of South-to-North Water Transfer in Jiangsu Province (No. JSNSBD202201); the Jiangsu Water Conservancy Science and Technology Project (No. 2021012).
Institutional Review Board Statement
No applicable.
Informed Consent Statement
No applicable.
Data Availability Statement
No applicable.
Conflicts of Interest
The authors declare no conflict of interest.
Nomenclature and Abbreviations
| Qdes | Design flow rate (m3/s) |
| Hdes | Design net head (m) |
| Hmax | Maximum net head (m) |
| n | Rated speed (r/min) |
| D | Impeller diameter (m) |
| M1 | Moment of inertia of pump (kg∙m2) |
| M2 | Moment of inertia of motor (kg∙m2) |
| Pmax | Maximum motor power (KW) |
| Ag | Area of rapid-drop gate (m2) |
| α1 | Opening angles (°) |
| ζ | Loss coefficient |
| Hmax | Maximum net head (m) |
| F | Frequency(s−1) |
| t | Time (s) |
| h | Reservoir water level in LAPS (m) |
| Average velocity of the fluid (m/s) | |
| A | Wave velocity (m/s) |
| G | Acceleration of gravity (m/s2) |
| Qm | Mass flow (kg/s) |
| ΔP | Pressure difference between the inlet and outlet (Pa) |
| A | Cross-sectional area of the elementTime (m2) |
| k | Pressure difference coefficient |
| ρ | The density of flow (kg/m3) |
| ω | The angular velocity of the impeller (rad/s) |
| η | Efficiency (%) |
| ηexp | Experimental Efficiency (%) |
| ηsim | Simulated Efficiency (%) |
| Hexp | Experimental head (m) |
| Hsim | Simulated head (m) |
| CFD | Computational fluid dynamics |
| LAPS | Large axial flow pump system |
| AOF | Area of flap valve |
References
- Ge, X.; Zhang, J.; Zhang, J.; Liu, D.; Zheng, Y.; Chen, H. Review of Research on the Three-Dimensional Transition Process of Large-Scale Low-Lift Pump. Energies 2022, 15, 8338. [Google Scholar] [CrossRef]
- Zuo, Z.; Tan, L.; Shi, W.; Chen, C.; Ye, J.; Francis, E.M. Transient Characteristic Analysis of Variable Frequency Speed Regulation of Axial Flow Pump. Sustainability 2022, 14, 11143. [Google Scholar] [CrossRef]
- Fu, S.; Zheng, Y.; Kan, K.; Chen, H.; Han, X.; Liang, X.; Liu, H.; Tian, X. Numerical simulation and experimental study of transient characteristics in an axial flow pump during start-up. Renew. Energy 2020, 146, 1879–1887. [Google Scholar] [CrossRef]
- Kan, K.; Zhang, Q.; Xu, Z.; Chen, H.; Zheng, Y.; Zhou, D.; Binama, M. Study on a horizontal axial flow pump during runaway process with bidirectional operating conditions. Sci. Rep. 2021, 11, 21834. [Google Scholar] [CrossRef] [PubMed]
- Li, T.; Li, Y.; He, Z.; Luo, W. Application of the Energy-saving Flap Valve in Pumping Station Rebuild. Fluid Mach. 2008, 8, 48–49. [Google Scholar]
- Xu, Z.; Zheng, Y.; Kan, K.; Chen, H.; Lu, Y.; Dai, J. Accelerated starting transition process of rapid gate in large tubular pumping station. J. Drain. Irrig. Mach. Eng. 2020, 38, 1016–1022. [Google Scholar]
- Li, Q.; Ma, X.; Wu, P.; Yang, S.; Huang, B.; Wu, D. Study on the Transient Characteristics of the Centrifugal Pump during the Startup Period with Assisted Valve. Processes 2020, 8, 1241. [Google Scholar] [CrossRef]
- Hu, J.; Su, X.; Huang, X.; Wu, K.; Jin, Y.; Chen, C.; Chen, X. Hydrodynamic Behavior of a Pump as Turbine under Transient Flow Conditions. Processes 2022, 10, 408. [Google Scholar] [CrossRef]
- Liu, J.; Li, Z.; Wang, L.; Jiao, L. Numerical Simulation of the Transient Flow in a Radial Flow Pump during Stopping Period. J. Fluids Eng. 2011, 133, 111101. [Google Scholar] [CrossRef]
- Kan, K.; Zheng, Y.; Chen, H.; Zhou, D.; Dai, J.; Binama, M.; Yu, A. Numerical simulation of transient flow in a shaft extension tubular pump unit during runaway process caused by power failure. Renew. Energy 2020, 154, 1153–1164. [Google Scholar] [CrossRef]
- Sun, Z.; Yu, J.; Tang, F.; Ge, H.; Yuan, H. Analysis of Transient Characteristics of Submersible Tubular Pump During Runaway Transition. Front. Energy Res. 2022, 10, 894796. [Google Scholar] [CrossRef]
- Kimura, Y.; Wakunaga, T.; Yasuda, M.; Kimura, H.; Kani, N.; Mase, H. Development and verification of wall-flap-gate as tsunami inundation defence for nuclear plants. Nucl. Eng. Des. 2017, 323, 299–308. [Google Scholar] [CrossRef]
- Li, H.; Lei, S.; Fu, T.; Gao, L. Research on Design and Application of Flap Gate in Guiyang Nanming River. IOP Conf. Ser. Mater. Sci. Eng. 2017, 274, 012151. [Google Scholar] [CrossRef]
- Mueller, M.; Novak, G.; Steinman, F.; Rak, G.; Bajcar, T. Influence of the Operating and Geometric Characteristics of a Bottom-hinged Flap Gate on the Discharge Coefficient of a Side Weir. J. Mech. Eng. 2015, 61, 498–506. [Google Scholar] [CrossRef]
- Burrows, R.; Emmonds, J. Energy head implications of the installation of circular flap gates on drainage outfalls. J. Hydraul. Res. 1988, 26, 131–142. [Google Scholar] [CrossRef]
- Zhu, H.; Li, X.; Chen, Y. Bearing capacity analysis of flap gate under impact load. IOP Conf. Ser. Earth Environ. Sci. 2021, 669, 012026. [Google Scholar] [CrossRef]
- Zhu, H.; Feng, H. Experimental study on flap gate head loss coefficient. Drain. Irrig. Mach. 1994, 3, 49–51. [Google Scholar]
- Xi, W.; Lu, W.; Wang, C.; Fu, G. Numerical and Experimental Study on the Opening Angle of the Double-Stage Flap Valves in Pumping Stations. Front. Energy Res. 2022, 10, 866044. [Google Scholar] [CrossRef]
- Yang, F.; Zhou, J.; Liu, C. Numerical Simulation and Experiment on Resistance Loss of Flap Gate. Trans. Chin. Soc. Agric. Mach. 2011, 42, 108–112+44. [Google Scholar]
- Xie, R.; Xiang, C.; Chen, Y.; Fang, H.; Wang, L. Analysis of flow capability of gate with small flap valve base on CFD. Water Resour. Power 2018, 36, 156–158. [Google Scholar]
- Gou, D.; Guo, P.; Luo, X.; Zhang, L.; Guo, Y. 3-D combined simulation of power-off runaway transient process of pumped storage power station under pump condition. Chin. J. Hydrodyn. A 2018, 33, 28–39. [Google Scholar]
- Chen, S.; Yan, D.; Jiang, L.; Lu, W.; Wang, L. Numerical Calculation of Hydraulic Transients for a Low-head Pump Station during Its Suspending Period. Trans. Chin. Soc. Agric. Mach. 2004, 3, 58–60+71. [Google Scholar]
- Lu, W.; Guo, X.; Zhou, X.; Yan, D. Theoretical Study on Stop Gate Breaking Flow in Large Pumping Station. Trans. Chin. Soc. Agric. Mach. 2005, 4, 56–59. [Google Scholar]
- Zhang, X.; Tang, F.; Liu, C.; Shi, L.; Liu, H.; Sun, Z.; Hu, W. Numerical Simulation of Transient Characteristics of Start-Up Transition Process of Large Vertical Siphon Axial Flow Pump Station. Front. Energy Res. 2021, 9, 706975. [Google Scholar] [CrossRef]
- Hu, X. Research on Hydraulic Transition Process in Pump Station System Based on Flowmaster. Master’s Thesis, Xihua University, Chengdu, China, 2012. [Google Scholar]
- Geng, T. Numerical Simulation of Hydraulic Transient Process of Francis Turbine Generator Based on Flowmaster. Master’s Thesis, Xihua University, Chengdu, China, 2020. [Google Scholar]
- Thanapandi, P.; Prasad, R. Centrifugal pump transient characteristics and analysis using the method of characteristics. Int. J. Mech. Sci. 1995, 37, 77–89. [Google Scholar] [CrossRef]
- Wang, F.; Bai, M.; Xiao, R. Application of Flowmaster in the analysis of pump station transition process. J. Drain. Irrig. Mech. Eng. 2010, 28, 144–148. [Google Scholar]
- Song, X.; Liu, C. Experimental study of the floor-attached vortices in pump sump using V3V. Renew. Energy 2021, 164, 0960–1481. [Google Scholar] [CrossRef]
- Song, X.; Liu, C.; Wang, Z. Prediction on the pressure pulsation induced by the free surface vortex based on experimental investigation and Biot-Savart Law. Ocean Eng. 2022, 250, 0029–8018. [Google Scholar] [CrossRef]
- Yang, F.; Li, Z.; Fu, J.; Lv, Y.; Ji, Q.; Jian, H. Numerical and experimental analysis of transient flow field and pressure pulsations of an axial-flow pump considering the pump-pipeline interaction. J. Mar. Sci. Eng. 2022, 10, 258. [Google Scholar] [CrossRef]
- Zhang, X.; Tang, F. Investigation on hydrodynamic characteristics of coastal axial flow pump system model under full working condition of forward rotation based on experiment and CFD method. Ocean Eng. 2022, 253, 0029–8018. [Google Scholar] [CrossRef]
- Kan, K.; Chen, H.; Zheng, Y.; Zhou, D.; Binama, M.; Dai, J. Transient characteristics during power-off process in a shaft extension tubular pump by using a suitable numerical model. Renew. Energy 2021, 164, 109–121. [Google Scholar] [CrossRef]
Disclaimer/Publisher’s Note: The statements, opinions and data contained in all publications are solely those of the individual author(s) and contributor(s) and not of MDPI and/or the editor(s). MDPI and/or the editor(s) disclaim responsibility for any injury to people or property resulting from any ideas, methods, instructions or products referred to in the content. |
© 2023 by the authors. Licensee MDPI, Basel, Switzerland. This article is an open access article distributed under the terms and conditions of the Creative Commons Attribution (CC BY) license (https://creativecommons.org/licenses/by/4.0/).