The Impact of Anthropogenic Pollution on Tidal Water Quality in Mangrove Wetlands
Abstract
:1. Introduction
2. Materials and Methods
2.1. Study Site
2.2. Sample Collection and Preparation
2.3. In-Situ Water Quality Measurements
2.4. Analysis of Nutrients in the Water Samples
2.5. Statistical Analyses
3. Results and Discussions
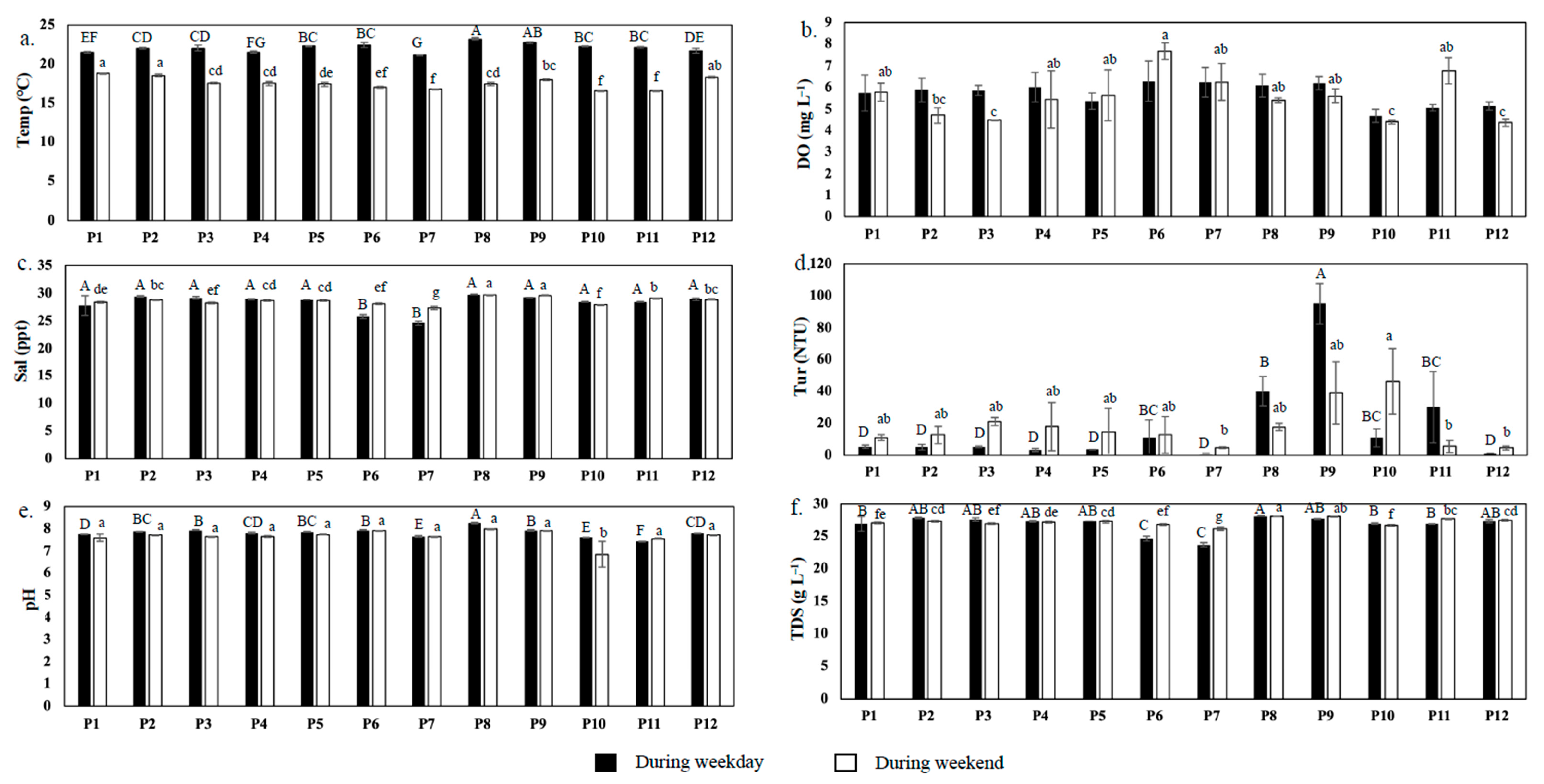
3.1. Variations in the Physical Parameters of Tai O’s Tidal Waters during a Weekday and Weekend
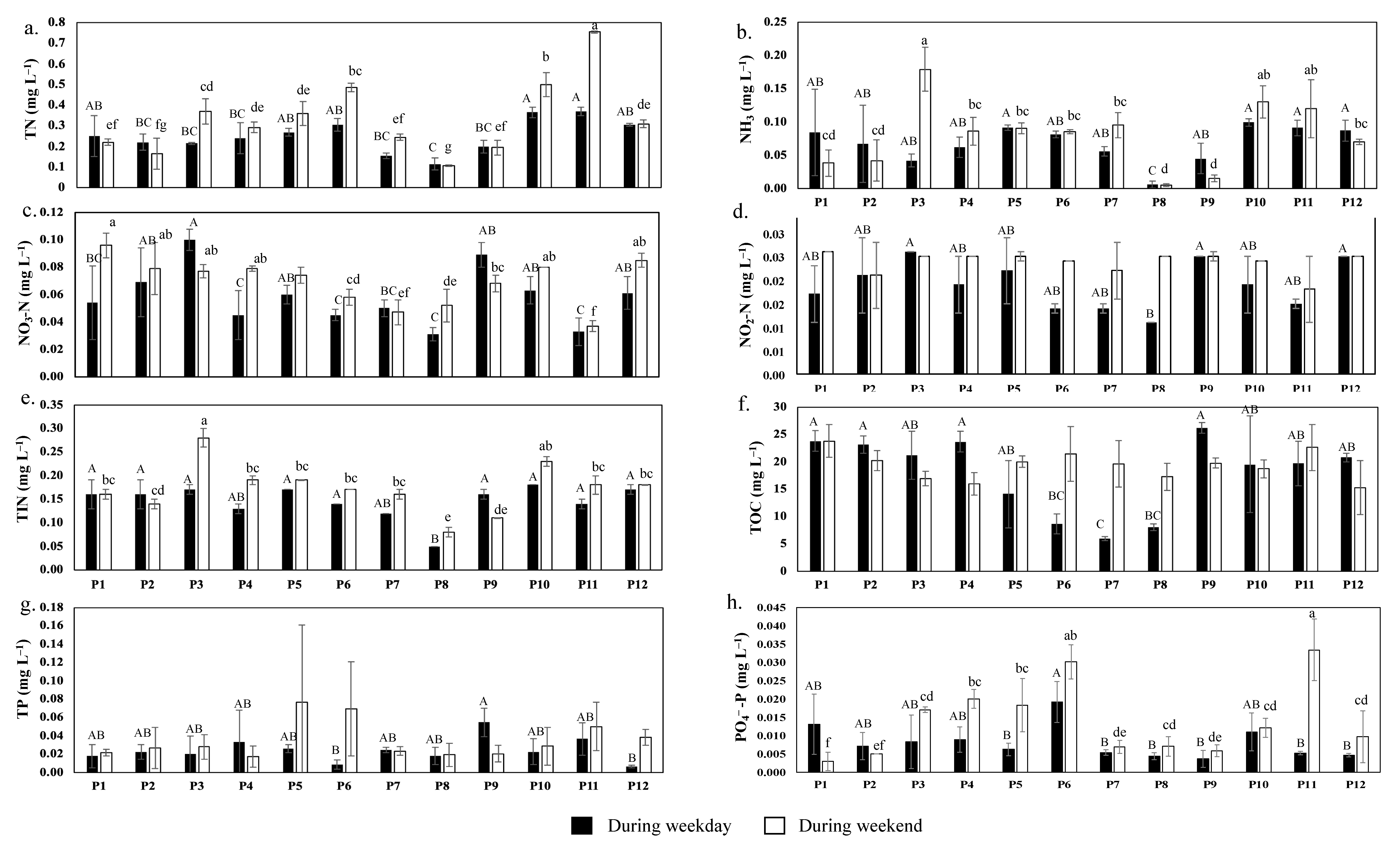
3.2. Variations in the Nutrient Concentrations of Tidal Waters during a Weekday and Weekend
3.3. Spatial Variation of Water Quality among the Different Sampling Points
3.4. The Relationship between Stilt House Density and Water Pollution in Tai O
4. Conclusions
Author Contributions
Funding
Institutional Review Board Statement
Informed Consent Statement
Data Availability Statement
Acknowledgments
Conflicts of Interest
References
- Sievers, M.; Brown, C.J.; McGowan, J.; Turschwell, M.P.; Buelow, C.A.; Holgate, B.; Pearson, R.M.; Adame, M.F.; Andradi-Brown, D.A.; Arnell, A.; et al. Co-occurrence of biodiversity, carbon storage, coastal protection, and fish and invertebrate production to inform global mangrove conservation planning. Sci. Total Environ. 2023, 904, 166357. [Google Scholar] [CrossRef] [PubMed]
- Shiwdas, A.; Lakenarine, R.; Seecharran, D. Abundance and Behavior of Migratory Birds in a Mangrove and Salt Marsh Ecosystem in Guyana, South America. Proc. Zool. Soc. 2023, 76, 157–164. [Google Scholar] [CrossRef]
- Sandilyan, S.; Kathiresan, K. Mangrove conservation: A global perspective. Biodivers. Conserv. 2012, 21, 3523–3542. [Google Scholar] [CrossRef]
- Zhang, M.; Dai, P.; Lin, X.; Hetharua, B.; Zhang, Y.; Tian, Y. Nitrogen loss by anaerobic ammonium oxidation in a mangrove wetland of the Zhangjiang Estuary, China. Sci. Total Environ. 2020, 698, 134291. [Google Scholar] [CrossRef] [PubMed]
- Theuerkauff, D.; Rivera-Ingraham, G.A.; Mercky, Y.; Lejeune, M.; Lignot, J.H.; Sucré, E. Effects of domestic effluent discharges on mangrove crab physiology: Integrated energetic, osmoregulatory and redox balances of a key engineer species. Aquat. Toxicol. 2018, 196, 90–103. [Google Scholar] [CrossRef] [PubMed]
- Liu, L.; Tang, Z.; Kong, M.; Chen, X.; Zhou, C.; Huang, K.; Wang, Z. Tracing the potential pollution sources of the coastal water in Hong Kong with statistical models combining APCS-MLR. J. Environ. Manag. 2019, 245, 143–150. [Google Scholar] [CrossRef] [PubMed]
- Van Puijenbroek, P.J.T.M.; Beusen, A.H.W.; Bouwman, A.F. Global nitrogen and phosphorus in urban waste water based on the Shared Socio-economic pathways. J. Environ. Manag. 2019, 231, 446–456. [Google Scholar] [CrossRef] [PubMed]
- Gorde, S.P.; Jadhav, M.V. Assessment of water quality parameters: A review. Int. J. Eng. Res. Appl. 2013, 3, 2029–2035. [Google Scholar]
- Salleh, A.F.M.; AZMAI, M.N.A.; Nasruddin, N.S.; Zulkifli, S.Z.; Yusuff, F.M.; Ibrahim, W.N.W.; Ismail, A. Water pH effects on survival, reproductive performances, and ultrastructure of gonads, gills, and skins of the Javanese medaka (Oryzias javanicus). Turk. J. Vet. Anim. Sci. 2017, 41, 471–481. [Google Scholar] [CrossRef]
- Zhu, M.; Zhu, G.; Zhao, L.; Yao, X.; Zhang, Y.; Gao, G.; Qin, B. Influence of algal bloom degradation on nutrient release at the sediment–water interface in Lake Taihu, China. Environ. Sci. Pollut. Res. 2013, 20, 1803–1811. [Google Scholar] [CrossRef]
- Berdalet, E.; Fleming, L.E.; Gowen, R.; Davidson, K.; Hess, P.; Backer, L.C.; Moore, S.K.; Hoagland, P.; Enevoldsen, H. Marine harmful algal blooms, human health and wellbeing: Challenges and opportunities in the 21st century. J. Mar. Biol. Assoc. UK 2016, 96, 61–91. [Google Scholar] [CrossRef] [PubMed]
- Saiful, N.; Kadir, T.A.Q.R.A. Sustainable On-Stilt Construction Technology for Mangrove Land in Malaysia. MAJ 2022, 4, 43–50. [Google Scholar]
- Dryland, E.; Syed, J. Tai O village: Vernacular fisheries management or revitalization? Int. J. Cult. Stud. 2010, 13, 616–636. [Google Scholar] [CrossRef]
- Elkin, D.K.; Leung, C.Y.; Suntikul, W. Inequality in Development Futures: Tourism Economies and Construction Technology in Tai O, a Village near Hong Kong. In UIA 2020 Rio 27th World Congress of Architects; International Union of Architects: Rio de Janeiro, Brazil, 2021. [Google Scholar]
- The Traffic in Tai O, Mui Wo, Pui O, and Tong Fuk Is Chaotic. Available online: https://www.hkcd.com/content/2017-01/12/content_1032754.html (accessed on 28 June 2023).
- Tai O Lantern Festival Dims Amid Fears of Visitor Crush. Available online: https://www.thestandard.com.hk/section-news/section/4/234359/Tai-O-lantern-festival-dims-amid-fears-of-visitor-crush (accessed on 28 June 2023).
- In Malaysis’s Floating Villages, Sanitation Arrives in Portable Form. Available online: https://www.unep.org/news-and-stories/story/malaysias-floating-villages-sanitation-arrives-portable-form (accessed on 2 December 2023).
- Kwan, C.; Tam, H.C. Ageing in place in disaster prone rural coastal communities: A case study of Tai O Village in Hong Kong. Sustainability 2021, 13, 4618. [Google Scholar] [CrossRef]
- Yang, Y.; Wang, Z.M.; Liu, C.; Guo, X.C. Enhanced P, N and C removal from domestic wastewater using constructed wetland employing construction solid waste (CSW) as main substrate. Water Sci. Technol. 2012, 66, 1022–1028. [Google Scholar] [CrossRef]
- Wilson, S. Tai O Sheltered Boat Anchorage—Environmental Impact Assessment (Final Assessment Report); Civil Engineering Department of Hong Kong Special Administrative Region: Hong Kong, China, 2000. [Google Scholar]
- Outlying Islands Sewerage Stage 2, Upgrading of Cheung Chau and Tai O Sewage Collection, Treatment and Disposal Facility-Environmental Impact Assessment Report. Available online: https://www.epd.gov.hk/eia/register/report/eiareport/eia_2192013/ES%20pdf/ES.pdf (accessed on 28 June 2023).
- Facey, J.A.; Rogers, T.A.; Apte, S.C.; Mitrovic, S.M. Micronutrients as growth limiting factors in cyanobacterial blooms; a survey of freshwaters in South East Australia. Aquat. Sci. 2021, 83, 28. [Google Scholar] [CrossRef]
- GB 3097-97; The Pepole’s Republic of China National Standard GB 3097-97 Sea Water Quality Standard. Ministry of Ecology and Environmental of the People’s Republic of China: Beijing, China, 1997.
- Mahaffey, C.; Palmer, M.; Greenwood, N.; Sharples, J. Impacts of climate change on dissolved oxygen concentration relevant to the coastal and marine environment around the UK. MCCIP Sci. Rev. 2020, 2002, 31–53. [Google Scholar]
- Miller, D.; Poucher, S.; Coiro, L. Determination of lethal dissolved oxygen levels for selected marine and estuarine fishes, crustaceans, and a bivalve. Mar. Biol. 2002, 140, 287–296. [Google Scholar]
- Dodds, W.K. Nutrients and the “dead zone”: The link between nutrient ratios and dissolved oxygen in the northern Gulf of Mexico. Front. Ecol. Environ. 2006, 4, 211–217. [Google Scholar] [CrossRef]
- Badamasi, H.; Yaro, M.N.; Ibrahim, A.; Bashir, I.A. Impacts of Phosphates on Water Quality and Aquatic Life. Chem. Res. J. 2019, 4, 124–133. [Google Scholar]
- Bhateria, R.; Jain, D. Water quality assessment of lake water: A review. Sustain. Water Resour. Manag. 2016, 2, 161–173. [Google Scholar] [CrossRef]
- Summary of Water Quality Objectoves (WQOs) for Marine Waters of Hong Kong. Available online: https://www.epd.gov.hk/epd/sites/default/files/epd/english/environmentinhk/water/hkwqrc/files/waterquality/A11.pdf (accessed on 4 December 2023).
- Šraj, L.O.C.; Almeida, M.I.G.; McKelvie, I.D.; Kolev, S.D. Determination of trace levels of ammonia in marine waters using a simple environmentally-friendly ammonia (SEA) analyser. Mar. Chem. 2017, 194, 133–145. [Google Scholar] [CrossRef]
- Soler, P.; Faria, M.; Barata, C.; García-Galea, E.; Lorente, B.; Vinyoles, D. Improving water quality does not guarantee fish health: Effects of ammonia pollution on the behaviour of wild-caught pre-exposed fish. PLoS ONE 2021, 16, e0243404. [Google Scholar] [CrossRef] [PubMed]
- Wicks, B.J.; Joensen, R.; Tang, Q.; Randall, D.J. Swimming and ammonia toxicity in salmonids: The effect of sub lethal ammonia exposure on the swimming performance of coho salmon and the acute toxicity of ammonia in swimming and resting rainbow trout. Aquat. Toxicol. 2002, 59, 55–69. [Google Scholar] [CrossRef] [PubMed]
- Kwan, B.K.; Un, V.K.; Cheung, S.G.; Shin, P.K. Horseshoe crabs as potential sentinel species for coastal health: Juvenile haemolymph quality and relationship to habitat conditions. Mar. Freshw. Res. 2018, 69, 894–905. [Google Scholar] [CrossRef]
- Chen, M.; Chang, L.; Zhang, J.; Guo, F.; Vymazal, J.; He, Q.; Chen, Y. Global nitrogen input on wetland ecosystem: The driving mechanism of soil labile carbon and nitrogen on greenhouse gas emissions. Environ. Sci. Ecotechnol. 2020, 4, 100063. [Google Scholar] [CrossRef] [PubMed]
- Moseman-Valtierra, S.; Gonzalez, R.; Kroeger, K.D.; Tang, J.; Chao, W.C.; Crusius, J.; Bratton, J.; Green, A.; Shelton, J. Short-term nitrogen additions can shift a coastal wetland from a sink to a source of N2O. Atmos. Environ. 2011, 45, 4390–4397. [Google Scholar] [CrossRef]
- Qu, W.; Han, G.; Eller, F.; Xie, B.; Wang, J.; Wu, H.; Li, J.; Zhao, M. Nitrogen input in different chemical forms and levels stimulates soil organic carbon decomposition in a coastal wetland. Catena 2020, 194, 104672. [Google Scholar] [CrossRef]
- Seitzinger, S.P.; Mayorga, E.; Bouwman, A.F.; Kroeze, C.; Beusen, A.H.; Billen, G.; Van-Drecht, G.; Dumont, E.; Fekete, E.; Harrison, J.A. Global river nutrient export: A scenario analysis of past and future trends. Glob. Biogeochem. Cycles 2010, 24, 1–16. [Google Scholar] [CrossRef]
- Naden, P.; Bell, V.; Carnell, E.; Tomlinson, S.; Dragosits, U.; Chaplow, J.; May, L.; Tipping, E. Nutrient fluxes from domestic wastewater: A national-scale historical perspective for the UK 1800–2010. Sci. Total Environ. 2016, 572, 1471–1484. [Google Scholar] [CrossRef]
- Aiyuk, S.; Amoako, J.; Raskin, L.; Van Haandel, A.; Verstraete, W. Removal of carbon and nutrients from domestic wastewater using a low investment, integrated treatment concept. Water Res. 2004, 38, 3031–3042. [Google Scholar] [CrossRef] [PubMed]
- Yu, B.; Lyu, K.; Li, J.; Yang, Z.; Sun, Y. Combined toxic effects of nitrite and ammonia on life history traits of Daphnia pulex. Front. Environ. Sci. 2022, 10, 1019483. [Google Scholar] [CrossRef]
- Romano, N.; Zeng, C. Toxic effects of ammonia, nitrite, and nitrate to decapod crustaceans: A review on factors influencing their toxicity, physiological consequences, and coping mechanisms. Rev. Fish. Sci 2013, 21, 1–21. [Google Scholar] [CrossRef]
- Hashemi, H.; Gharehchahi, E.; Golaki, M.; Mohammadpour, A.; Moeini, Z. The interaction effects between COVID-19 pandemic and human ecological footprint: A narrative review. J. Health Sci. Surveill. Syst. 2023, 11 (Suppl. 1), 126–139. [Google Scholar]
- Zhou, Q.; Sun, H.; Jia, L.; Wu, W.; Wang, J. Simultaneous biological removal of nitrogen and phosphorus from secondary effluent of wastewater treatment plants by advanced treatment: A review. Chemosphere 2022, 296, 134054. [Google Scholar] [CrossRef]
- Liu, Y.; Zhang, X.; Wang, J. A critical review of various adsorbents for selective removal of nitrate from water: Structure, performance and mechanism. Chemosphere 2022, 291, 132728. [Google Scholar] [CrossRef]
- Tam, N.F.; Wong, Y.S. Retention of nutrients and heavy metals in mangrove sediment receiving wastewater of different strengths. Environ. Technol. 1993, 14, 719–729. [Google Scholar] [CrossRef]




| Groups | Mean | SD | p-Value | WQO | CSWQS (Class 1) | CSWQS (Class 2) | CSWQS (Class 3) | CSWQS (Class 4) | ||
|---|---|---|---|---|---|---|---|---|---|---|
| Temp °C | before | 22.10 | 0.59 | <0.001 | - | |||||
| after | 17.56 | 0.74 | ||||||||
| Sal (ppt) | before | 28.30 | 1.59 | 0.263 | - | |||||
| after | 28.62 | 0.66 | ||||||||
| DO (mg L−1) | before | 5.71 | 0.75 | <0.01 | >4 | 6 | 5 | 4 | 3 | |
| after | 5.54 | 1.17 | ||||||||
| TDS (g L−1) | before | 26.84 | 1.32 | 0.127 | - | ≤10 | ≤100 | ≤150 | ||
| after | 27.21 | 0.56 | ||||||||
| Tur (NTU) | before | 17.42 | 27.99 | 0.959 | - | |||||
| after | 17.14 | 17.02 | ||||||||
| pH | before | 7.82 | 0.20 | 0.015 | 6.5–8.5 | 7.8–8.5 | 6.8–8.8 | |||
| after | 7.66 | 0.31 | ||||||||
| TN (mg L−1) | before | 0.25 | 0.08 | 0.013 | - | |||||
| after | 0.33 | 0.18 | ||||||||
| NH4-N (mg L−1) | before | 0.07 | 0.03 | 0.076 | 0.021 | 0.020 | ||||
| after | 0.08 | 0.05 | ||||||||
| NO3-N (mg L−1) | before | 0.06 | 0.02 | 0.027 | - | |||||
| after | 0.07 | 0.02 | ||||||||
| NO2-N (mg L−1) | before | 0.019 | 0.006 | <0.001 | - | |||||
| after | 0.024 | 0.004 | ||||||||
| TIN (mg L−1) | before | 0.15 | 0.04 | 0.02 | 0.30 | 0.20 | 0.30 | 0.40 | 0.50 | |
| after | 0.17 | 0.05 | ||||||||
| TP (mg L−1) | before | 0.02 | 0.02 | 0.087 | - | |||||
| after | 0.03 | 0.03 | ||||||||
| PO4-P (mg L−1) | before | 0.008 | 0.006 | <0.01 | - | 0.015 | 0.030 | 0.045 | ||
| after | 0.014 | 0.010 | ||||||||
| TOC (gm L−1) | before | 17.88 | 7.75 | 0.334 | - | |||||
| after | 19.29 | 4.03 | ||||||||
Disclaimer/Publisher’s Note: The statements, opinions and data contained in all publications are solely those of the individual author(s) and contributor(s) and not of MDPI and/or the editor(s). MDPI and/or the editor(s) disclaim responsibility for any injury to people or property resulting from any ideas, methods, instructions or products referred to in the content. |
© 2023 by the authors. Licensee MDPI, Basel, Switzerland. This article is an open access article distributed under the terms and conditions of the Creative Commons Attribution (CC BY) license (https://creativecommons.org/licenses/by/4.0/).
Share and Cite
Lam, K.-L.; Lam, Y.-H.; Ng, A.Y.-S.; So, K.K.-Y.; Tam, N.F.-Y.; Lee, F.W.-F.; Mo, W.-Y. The Impact of Anthropogenic Pollution on Tidal Water Quality in Mangrove Wetlands. J. Mar. Sci. Eng. 2023, 11, 2374. https://doi.org/10.3390/jmse11122374
Lam K-L, Lam Y-H, Ng AY-S, So KK-Y, Tam NF-Y, Lee FW-F, Mo W-Y. The Impact of Anthropogenic Pollution on Tidal Water Quality in Mangrove Wetlands. Journal of Marine Science and Engineering. 2023; 11(12):2374. https://doi.org/10.3390/jmse11122374
Chicago/Turabian StyleLam, Kit-Ling, Yu-Hin Lam, Angie Ying-Sim Ng, Ken Kwok-Yin So, Nora Fung-Yee Tam, Fred Wang-Fat Lee, and Wing-Yin Mo. 2023. "The Impact of Anthropogenic Pollution on Tidal Water Quality in Mangrove Wetlands" Journal of Marine Science and Engineering 11, no. 12: 2374. https://doi.org/10.3390/jmse11122374
APA StyleLam, K.-L., Lam, Y.-H., Ng, A. Y.-S., So, K. K.-Y., Tam, N. F.-Y., Lee, F. W.-F., & Mo, W.-Y. (2023). The Impact of Anthropogenic Pollution on Tidal Water Quality in Mangrove Wetlands. Journal of Marine Science and Engineering, 11(12), 2374. https://doi.org/10.3390/jmse11122374

