Design and Optimization of a New Type of Magnetic Suspension Vibration Absorber for Marine Engineering
Abstract
:1. Introductions
2. Materials and Methods
2.1. Topology and Working Principle
2.1.1. Magnetic Suspension Structure
2.1.2. Mathematical Method
2.2. Simulation Study of Magnetic Suspension Structure
2.2.1. Numerical Verification
2.2.2. Material Research
2.2.3. Research on Control Current
3. Magnetic Suspension Structure Design and Optimization
3.1. Armature Optimization
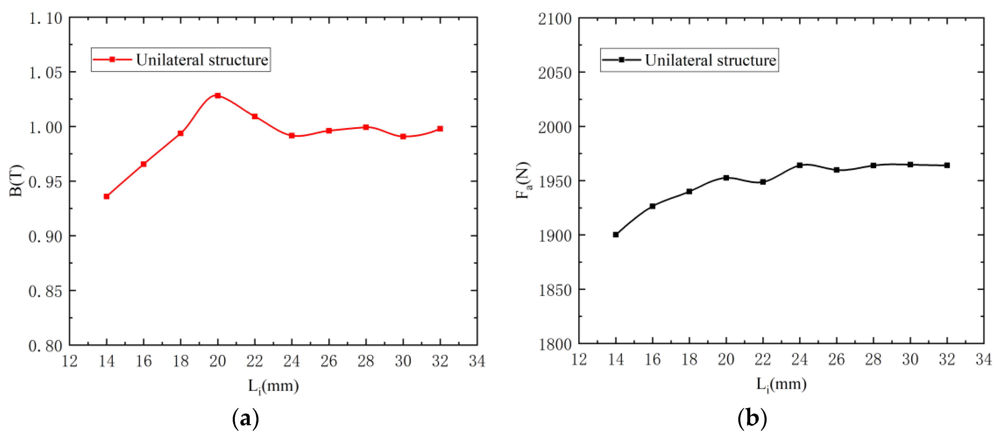
3.2. Inner Diameter of Inner Reinforcing Ring
3.3. Width of Inner Reinforcing Ring
3.4. Width of Outer Reinforcing Ring
4. Results and Discussion
4.1. New Armature Structure Magnetic Flux Density
4.2. New Armature Structure Electromagnetic Force
4.3. Performance Improvement
4.4. Electromagnetic Characteristics
5. Conclusions
- (1)
- DT4 demonstrated outstanding electromagnetic performance when used as the armature and electromagnet material, compared to gray cast iron, silicon core iron, and molybdenum permalloy, respectively. The armature is subjected to the most electromagnetic force (68.2 N–871.7 N more than the other three materials) when the electromagnet and armature material are DT4 under the same control current;
- (2)
- The electromagnetic performance of the new unilateral magnetically suspension structure is best when the inner reinforcing ring has an inner diameter of 10 mm, the inner reinforcing ring is 24 mm wide, and the outer reinforcing ring is 12 mm wide. At this point, the electromagnetic force output is also increased by 20.19% (by 331.6 N);
- (3)
- Suspension force and magnetic flux densities are more positively correlated with the control current in the new symmetric magnetic suspension structure at control currents of 7 A (6 A), where the maximum output suspension force is 461.4 N and the maximum magnetic flux density is 1.6642 T. This represents a 19.14% (by 74.12 N) increase in suspension force over the original version of the magnetic suspension structure;
- (4)
- The response interval of the suspension force is significantly stretched by the novel symmetric magnetic suspension structure, and the corresponding interval of system stiffness is also greatly increased. The magnetic suspension damper’s ability to adapt to more complex vibration-damping situations can be achieved by altering the control current, which also improves the magnetic suspension damper’s vibration-damping performance. This study can serve as a guide for improving and modernizing the magnetic suspension damper, and it also offers suggestions for reducing vibration and noise in engineering.
Author Contributions
Funding
Institutional Review Board Statement
Informed Consent Statement
Data Availability Statement
Conflicts of Interest
References
- Kim, W.J.; Trumper, D.L. High-precision magnetic levitation stage for photolithography. Precis. Eng.-J. Am. Soc. Precis. Eng. 1998, 22, 66–77. [Google Scholar] [CrossRef]
- Wang, X.G.; Liu, Q.; Zhang, Y.J.; Chen, H.H. Research on Characteristic of Electromagnetic Force of Magnetic Suspension Device with Large Air-Gap. Appl. Mech. Mater. 2013, 401, 239–244. [Google Scholar] [CrossRef]
- Sun, F.; Oka, K.; Jin, J. A zero suspension force improvement method of a permanent magnetic suspension device. Int. J. Appl. Electromagn. Mech. 2013, 41, 1–12. [Google Scholar] [CrossRef]
- Hassan, I.; Mohamed, A.M.; Saleh, A.I. Variable structure control of a magnetic suspension system. In Proceedings of the 2001 IEEE International Conference on Control Applications (CCA’01), Mexico City, Mexico, 7 September 2001; pp. 333–338. [Google Scholar]
- Ding, J.; Yang, X.; Long, Z.; Dang, N. Three-Dimensional Numerical Analysis and Optimization of Electromagnetic Suspension System for 200 km/h Maglev Train Considering Eddy Current Effect. IEEE Access 2018, 6, 61547–61555. [Google Scholar] [CrossRef]
- Arsénio, A.J.; Carvalho, M.V.; Cardeira, C.; Branco, P.C.; Melício, R. Viability of a Frictionless Bearing with Permanent Magnets and HTS Bulks. In Proceedings of the 2016 IEEE International Power Electronics and Motion Control Conference (PEMC), Varna, Bulgaria, 25–28 September 2016; pp. 1231–1236. [Google Scholar]
- Liu, C.; Rong, G.; Zhang, Y. Cross-coupled Synchronizing Control of Dual Suspension Systems of Gantry CNC Machine. In Proceedings of the 2013 25th Chinese Control and Decision Conference (CCDC), Guiyang, China, 25–27 May 2013; pp. 3095–3098. [Google Scholar]
- Na, U.J. Design and Analysis of a New Permanent Magnet Biased Integrated Radial-Axial Magnetic Bearing. Int. J. Precis. Eng. Manuf. 2012, 13, 133–136. [Google Scholar] [CrossRef]
- Zhang, Y.; Gao, S.; Liu, S.; Li, H.; Xue, B. The oretical and experimental research on axial and radial magnetic force of axial magnetic bearing. Electr. Mach. Control 2016, 20, 55–63. [Google Scholar]
- Yang, F.; Zhao, Y.; Li, H.; Mu, X.; Zhang, W.; Yue, H.; Liu, R. Design and Analysis of a 2-DOF Electromagnetic Actuator with an Improved Halbach Array for the Magnetic Suspension Platform. Sensors 2022, 22, 790. [Google Scholar] [CrossRef]
- Li, Y.; He, L.; Shuai, C.-G.; Wang, C.-Y. Improved hybrid isolator with maglev actuator integrated in air spring for active-passive isolation of ship machinery vibration. J. Sound Vib. 2017, 407, 226–239. [Google Scholar] [CrossRef]
- Leng, D.; Yang, Y.; Xu, K.; Li, Y.; Liu, G.; Tian, X.; Xie, Y. Vibration control of offshore wind turbine under multiple hazards using single variable-stiffness tuned mass damper. Ocean Eng. 2021, 236, 109473. [Google Scholar] [CrossRef]
- Berbyuk, V. Design Optimization of Torsional Vibration Absorbers for Heavy-Duty Truck Drivetrain Systems. Vibration 2019, 2, 240–264. [Google Scholar] [CrossRef]
- Sirimontree, S.; Thongchom, C.; Jearsiripongkul, T.; Saffari, P.R.; Keawsawasvong, S.; Kongwat, S. Free and Forced Vibration of Sandwich FGM Porous Variable Thickness Nanoplates Integrated with Magneto-Electro-Elastic Layers Via Nonlocal Strain Gradient Theory. Eng. Sci. 2023, 4, 918. [Google Scholar] [CrossRef]
- Ren, X.; Sun, J.; Peng, C.; Qiao, H. Analysis and design method of a combined radial–axial magnetic bearing based on asymmetric factor. IET Electr. Power Appl. 2019, 13, 686–693. [Google Scholar] [CrossRef]
- Gang, Z.; Jian, Z.; Yu-Zhuo, S.; Hai-Long, Z.; Qing-Tao, M. Study on Bearing Capacity Characteristics of an Axial Permanent Magnetic Bearing. J. Appl. Sci. 2013, 13, 3028–3034. [Google Scholar] [CrossRef]
- Zhang, Y.; Wang, H.; Gao, S.; Liu, S. The effect of permanent magnet position on axial and radial load capability in axial hybrid magnetic bearing. Int. J. Appl. Electromagn. Mech. 2021, 65, 623–641. [Google Scholar] [CrossRef]
- Cao, S.; Niu, P.; Wang, W.; Zhao, T.; Liu, Q.; Bai, J.; Sheng, S. Novel Magnetic Suspension Platform with Three Types of Magnetic Bearings for Mass Transfer. Energies 2022, 15, 5691. [Google Scholar] [CrossRef]
- Lu, J.; Du, B.; Xu, X.; Feng, H.; Gao, Y.; Sun, Z. Topology Structure and Characteristics Analysis of a Novel Detent-force-based Magnetic Suspension Platform. In Proceedings of the 2019 22nd International Conference on Electrical Machines and Systems (ICEMS), Harbin, China, 11–14 August 2019; pp. 4900–4904. [Google Scholar]
- Xu, X.; Qin, X.; Wang, X. Characteristics Analysis of a Novel Detent-force-based Magnetic Suspension System. Adv. Mater. Res. 2012, 383, 2644–2648. [Google Scholar] [CrossRef]
- Higuchi, T.; Oka, K. Reluctance control magnetic suspension system—Suspension system with permanent magnet and linear actuator. Electr. Eng. Jpn. 1994, 114, 115–123. [Google Scholar] [CrossRef]
- Yang, F.; Zhao, Y.; Mu, X.; Zhang, W.; Jiang, L.; Yue, H.; Liu, R. A Novel 2-DOF Lorentz Force Actuator for the Modular Magnetic Suspension Platform. Sensors 2020, 20, 4365. [Google Scholar] [CrossRef]
- Weitao, H.; Jinji, S.; Xiankai, L.; Haixia, G.; Jinsha, W. A novel hybrid suspension electromagnet for middle-low speed maglev train. J. Magn. 2017, 22, 463–471. [Google Scholar] [CrossRef]
- Sun, F.; Oka, K.; Jin, J. Improvement of Zero Suspension Force Performance Using a Special Magnet for a Magnetic Suspension Device. Adv. Eng. Forum 2012, 2–3, 1099–1104. [Google Scholar] [CrossRef]
- Taguchi, D.; Sakaguchi, R.; Sugiura, T. Vibration Reduction of a High-Tc Superconducting Magnetic Levitation System with an Autoparametric Vibration Absorber. IEEE Trans. Appl. Supercond. 2011, 21, 1538–1542. [Google Scholar] [CrossRef]
- Zhang, J.; Shu, S.; Song, C.; Zhou, J.; Hu, Y. The relationship between stiffness variation and performance of electromagnetic-air spring vibration isolator. Adv. Mech. Eng. 2016, 8, 1–9. [Google Scholar] [CrossRef]
- Kim, W.J.; Bhat, N.; Hu, T. Integrated multidimensional positioner for precision manufacturing. Proc. Inst. Mech. Eng. Part B J. Eng. Manuf. 2004, 218, 431–442. [Google Scholar] [CrossRef]
- Jin, C.; Dong, Y.; Guan, X.; Zhou, J.; Wang, F. Design and vibration suppression performance of magnetic suspension dynamic vibration absorber. J. Vib. Control 2021, 27, 2420–2431. [Google Scholar] [CrossRef]





















Disclaimer/Publisher’s Note: The statements, opinions and data contained in all publications are solely those of the individual author(s) and contributor(s) and not of MDPI and/or the editor(s). MDPI and/or the editor(s) disclaim responsibility for any injury to people or property resulting from any ideas, methods, instructions or products referred to in the content. |
© 2023 by the authors. Licensee MDPI, Basel, Switzerland. This article is an open access article distributed under the terms and conditions of the Creative Commons Attribution (CC BY) license (https://creativecommons.org/licenses/by/4.0/).
Share and Cite
Dai, C.; Liu, Z.; Wang, Y.; Lin, X.; Liu, H.; Zhou, B. Design and Optimization of a New Type of Magnetic Suspension Vibration Absorber for Marine Engineering. J. Mar. Sci. Eng. 2023, 11, 2070. https://doi.org/10.3390/jmse11112070
Dai C, Liu Z, Wang Y, Lin X, Liu H, Zhou B. Design and Optimization of a New Type of Magnetic Suspension Vibration Absorber for Marine Engineering. Journal of Marine Science and Engineering. 2023; 11(11):2070. https://doi.org/10.3390/jmse11112070
Chicago/Turabian StyleDai, Changming, Zhengyuan Liu, Yu Wang, Xiang Lin, Hui Liu, and Bo Zhou. 2023. "Design and Optimization of a New Type of Magnetic Suspension Vibration Absorber for Marine Engineering" Journal of Marine Science and Engineering 11, no. 11: 2070. https://doi.org/10.3390/jmse11112070
APA StyleDai, C., Liu, Z., Wang, Y., Lin, X., Liu, H., & Zhou, B. (2023). Design and Optimization of a New Type of Magnetic Suspension Vibration Absorber for Marine Engineering. Journal of Marine Science and Engineering, 11(11), 2070. https://doi.org/10.3390/jmse11112070

