Depth Spatial Characterization of Marine Environmental Noise in the Zengmu Basin
Abstract
:1. Introduction
2. Materials and Methods
2.1. Study Area and Measurement Method
2.2. Research Methods
2.3. Research Data
3. Results and Discussion
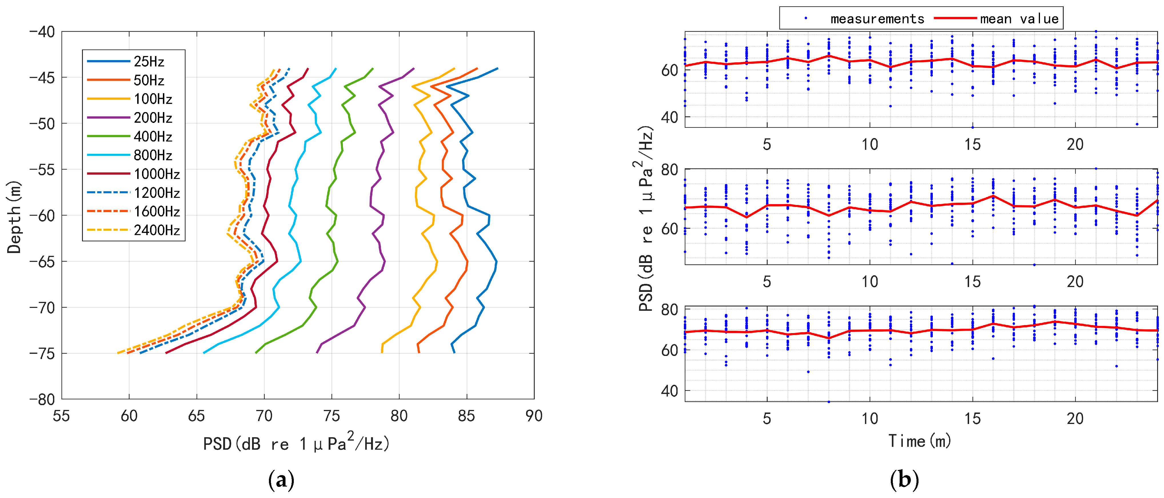
3.1. Depth Spatial Spectrum Characteristics of Ambient Noise
3.2. Spatial Correlation of Ambient Noise
3.3. Vertical Directionality of Ambient Noise
3.4. Characteristics of Noise Probability Distribution
4. Conclusions
Author Contributions
Funding
Institutional Review Board Statement
Informed Consent Statement
Data Availability Statement
Acknowledgments
Conflicts of Interest
References
- Urick, R.J. Ambient Noise in the Sea; Department of the Navy: Washington, DC, USA, 1984. [Google Scholar]
- Knudsen, V.O.; Alford, R.S.; Emling, J.W. Under water ambien noise. Mar. Res. 1948, 7, 410–429. [Google Scholar]
- Wenz, G.M. Acoustic ambient noise in the ocean: Spectra and sources. J. Acoust. Soc. Am. 1962, 34, 1936–1956. [Google Scholar] [CrossRef]
- Duarte, C.M.; Chapuis, L.; Collin, S.P.; Costa, D.P.; Devassy, R.P.; Eguiluz, V.M.; Erbe, C.; Gordon, T.A.C.; Halpern, B.S.; Harding, H.R.; et al. The soundscape of the Anthropocene ocean. Science 2021, 371, eaba4658. [Google Scholar] [CrossRef] [PubMed]
- Guo, X.; Li, F.; Tie, G.; Ma, L. Overview of ocean ambient noise and application prospects. Physics 2014, 43, 723–731. [Google Scholar]
- Piggott, C.L. Ambient Sea Noise at Low Frequencies in Shallow Water of the Scotian Shelf. J. Acoust. Soc. Am. 1964, 36, 2152–2163. [Google Scholar] [CrossRef]
- Širović, A.; Wiggins, S.M.; Oleson, E.M. Ocean noise in the tropical and subtropical Pacific Ocean. J. Acoust. Soc. Am. 2013, 134, 2681–2689. [Google Scholar] [CrossRef] [PubMed]
- Gehrmann, R.A.S.; Barclay, D.R.; Johnson, H.; Shajahan, N.; Nolet, V.; Davies, K.T.A. Ambient noise levels with depth from an underwater glider survey across shipping lanes in the Gulf of St. Lawrence, Canada. J. Acoust. Soc. Am. 2023, 154, 1735–1745. [Google Scholar] [CrossRef]
- Mo, X.; Wen, H.; Yang, Y.; Zhou, H.; Ruan, H. Statistical characteristics of under-ice noise on the Arctic Chukchi Plateau. J. Acoust. Soc. Am. 2023, 154, 2489–2498. [Google Scholar] [CrossRef]
- Schwock, F.; Abadi, S. Statistical analysis and modeling of underwater wind noise at the northeast pacific continental margin. J. Acoust. Soc. Am. 2021, 150, 4166–4177. [Google Scholar] [CrossRef]
- Possenti, L.; Reichart, G.-J.; de Nooijer, L.; Lam, F.-P.; de Jong, C.; Colin, M.; Binnerts, B.; Boot, A.; von der Heydt, A. Predicting the contribution of climate change on North Atlantic underwater sound propagation. PeerJ 2023, 11, e16208. [Google Scholar] [CrossRef]
- Ma, B.B.; Nystuen, J.A.; Lien, R.-C. Prediction of underwater sound levels from rain and wind. J. Acoust. Soc. Am. 2005, 117, 3555–3565. [Google Scholar] [CrossRef] [PubMed]
- Walker, S.C. A model for the spatial coherence of arbitrarily directive noise in the depth-stratified ocean. J. Acoust. Soc. Am. 2012, 131, EL388–EL394. [Google Scholar] [CrossRef] [PubMed]
- Harrison, C.H. Formulas for ambient noise level and coherence. J. Acoust. Soc. Am. 1996, 99, 2055–2066. [Google Scholar] [CrossRef]
- Ogawa, M.; Kimura, S.S. Variations in echolocation click characteristics of finless porpoise in response to day/night and absence/presence of vessel noise. PLoS ONE 2023, 18, e0288513. [Google Scholar] [CrossRef] [PubMed]
- Tran, D.D.; Huang, W.; Bohn, A.C.; Wang, D.; Gong, Z.; Makris, N.C.; Ratilal, P. Using a coherent hydrophone array for observing sperm whale range, classification, and shallow-water dive profiles. J. Acoust. Soc. Am. 2014, 135, 3352–3363. [Google Scholar] [CrossRef] [PubMed]
- Ragland, J.; Schwock, F.; Munson, M.; Abadi, S. An overview of ambient sound using Ocean Observatories Initiative hydrophones. J. Acoust. Soc. Am. 2022, 151, 2085–2100. [Google Scholar] [CrossRef] [PubMed]
- Lani, S.W.; Sabra, K.G.; Hodgkiss, W.S.; Kuperman, W.A.; Roux, P. Coherent processing of shipping noise for ocean monitoring. J. Acoust. Soc. Am. 2013, 133, EL108–EL113. [Google Scholar] [CrossRef]
- Harrison, C.H. Separation of measured noise coherence matrix into Toeplitz and Hankel parts. J. Acoust. Soc. Am. 2017, 141, 2812–2820. [Google Scholar] [CrossRef]
- Harrison, C.H.; Simons, D.G. Geoacoustic inversion of ambient noise: A simple method. J. Acoust. Soc. Am. 2002, 112, 1377–1389. [Google Scholar] [CrossRef]
- Tollefsen, D.; Dosso, S.E. Bayesian geoacoustic inversion of ship noise on a horizontal array. J. Acoust. Soc. Am. 2008, 124, 788–795. [Google Scholar] [CrossRef]
- Shan, Y.; Lin, J.; Yi, X.; Jiang, P.; Sun, J.; Li, N. Vertical distribution and vertical directionality of ocean ambient noise in waters with islands and reefs. Acta Acoust. 2021, 46, 1114–1123. [Google Scholar]
- Kuperman, W.A.; Ferla, M.C. A shallow water experiment to determine the source spectrum level of wind-generated noise. J. Acoust. Soc. Am. 1985, 77, 2067–2073. [Google Scholar] [CrossRef]
- Yang, T.C.; Yoo, K. Modeling the environmental influence on the vertical directionality of ambient noise in shallow water. J. Acoust. Soc. Am. 1997, 101, 2541–2554. [Google Scholar] [CrossRef]
- Lin, J.; Chang, D.; Ma, L.; Li, X.; Jiang, G. Estimation of surface wind speed by ocean ambient noise. Acta Acoutica 2001, 3, 217–221. [Google Scholar]
- Da, L.; Wang, C.; Lu, X.; Han, M.; Deng, X. The characteristic analysis of ambient sea noise spectrum based on submersible buoy. Acta Oceanol. Sin. 2014, 36, 54–60. (In Chinese) [Google Scholar]
- Li, Y.; Yang, Y.; Wen, H.; Cheng, Z. Spatial correlation of ambient noise affected by ship-radiated noise in shallow sea. J. Appl. Oceanogr. 2018, 37, 120–128. [Google Scholar]
- Rouseff, D.; Tang, D. Internal wave effects on the ambient noise notch in the East China Sea: Model/data comparison. J. Acoust. Soc. Am. 2006, 120, 1284–1294. [Google Scholar] [CrossRef] [PubMed]
- Yang, Q.; Yang, K.; Ma, Y. Statistical characteristic analysis of ambient noise in deep sea of southern South China Sea. J. Harbin Eng. Univ. 2020, 41, 1419–1428. [Google Scholar]
- Shi, Y.; Yang, Y.; Tian, J.; Sun, C.; Zhao, W.; Li, Z.; Ma, Y. Long-term ambient noise statistics in the northeast South China Sea. J. Acoust. Soc. Am. 2019, 145, EL501–EL507. [Google Scholar] [CrossRef]
- Jiang, P.; Lin, J.; Sun, J.; Yi, X.; Shan, Y. Source spectrum model for merchant ship radiated noise in the Yellow Sea of China. Ocean. Eng. 2020, 216, 107607. [Google Scholar] [CrossRef]
- Han, B.; Zhao, Z.; Wang, X.; Sun, Z.; Li, F.; Zhu, B.; Yao, Y.; Liu, L.; Peng, T.; Long, G. Formation of the Zengmu and Beikang Basins, and West Baram Line in the southwestern South China Sea margin. J. Oceanol. Limnol. 2023, 41, 592–611. [Google Scholar] [CrossRef]









| Frequency (Hz) | H1 (dB) 44 m Depth | H2 (dB) 45 m Depth | H16 (dB) 59 m Depth | H17 (dB) 60 m Depth | H31 (dB) 74 m Depth | H32 (dB) 75 m Depth | Mean (dB) | Variance |
|---|---|---|---|---|---|---|---|---|
| 25 | 87.36 | 85.82 | 84.86 | 86.81 | 85.08 | 85.46 | 85.90 | 0.99 |
| 50 | 85.24 | 83.83 | 82.55 | 84.36 | 81.89 | 82.30 | 83.36 | 1.74 |
| 100 | 82.80 | 81.55 | 79.94 | 81.47 | 78.14 | 78.47 | 80.40 | 3.46 |
| 200 | 79.08 | 78.06 | 76.19 | 77.35 | 72.83 | 72.94 | 76.08 | 6.99 |
| 400 | 75.71 | 74.90 | 73.00 | 73.75 | 68.36 | 68.07 | 72.30 | 10.88 |
| 800 | 73.01 | 72.35 | 70.54 | 70.93 | 65.13 | 64.32 | 69.38 | 13.88 |
| 1000 | 71.01 | 70.42 | 68.65 | 68.78 | 62.93 | 61.65 | 67.24 | 15.70 |
| 1600 | 69.96 | 69.38 | 67.61 | 67.61 | 61.84 | 60.28 | 66.11 | 16.43 |
| 2500 | 69.22 | 68.63 | 66.78 | 66.71 | 61.00 | 59.27 | 65.27 | 17.10 |
| Frequency (Hz) | Hydrophone H2 (45 m Water Depth) | Hydrophone H17 (60 m Water Depth) | Hydrophone H32 (75 m Water Depth) | |||
|---|---|---|---|---|---|---|
| R-Squared | RMSE | R-Squared | RMSE | R-Squared | RMSE | |
| 50 | 0.09 | 4.71 | 0.04 | 4.22 | 0.01 | 3.54 |
| 100 | 0.22 | 3.45 | 0.05 | 2.83 | 0.04 | 2.31 |
| 200 | 0.4 | 2.71 | 0.01 | 2.01 | 0.18 | 1.37 |
| 400 | 0.6 | 1.7 | 0.17 | 1.48 | 0.21 | 1.1 |
| 800 | 0.79 | 1.01 | 0.43 | 0.99 | 0.53 | 0.81 |
| 1000 | 1 | 0 | 1 | 0 | 1 | 0 |
| 1200 | 0.73 | 0.83 | 0.54 | 0.85 | 0.57 | 0.7 |
| 1600 | 0.53 | 1.09 | 0.22 | 1.23 | 0.18 | 0.97 |
| 2000 | 0.47 | 1.38 | 0.19 | 1.56 | 0.12 | 1.31 |
| 2500 | 0.45 | 1.81 | 0.11 | 1.91 | 0.08 | 1.75 |
Disclaimer/Publisher’s Note: The statements, opinions and data contained in all publications are solely those of the individual author(s) and contributor(s) and not of MDPI and/or the editor(s). MDPI and/or the editor(s) disclaim responsibility for any injury to people or property resulting from any ideas, methods, instructions or products referred to in the content. |
© 2023 by the authors. Licensee MDPI, Basel, Switzerland. This article is an open access article distributed under the terms and conditions of the Creative Commons Attribution (CC BY) license (https://creativecommons.org/licenses/by/4.0/).
Share and Cite
Cui, X.; Cang, S.; Li, C.; Tang, D.; Hu, Q.; Yang, H. Depth Spatial Characterization of Marine Environmental Noise in the Zengmu Basin. J. Mar. Sci. Eng. 2023, 11, 2226. https://doi.org/10.3390/jmse11122226
Cui X, Cang S, Li C, Tang D, Hu Q, Yang H. Depth Spatial Characterization of Marine Environmental Noise in the Zengmu Basin. Journal of Marine Science and Engineering. 2023; 11(12):2226. https://doi.org/10.3390/jmse11122226
Chicago/Turabian StyleCui, Xiaoming, Siyuan Cang, Chao Li, Danling Tang, Qing Hu, and Huayong Yang. 2023. "Depth Spatial Characterization of Marine Environmental Noise in the Zengmu Basin" Journal of Marine Science and Engineering 11, no. 12: 2226. https://doi.org/10.3390/jmse11122226
APA StyleCui, X., Cang, S., Li, C., Tang, D., Hu, Q., & Yang, H. (2023). Depth Spatial Characterization of Marine Environmental Noise in the Zengmu Basin. Journal of Marine Science and Engineering, 11(12), 2226. https://doi.org/10.3390/jmse11122226
