Factors Controlling the Pore Development of Low-Mature Marine–Continental Transitional Shale: A Case Study of the Upper Permian Longtan Shale, Western Guizhou, South China
Abstract
:1. Introduction
2. Geological Setting
3. Samples and Methods
4. Results
4.1. Organic Geochemical Characteristics
4.1.1. Kerogen Type
4.1.2. TOC Content
4.1.3. Thermal Maturity
4.2. Mineral Composition
4.3. Types of Shale Pores
4.3.1. Intergranular Pores
4.3.2. Intragranular Pores
4.3.3. Organic Pores
4.3.4. Microfractures
4.4. Pore Morphology and Structure Characteristics
4.5. Pore Volumes and the SSA
5. Discussion
5.1. The Influence of Mineral Composition on Pore Development
5.1.1. Relationship between Pore Structure Characteristics and Brittle Minerals
5.1.2. Relationship between Pore Structure Characteristics and Carbonate Minerals
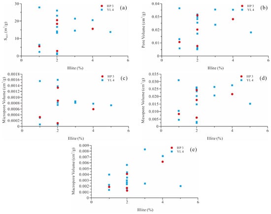
5.1.3. Relationship between Pore Structure Characteristics and Clay Minerals
5.2. The Influence of Organic Matter on Pore Development
5.2.1. Relationship between Pore Structure Characteristics and TOC Content
5.2.2. Relationship between Pore Structure Characteristics and the Thermal-Evolution Degree
6. Conclusions
- (1)
- The Longtan Shale mineral composition mainly consists of clay minerals and brittle minerals. In addition, the TOC content is rich, and the thermal maturity is low, which is the case due to the processes the shale underwent during its mature evolution stage and the peak of its gas generation period. The shale pore type includes intergranular pores, intragranular pores, organic pores, and microfractures. The intergranular pore structures are of the slit, layered, irregular, and ink-bottle varieties. The intragranular pores range from elliptical, nearly circular, ink-bottle, to irregular types. The organic pores are of the elliptical, bubble-like, and irregular polygonal variants. The microfractures are the elongated type. The clay-mineral-related intergranular pore is the predominant pore type, and it is mainly of the ink-bottle, slit, and layered varieties. The organic pores were found to be poorly developed.
- (2)
- The Longtan Shale pores are mainly mesopores, followed by macropores. The development scale range of the pore diameter is large, ranging from 1 nm to 100 nm, with multiple peak characteristics. The nanopores mainly contributed to the SSA, which varied between 5 nm and 10 nm. The smaller pores provided a greater contribution to the SSA, which is more conducive to shale gas adsorption and accumulation.
- (3)
- Clay mineral content is the dominant internal factor controlling pore development and the SSA, with the most obvious control being due to the illite–smectite mixed layer. However, too low or too high clay mineral content is adverse to macropore development. The macropore volume shows a tendency to first increase and then decrease with increasing clay mineral content. Brittle mineral content, carbonate mineral content, and TOC content are adverse to pore development and the SSA. Thermal maturity has no remarkable control effect on pore volume and the SSA of non-organic pores.
Author Contributions
Funding
Data Availability Statement
Conflicts of Interest
References
- Li, J.; Li, H.; Yang, C.; Wu, Y.; Gao, Z.; Jiang, S. Geological Characteristics and Controlling Factors of Deep Shale Gas Enrichment of the Wufeng-Longmaxi Formation in the Southern Sichuan Basin, China. Lithosphere 2022, 2022, 4737801. [Google Scholar] [CrossRef]
- Xi, Y.; Li, J.; Liu, G.; Cha, C.; Fu, Y. Numerical Investigation for Different Casing Deformation Reasons in Weiyuan-Changning Shale Gas Field during Multistage Hydraulic Fracturing. J. Pet. Sci. Eng. 2018, 163, 691–702. [Google Scholar] [CrossRef]
- Gou, Q.; Xu, S.; Hao, F.; Zhang, B.; Shu, Z.; Yang, F.; Wang, Y.; Li, Q. Quantitative Calculated Shale Gas Contents with Different Lithofacies: A Case Study of Fuling Gas Shale, Sichuan Basin, China. J. Nat. Gas Sci. Eng. 2020, 76, 103222. [Google Scholar] [CrossRef]
- Fu, W.; Hu, W.; Yi, T.; Kane, O.I.; Zhang, M.; Huang, X. Fractal Dimension Analysis of Pores in Coal Reservoir and Their Impact on Petrophysical Properties: A Case Study in the Province of Guizhou, SW China. Minerals 2022, 12, 1425. [Google Scholar] [CrossRef]
- Fan, C.; Li, H.; Qin, Q.; He, S.; Zhong, C. Geological Conditions and Exploration Potential of Shale Gas Reservoir in Wufeng and Longmaxi Formation of Southeastern Sichuan Basin, China. J. Pet. Sci. Eng. 2020, 191, 107138. [Google Scholar] [CrossRef]
- Wu, J.; Yuan, Y.; Niu, S.; Wei, X.; Yang, J. Multiscale Characterization of Pore Structure and Connectivity of Wufeng-Longmaxi Shale in Sichuan Basin, China. Mar. Pet. Geol. 2020, 120, 104514. [Google Scholar] [CrossRef]
- Li, X.; Wang, Y.; Lin, W.; Ma, L.; Liu, D.; Liu, J.; Zhang, Y. Micro-Pore Structure and Fractal Characteristics of Deep Shale from Wufeng Formation to Longmaxi Formation in Jingmen Exploration Area, Hubei Province, China. J. Nat. Gas Geosci. 2022, 7, 121–132. [Google Scholar] [CrossRef]
- Yang, R.; He, S.; Yi, J.; Hu, Q. Nano-Scale Pore Structure and Fractal Dimension of Organic-Rich Wufeng-Longmaxi Shale from Jiaoshiba Area, Sichuan Basin: Investigations Using FE-SEM, Gas Adsorption and Helium Pycnometry. Mar. Pet. Geol. 2016, 70, 27–45. [Google Scholar] [CrossRef]
- Wang, Y.; Cheng, H.; Hu, Q.; Liu, L.; Jia, L.; Gao, S.; Wang, Y. Pore Structure Heterogeneity of Wufeng-Longmaxi Shale, Sichuan Basin, China: Evidence from Gas Physisorption and Multifractal Geometries. J. Pet. Sci. Eng. 2022, 208, 109313. [Google Scholar] [CrossRef]
- Loucks, R.G.; Reed, R.M.; Ruppel, S.C.; Hammes, U. Spectrum of Pore Types and Networks in Mudrocks and a Descriptive Classification for Matrix-Related Mudrock Pores. AAPG Bull. 2012, 96, 1071–1098. [Google Scholar] [CrossRef]
- Bingsong, Y.U. Classification and Characterization of Gas Shale Pore System. Earth Sci. Front. 2013, 20, 211–220. [Google Scholar]
- Rouquerol, J.; Avnir, D.; Fairbridge, C.W.; Everett, D.H.; Haynes, J.H.; Pernicone, N.; Ramsay, J.D.F.; Sing, K.S.W.; Unger, K.K. Recommendations for the Characterization of Porous Solids. Int. Union Pure Appl. Chem. 1994, 66, 1739–1758. [Google Scholar] [CrossRef]
- Kotarba, M.J.; Curtis, J.B.; Lewan, M.D. Comparison of Natural Gases Accumulated in Oligocene Strata with Hydrous Pyrolysis Gases from Menilite Shales of the Polish Outer Carpathians. Org. Geochem. 2009, 40, 769–783. [Google Scholar] [CrossRef]
- Jarvie, D. Evaluation of Hydrocarbon Generation and Storage in the Barnett Shale, Ft. Worth Basin, Texas©. In Proceedings of the Ellison Miles Memorial Symposium, Farmers Branch, TX, USA, 22–23 June 2004. [Google Scholar]
- Cao, T.; Deng, M.; Song, Z.; Luo, H.; Hursthouse, A.S. Characteristics and Controlling Factors of Pore Structure of the Permian Shale in Southern Anhui Province, East China. J. Nat. Gas Sci. Eng. 2018, 60, 228–245. [Google Scholar] [CrossRef]
- Sun, W.; Zuo, Y.; Wu, Z.; Liu, H.; Xi, S.; Shui, Y.; Wang, J.; Liu, R.; Lin, J. Fractal Analysis of Pores and the Pore Structure of the Lower Cambrian Niutitang Shale in Northern Guizhou Province: Investigations Using NMR, SEM and Image Analyses. Mar. Pet. Geol. 2019, 99, 416–428. [Google Scholar] [CrossRef]
- Wang, T.; Tian, F.; Deng, Z.; Hu, H. Pore Structure and Fractal Characteristics of Wufeng–Longmaxi Formation Shale in Northern Yunnan–Guizhou, China. Front. Earth Sci. 2023, 10, 998958. [Google Scholar] [CrossRef]
- Yuan, K.; Huang, W.; Chen, X.; Cao, Q.; Fang, X.; Lin, T.; Jin, C.; Li, S.; Wang, C.; Wang, T. The Whole-Aperture Pore Structure Characteristics and Their Controlling Factors of the Dawuba Formation Shale in Western Guizhou. Processes 2022, 10, 622. [Google Scholar] [CrossRef]
- Luo, W.; Hou, M.; Liu, X.; Huang, S.; Chao, H.; Zhang, R.; Deng, X. Geological and Geochemical Characteristics of Marine-Continental Transitional Shale from the Upper Permian Longtan Formation, Northwestern Guizhou, China. Mar. Pet. Geol. 2018, 89, 58–67. [Google Scholar] [CrossRef]
- Ma, X.; Guo, S. Study on Pore Evolution and Diagenesis Division of a Permian Longtan Transitional Shale in Southwest Guizhou, China. Energy Sci. Eng. 2021, 9, 58–79. [Google Scholar] [CrossRef]
- Boyer, C.; Kieschnick, J.; Suarez-Rivera, R.; Lewis, R.E.; Waters, G. Producing Gas from Its Source. Oilfield Rev. 2006, 18, 36–49. [Google Scholar]
- Lin, L.; Zhang, J.; Liu, J.; Long, P.; Tang, X. Favorable Depth Zone Selection for Shale Gas Prospecting. Earth Sci. Front. 2012, 19, 259–263. [Google Scholar]
- Slatt, R.M.; O’Brien, N.R. Pore Types in the Barnett and Woodford Gas Shales: Contribution to Understanding Gas Storage and Migration Pathways in Fine-Grained Rocks. AAPG Bull. 2011, 95, 2017–2030. [Google Scholar] [CrossRef]
- Sun, W.; Zuo, Y.; Wu, Z.; Liu, H.; Zheng, L.; Wang, H.; Shui, Y.; Lou, Y.; Xi, S.; Li, T.; et al. Pore Characteristics and Evolution Mechanism of Shale in a Complex Tectonic Area: Case Study of the Lower Cambrian Niutitang Formation in Northern Guizhou, Southwest China. J. Pet. Sci. Eng. 2020, 193, 107373. [Google Scholar] [CrossRef]
- Loucks, R.G.; Reed, R.M.; Ruppel, S.C.; Jarvie, D.M. Morphology, Genesis, and Distribution of Nanometer-Scale Pores in Siliceous Mudstones of the Mississippian Barnett Shale. J. Sediment. Res. 2009, 79, 848–861. [Google Scholar] [CrossRef]
- Ko, L.T.; Loucks, R.G.; Zhang, T.; Ruppel, S.C.; Shao, D. Pore and Pore Network Evolution of Upper Cretaceous Boquillas (Eagle Ford–Equivalent) Mudrocks: Results from Gold Tube Pyrolysis Experiments. AAPG Bull. 2016, 100, 1693–1722. [Google Scholar] [CrossRef]
- Yang, C.; Xiong, Y.; Zhang, J.; Liu, Y.; Chen, C. Comprehensive Understanding of OM-Hosted Pores in Transitional Shale: A Case Study of Permian Longtan Shale in South China Based on Organic Petrographic Analysis, Gas Adsorption, and X-Ray Diffraction Measurements. Energy Fuels 2019, 33, 8055–8064. [Google Scholar] [CrossRef]
- Liang, J.; Huang, W.; Wang, H.; Blum, M.J.; Chen, J.; Wei, X.; Yang, G. Organic Geochemical and Petrophysical Characteristics of Transitional Coal-Measure Shale Gas Reservoirs and Their Relationships with Sedimentary Environments: A Case Study from the Carboniferous-Permian Qinshui Basin, China. J. Pet. Sci. Eng. 2020, 184, 106510. [Google Scholar] [CrossRef]
- Sing, K.S.W.; Everett, D.H.; Haul, R.A.W.; Moscou, L.; Pierotti, J.H.; Rouquerol, J.; Siemieniewska, T. Reporting Physisorption Data for Gas/Solid Systems with Special Reference to the Determination of Surface Area and Porosity. Pure Appl. Chem. 1985, 57, 603–619. [Google Scholar] [CrossRef]
- Thommes, M.; Kaneko, K.; Neimark, A.V.; Olivier, J.P.; Rodriguez-Reinoso, F.; Rouquerol, J.; Sing, K.S.W. Physisorption of Gases, with Special Reference to the Evaluation of Surface Area and Pore Size Distribution (IUPAC Technical Report). Pure Appl. Chem. 2015, 87, 1051–1069. [Google Scholar] [CrossRef]
- Chen, S.; Zhu, Y.; Wang, H.; Liu, H.; Wei, W.; Fang, J. Shale Gas Reservoir Characterisation: A Typical Case in the Southern Sichuan Basin of China. Energy 2011, 36, 6609–6616. [Google Scholar] [CrossRef]
- Wang, J.; Guo, S. The Whole-Aperture Pore-Structure Characteristics of Marine-Continental Transitional Shale Facies of the Taiyuan and Shanxi Formations in the Qinshui Basin, North China. Interpretation 2019, 7, T547–T563. [Google Scholar] [CrossRef]
- de Boer, J.H.; Everett, D.H.; Stone, F.S. The Structure and Properties of Porous Materials; Colston Papers; Academic Press: Cambridge, MA, USA, 1958; Volume 90. [Google Scholar]
- Chen, Y.; Qin, Y.; Wei, C.; Huang, L.; Shi, Q.; Wu, C.; Zhang, X. Porosity Changes in Progressively Pulverized Anthracite Subsamples: Implications for the Study of Closed Pore Distribution in Coals. Fuel 2018, 225, 612–622. [Google Scholar] [CrossRef]
- Li, A.; Ding, W.; Jiu, K.; Wang, Z.; Wang, R.; He, J. Investigation of the Pore Structures and Fractal Characteristics of Marine Shale Reservoirs Using NMR Experiments and Image Analyses: A Case Study of the Lower Cambrian Niutitang Formation in Northern Guizhou Province, South China. Mar. Pet. Geol. 2018, 89, 530–540. [Google Scholar] [CrossRef]
- Vishal, V.; Chandra, D.; Bahadur, J.; Sen, D.; Hazra, B.; Mahanta, B.; Mani, D. Interpreting Pore Dimensions in Gas Shales Using a Combination of SEM Imaging, Small-Angle Neutron Scattering, and Low-Pressure Gas Adsorption. Energy Fuels 2019, 33, 4835–4848. [Google Scholar] [CrossRef]
- Hazra, B.; Wood, D.A.; Vishal, V.; Varma, A.K.; Sakha, D.; Singh, A.K. Porosity Controls and Fractal Disposition of Organic-Rich Permian Shales Using Low-Pressure Adsorption Techniques. Fuel 2018, 220, 837–848. [Google Scholar] [CrossRef]
- Xi, Z.; Tang, S.; Li, J.; Zhang, Z.; Xiao, H. Pore Characterization and the Controls of Organic Matter and Quartz on Pore Structure: Case Study of the Niutitang Formation of Northern Guizhou Province, South China. J. Nat. Gas Sci. Eng. 2019, 61, 18–31. [Google Scholar] [CrossRef]
- Ungerer, P.; Collell, J.; Yiannourakou, M. Molecular Modeling of the Volumetric and Thermodynamic Properties of Kerogen: Influence of Organic Type and Maturity. Energy Fuels 2015, 29, 91–105. [Google Scholar] [CrossRef]
- Mastalerz, M.; Schimmelmann, A.; Drobniak, A.; Chen, Y. Porosity of Devonian and Mississippian New Albany Shale across a Maturation Gradient: Insights from Organic Petrology, Gas Adsorption, and Mercury Intrusion. AAPG Bull. 2013, 97, 1621–1643. [Google Scholar] [CrossRef]
- Curtis, M.E.; Cardott, B.J.; Sondergeld, C.H.; Rai, C.S. Development of Organic Porosity in the Woodford Shale with Increasing Thermal Maturity. Int. J. Coal Geol. 2012, 103, 26–31. [Google Scholar] [CrossRef]
- Chandra, D.; Vishal, V.; Bahadur, J.; Agrawal, A.K.; Das, A.; Hazra, B.; Sen, D. Nano-Scale Physicochemical Attributes and Their Impact on Pore Heterogeneity in Shale. Fuel 2022, 314, 123070. [Google Scholar] [CrossRef]
- Zhang, Y.; Yu, B.; Pan, Z.; Hou, C.; Zuo, Q.; Sun, M. Effect of Thermal Maturity on Shale Pore Structure: A Combined Study Using Extracted Organic Matter and Bulk Shale from Sichuan Basin, China. J. Nat. Gas Sci. Eng. 2020, 74, 103089. [Google Scholar] [CrossRef]
- Ross, D.J.K.; Marc Bustin, R. The Importance of Shale Composition and Pore Structure upon Gas Storage Potential of Shale Gas Reservoirs. Mar. Pet. Geol. 2009, 26, 916–927. [Google Scholar] [CrossRef]


























| Well | Sample ID | Depth (m) | Formation | TOC (%) | Ro (%) | Macerals | Mineral Composition (%) | Clay Composition (%) | |||||||||
|---|---|---|---|---|---|---|---|---|---|---|---|---|---|---|---|---|---|
| Sapropelinite | Exinite | Vitrinite | Inertinite | Kerogen Type | Brittle | Carbonate | Clay | I/S | I | K | C | ||||||
| HP 3 | HP 3 S1 | 894.07 | P2l | 3.22 | 0.902 | 7 | 10 | 73 | 10 | III | 36.30 | 0 | 63.70 | 46.00 | 2.00 | 35.00 | 17.00 |
| HP 3 | HP 3 S2 | 940.45 | P2l | 3.79 | 1.060 | 23 | 35 | 34 | 8 | II2 | 25.10 | 0 | 74.90 | 43.00 | 2.00 | 31.00 | 24.00 |
| HP 3 | HP 3 S3 | 962.15 | P2l | 6.05 | 1.024 | 9 | 13 | 51 | 27 | III | 38.80 | 6.10 | 55.10 | 62.00 | 4.00 | 22.00 | 12.00 |
| HP 3 | HP 3 S4 | 980.15 | P2l | 8.69 | 0.918 | 25 | 34 | 33 | 8 | II2 | 44.10 | 0 | 55.90 | 2.00 | 1.00 | 62.00 | 35.00 |
| HP 3 | HP 3 S5 | 1009.03 | P2l | 1.10 | 0.986 | 14 | 10 | 65 | 11 | III | 21.60 | 1.20 | 77.20 | 62.00 | 2.00 | 21.00 | 15.00 |
| YL 4 | YL 4 S1 | 344.88 | P2l | 13.70 | 0.757 | 13 | 40 | 40 | 7 | III | 59.60 | 0.60 | 39.80 | 2.00 | 2.00 | 49.00 | 47.00 |
| YL 4 | YL 4 S2 | 346.80 | P2l | 1.83 | 0.736 | 8 | 19 | 70 | 3 | III | 30.40 | 1.40 | 68.20 | 26.00 | 1.00 | 33.00 | 40.00 |
| YL 4 | YL 4 S3 | 357.87 | P2l | 16.70 | 0.890 | 6 | 16 | 71 | 7 | III | 65.00 | 25.70 | 9.30 | 2.00 | 2.00 | 19.00 | 77.00 |
| YL 4 | YL 4 S4 | 403.71 | P2l | 2.46 | 0.820 | 14 | 41 | 42 | 3 | II2 | 45.50 | 3.90 | 50.60 | 20.00 | 2.00 | 41.00 | 37.00 |
| YL 4 | YL 4 S5 | 428.76 | P2l | 2.43 | 0.821 | 2 | 11 | 75 | 12 | III | 39.00 | 12.00 | 49.00 | 50.00 | 5.00 | 14.00 | 31.00 |
| YL 4 | YL 4 S6 | 452.46 | P2l | 2.65 | 0.914 | 2 | 9 | 74 | 15 | III | 34.30 | 0.30 | 65.40 | 74.00 | 3.00 | 12.00 | 11.00 |
| YL 4 | YL 4 S7 | 488.19 | P2l | 3.60 | 0.920 | 3 | 12 | 75 | 10 | III | 27.10 | 9.90 | 63.00 | 78.00 | 4.00 | 9.00 | 9.00 |
| YL 4 | YL 4 S8 | 522.68 | P2l | 4.85 | 0.960 | 15 | 46 | 27 | 12 | II2 | 24.90 | 0.40 | 74.70 | 58.00 | 2.00 | 24.00 | 16.00 |
| YL 4 | YL 4 S9 | 548.06 | P2l | 8.27 | 0.961 | 2 | 5 | 89 | 4 | III | 30.60 | 0 | 69.40 | 72.00 | 3.00 | 14.00 | 11.00 |
| YL 4 | YL 4 S10 | 561.12 | P2l | 3.22 | 0.961 | 3 | 13 | 77 | 7 | III | 39.10 | 0 | 60.90 | 49.00 | 2.00 | 16.00 | 33.00 |
| YL 4 | YL 4 S11 | 573.69 | P2l | 4.67 | 0.966 | 2 | 5 | 81 | 12 | III | 41.80 | 0 | 58.20 | 57.00 | 1.00 | 22.00 | 20.00 |
| YL 4 | YL 4 S12 | 585.12 | P2l | 7.03 | 0.975 | 17 | 41 | 32 | 10 | II2 | 33.70 | 0.70 | 65.60 | 60.00 | 2.00 | 20.00 | 18.00 |
| YL 4 | YL 4 S13 | 588.98 | P2l | 6.69 | 0.939 | 2 | 7 | 87 | 4 | III | 42.20 | 3.20 | 54.60 | 43.00 | 1.00 | 25.00 | 31.00 |
| YL 4 | YL 4 S14 | 612.52 | P2l | 2.17 | 1.023 | 2 | 15 | 63 | 20 | III | 21.60 | 0 | 78.40 | 2.00 | 2.00 | 49.00 | 47.00 |
| Average | / | / | / | 5.43 | 0.923 | 7 | 10 | 73 | 10 | III | 36.88 | 3.44 | 59.68 | 42.53 | 2.26 | 27.26 | 27.95 |
| Pore Types | Genetic Mechanism | Location | Morphological | Pore Diameter |
|---|---|---|---|---|
| Intergranular pores | Primary sedimentary, cementation, diagenesis | Between clay mineral particles | Silt, layered | 50 nm–1 μm |
| Between brittle mineral particles, between plastic minerals and brittle mineral particles, between organic matter blocks and brittle minerals | Irregular, ink bottle | 100 nm–1 μm | ||
| Intragranular pores | Postdiagenesis | Between pyrite crystals | Elliptical, nearly circular, ink bottle | 20 nm–500 nm |
| Dissolution of soluble minerals | Elliptical, irregular | 20 nm–1 μm | ||
| Organic pores | Hydrocarbon generation evolution of organic matter | Internal pores of organic matter | Elliptical, bubble-like, irregular polygonal | 5 nm–300 nm |
| Microfractures | Stress effect | Tectonic fractures | Elongated | 20 nm–300 nm |
| Sample ID | Depth (m) | TOC (%) | Ro (%) | Average Pore Diameter (nm) | Pore Volume (cm3/g) | Micropore Volume (cm3/g) | Mesopore Volume (cm3/g) | Macropore Volume (cm3/g) | SBET (m2/g) |
|---|---|---|---|---|---|---|---|---|---|
| HP 3 S1 | 894.07 | 3.22 | 0.902 | 10.40 | 0.007797 | 0.000109 | 0.006043 | 0.001645 | 2.90 |
| HP 3 S2 | 940.45 | 3.79 | 1.060 | 6.61 | 0.029955 | 0.000878 | 0.024931 | 0.004146 | 18.40 |
| HP 3 S3 | 962.15 | 6.05 | 1.024 | 7.43 | 0.028353 | 0.000597 | 0.021557 | 0.006199 | 15.60 |
| HP 3 S4 | 980.15 | 8.69 | 0.918 | 7.31 | 0.010682 | 0.000304 | 0.008463 | 0.001915 | 5.83 |
| HP 3 S5 | 1009.03 | 1.10 | 0.986 | 4.28 | 0.020251 | 0.001344 | 0.017601 | 0.001306 | 20.50 |
| YL 4 S1 | 344.88 | 13.70 | 0.757 | 18.10 | 0.005438 | 0.000068 | 0.002588 | 0.002782 | 1.20 |
| YL 4 S2 | 346.80 | 1.83 | 0.736 | 5.37 | 0.036434 | 0.001561 | 0.030858 | 0.004015 | 27.80 |
| YL 4 S3 | 357.87 | 16.70 | 0.890 | 16.90 | 0.006054 | 0.000088 | 0.00294 | 0.003026 | 1.43 |
| YL 4 S4 | 403.71 | 2.46 | 0.820 | 5.13 | 0.028421 | 0.001372 | 0.023543 | 0.003506 | 23.00 |
| YL 4 S5 | 428.76 | 2.43 | 0.821 | 5.42 | 0.018027 | 0.000729 | 0.015253 | 0.002045 | 13.80 |
| YL 4 S6 | 452.46 | 2.65 | 0.914 | 6.95 | 0.035502 | 0.000856 | 0.02634 | 0.008306 | 21.40 |
| YL 4 S7 | 488.19 | 3.60 | 0.920 | 7.16 | 0.03539 | 0.000781 | 0.027435 | 0.007174 | 20.50 |
| YL 4 S8 | 522.68 | 4.85 | 0.960 | 7.66 | 0.031765 | 0.000742 | 0.02535 | 0.005673 | 16.60 |
| YL 4 S9 | 548.06 | 8.27 | 0.961 | 6.57 | 0.023904 | 0.000814 | 0.020611 | 0.002479 | 14.50 |
| YL 4 S10 | 561.12 | 3.22 | 0.961 | 4.81 | 0.029846 | 0.001604 | 0.025878 | 0.002364 | 26.00 |
| YL 4 S11 | 573.69 | 4.67 | 0.966 | 9.34 | 0.0059 | 0.000078 | 0.004417 | 0.001405 | 2.53 |
| YL 4 S12 | 585.12 | 7.03 | 0.975 | 7.54 | 0.025585 | 0.000763 | 0.02043 | 0.004392 | 13.60 |
| YL 4 S13 | 588.98 | 6.69 | 0.939 | 7.99 | 0.012952 | 0.0003 | 0.01042 | 0.002232 | 6.34 |
| YL 4 S14 | 612.52 | 2.17 | 1.023 | 5.10 | 0.017182 | 0.000816 | 0.014784 | 0.001582 | 14.00 |
| Average | / | 5.43 | 0.923 | 7.90 | 0.021549 | 0.000727 | 0.017339 | 0.003484 | 14.00 |
Disclaimer/Publisher’s Note: The statements, opinions and data contained in all publications are solely those of the individual author(s) and contributor(s) and not of MDPI and/or the editor(s). MDPI and/or the editor(s) disclaim responsibility for any injury to people or property resulting from any ideas, methods, instructions or products referred to in the content. |
© 2023 by the authors. Licensee MDPI, Basel, Switzerland. This article is an open access article distributed under the terms and conditions of the Creative Commons Attribution (CC BY) license (https://creativecommons.org/licenses/by/4.0/).
Share and Cite
Zhang, M.; Hu, M.; Wei, S.; Cai, Q.; Fu, W.; Shi, F.; Zhang, L.; Ding, H. Factors Controlling the Pore Development of Low-Mature Marine–Continental Transitional Shale: A Case Study of the Upper Permian Longtan Shale, Western Guizhou, South China. J. Mar. Sci. Eng. 2023, 11, 1862. https://doi.org/10.3390/jmse11101862
Zhang M, Hu M, Wei S, Cai Q, Fu W, Shi F, Zhang L, Ding H. Factors Controlling the Pore Development of Low-Mature Marine–Continental Transitional Shale: A Case Study of the Upper Permian Longtan Shale, Western Guizhou, South China. Journal of Marine Science and Engineering. 2023; 11(10):1862. https://doi.org/10.3390/jmse11101862
Chicago/Turabian StyleZhang, Manting, Mingyi Hu, Sile Wei, Quansheng Cai, Wei Fu, Fang Shi, Lei Zhang, and Haiyan Ding. 2023. "Factors Controlling the Pore Development of Low-Mature Marine–Continental Transitional Shale: A Case Study of the Upper Permian Longtan Shale, Western Guizhou, South China" Journal of Marine Science and Engineering 11, no. 10: 1862. https://doi.org/10.3390/jmse11101862
APA StyleZhang, M., Hu, M., Wei, S., Cai, Q., Fu, W., Shi, F., Zhang, L., & Ding, H. (2023). Factors Controlling the Pore Development of Low-Mature Marine–Continental Transitional Shale: A Case Study of the Upper Permian Longtan Shale, Western Guizhou, South China. Journal of Marine Science and Engineering, 11(10), 1862. https://doi.org/10.3390/jmse11101862

