Analytical Eddy Viscosity Model for Turbulent Wave Boundary Layers: Application to Suspended Sediment Concentrations over Wave Ripples
Abstract
1. Introduction
- -
- The different comparative studies show that even if more complex models contain more information about turbulence, they do not always provide the best results compared to simpler models. Therefore, complexity does not systematically imply superiority, in particular in coastal engineering practice, where simple models are often preferred for practical applications.
- -
- Different assumptions were made about the vertical variation of eddy viscosity and sediment diffusivity in the WBBL, and empirical models were proposed. It is important to know which one is the best and to find the link with turbulence closure schemes.
- -
- Even if the vertical distribution of sediment diffusivity (Figure 2) seems similar to the three-layer distribution of eddy viscosity of Kajiura (Figure 1), it is very different from the other eddy viscosity profiles, especially the two that show interest, namely, the parabolic-uniform and exponential-type profiles [36], taking into account their close link to results from turbulence closure schemes. In addition, the discontinuous three-layer distribution is mainly the result of an empirical approach, while theoretical models provide analytical continuous solutions without discontinuities as in the three-layer profile. It is important to find the link between eddy viscosity and sediment diffusivity profiles.
- -
- Provide a unique explanation/interpretation for the different eddy viscosity and sediment diffusivity data for the WBBL.
- -
- Replace former different empirical profiles of eddy viscosity/sediment diffusivity with a unique analytical/theoretical model. Following our former study [36], the one-dimensional-vertical profile of eddy viscosity will be investigated based on new results obtained from an analytical study of eddy viscosity in steady fully developed plane-channel and open-channel flows [59,60,61]. The selected analytical model, namely, the exponential-type profile, is first validated by direct numerical simulation (DNS) and experimental data of steady plane-channel and open-channel flows, respectively [60,61]. It will be generalized to the WBBL, assessed, and calibrated by comparisons with numerical results of the two-equation baseline (BSL) k-ω model. A new calibration of the period-averaged eddy viscosity for oscillatory flows for different wave conditions through the parameter will be proposed.
- -
- Use the proposed analytical eddy viscosity model in the computation of suspended sediment concentration profiles in oscillatory flow over sand ripples.
2. Eddy Viscosity Formulation
2.1. Eddy Viscosity Formulation for Steady Channel and Open-Channel Flows
2.2. Eddy Viscosity Formulation for Oscillatory Flows
2.2.1. Analytical Eddy Viscosity Model
2.2.2. Baseline (BSL) k-ω Model
2.2.3. Boundary Conditions and Numerical Method
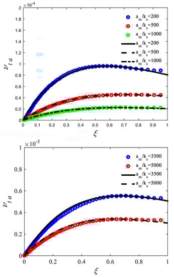
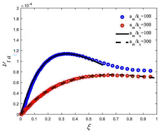
2.2.4. Results and Calibration of the Analytical Eddy Viscosity Model
3. Mathematical Modeling of Suspended Sediment Concentrations
3.1. Classical Advection–Diffusion Equation Based on the Gradient Diffusion Model
3.2. Convection–Diffusion Equation with Upward Convection Term
3.3. Sediment Diffusivity and the Turbulent Schmidt Number
4. Suspended Sediments in WBBLs over Sand Ripples
4.1. Convection–Diffusion Model and the Classical Advection–Diffusion Equation
4.2. Fine and Coarse Sediments over Wave Ripples in the Same Flow (Data from [55])
4.2.1. Experimental Conditions
4.2.2. Results
- -
- The β-function (Equation (20)), which was validated by the finite-mixing-length model and allows the description of the main upward concave profile for coarse sediments
- -
- The additional parameter α, which allows the description of the near-bed upward convex profile. This parameter is related to the convective sediment entrainment process.
4.3. Sediment Diffusivity Profile for Medium Sediments over Ripples with Steep Slopes (Data from [53])
- -
- The constant sediment diffusivity profile is a vortex layer; the constant value of sediment diffusivity close to the bed was related to coherent vortex shedding. Steep ripples involve flow separation on the lee side of ripple crest and vortex formation.
- -
- In the layer where the sediment diffusivity increased linearly with height, the vortices lose their coherence, and gradient diffusion becomes dominant. Random turbulent processes explain the observed linear form for .
5. Conclusions
Author Contributions
Funding
Institutional Review Board Statement
Informed Consent Statement
Data Availability Statement
Acknowledgments
Conflicts of Interest
References
- Kajiura, K. A model of the bottom boundary layer in water waves. Bull. Earthq. Res. Inst. 1968, 46, 75–123. [Google Scholar]
- Brevik, I. Oscillatory rough turbulent boundary layers. J. Waterw. Port Coast. Ocean Eng. ASCE 1981, 103, 175–188. [Google Scholar] [CrossRef]
- Myrhaug, D. On a theoretical model of rough turbulent wave boundary layers. Ocean Eng. 1982, 9, 547–565. [Google Scholar] [CrossRef]
- Sleath, J.F.A. Seabed boundary layers. In The Sea, Vol. 9: Ocean Engineering Science; Le Méhauté, B., Hanes, D.M., Eds.; Wiley: Hoboken, NJ, USA, 1990; pp. 693–728. [Google Scholar]
- Fredsøe, J.; Deigaard, R. Mechanics of Coastal Sediment Transport; World Scientific Publishing: Singapore, 1992; 369p. [Google Scholar]
- Nielsen, P. Coastal Bottom Boundary Layers and Sediment Transport; World Scientific Publishing: Singapore, 1992; 324p. [Google Scholar]
- Van Rijn, L.C. Principles of Sediment Transport in River, Estuaries and Coastal Seas; Aqua Publishing: Amsterdam, The Netherlands, 1993. [Google Scholar]
- Tanaka, H.; Thu, A. Full-range equation of friction coefficient and phase difference in a wave-current boundary layer. Coast. Eng. 1994, 22, 237–254. [Google Scholar] [CrossRef]
- Madsen, O.S.; Salles, P. Eddy viscosity models for wave boundary layers. In Proceedings of the 26th International Conference on Coastal Engineering, ASCE, Copenhagen, Denmark, 22–16 June 1998; pp. 2615–2627. [Google Scholar]
- Fredsøe, J. Modelling of non-cohesive sediment transport processes in the marine environment. Coast. Eng. 1993, 21, 71–103. [Google Scholar] [CrossRef]
- Suntoyo; Tanaka, H. Effect of bed roughness on turbulent boundary layer and net sediment transport under asymmetric waves. Coast. Eng. 2009, 56, 960–969. [Google Scholar] [CrossRef]
- Yuan, J.; Madsen, O.S. Experimental study of turbulent oscillatory boundary layers in an oscillating water tunnel. Coast. Eng. 2014, 89, 63–84. [Google Scholar] [CrossRef]
- Fredsøe, J.; Sumer, B.M.; Kozakiewicz, A.; Chua, L.H.C.; Deigaard, R. Effect of externally generated turbulence on wave boundary layer. Coast. Eng. 2003, 49, 155–183. [Google Scholar] [CrossRef]
- Nielsen, P. 1DV structure of turbulent wave boundary layers. Coast. Eng. 2016, 112, 1–8. [Google Scholar] [CrossRef]
- Van der Werf, J.J.; Doucette, J.S.; O’Donoghue, T.; Ribberink, J.S. Detailed measurements of velocities and suspended sand concentrations over full-scale ripples in regular oscillatory flow. J. Geophys. Res. Earth Surf. 2007, 112. [Google Scholar] [CrossRef]
- Tanaka, H.; Tinh, N.X.; Sana, A. Improvement of the Full-Range Equation for Wave Boundary Layer Thickness. J. Mar. Sci. Eng. 2020, 8, 573. [Google Scholar] [CrossRef]
- Scandura, P.; Faraci, C.; Blondeaux, P. Steady Streaming Induced by Asymmetric Oscillatory Flows over a Rippled Bed. J. Mar. Sci. Eng. 2020, 8, 142. [Google Scholar] [CrossRef]
- Vittori, G.; Blondeaux, P.; Mazzuoli, M. Direct Numerical Simulations of the Pulsating Flow over a Plane Wall. J. Mar. Sci. Eng. 2020, 8, 893. [Google Scholar] [CrossRef]
- O’Donoghue, T.; Davies, A.G.; Bhawanin, M.; van der A, D.A. Measurement and prediction of bottom boundary layer hydrodynamics under modulated oscillatory flows. Coast. Eng. 2021, 169, 103954. [Google Scholar] [CrossRef]
- Fredsøe, J. The turbulent wave boundary layer under a free stream circular orbital motion. Ocean Eng. 2021, 219, 108339. [Google Scholar] [CrossRef]
- Tanaka, H.; Tinh, N.X.; Yu, X.; Liu, G. Development of Depth-Limited Wave Boundary Layers over a Smooth Bottom. J. Mar. Sci. Eng. 2021, 9, 27. [Google Scholar] [CrossRef]
- Chalmoukis, I.A.; Dimas, A.A.; Grigoriadis, D.G.E. Large-Eddy Simulation of Turbulent Oscillatory Flow Over Three-Dimensional Transient Vortex Ripple Geometries in Quasi-Equilibrium. J. Geophys. Res. Earth Surf. 2020, 125, e2019JF005451. [Google Scholar] [CrossRef]
- Zhong, Y.-Z.; Chien, H.; Lin, M.-Y.; Wargula, A.; Chen, J.-L. On the Dependency of Bottom Drag and the Eddy Viscosity upon Flow Structure in the Coastal Boundary Layer. J. Mar. Sci. Eng. 2022, 10, 324. [Google Scholar] [CrossRef]
- Grigoriadis, D.G.E.; Dimas, A.A.; Balaras, E. Large-eddy simulation of wave turbulent boundary layer over rippled bed. Coast. Eng. 2012, 60, 174–189. [Google Scholar] [CrossRef]
- Fuhrman, D.R.; Schløer, S.; Sterner, J. RANS-based simulation of turbulent wave boundary layer and sheet-flow sediment transport processes. Coast. Eng. 2013, 73, 151–166. [Google Scholar] [CrossRef]
- Blondeaux, P.; Vittori, G.; Porcile, G. Modeling the turbulent boundary layer at the bottom of sea wave. Coast. Eng. 2018, 141, 12–23. [Google Scholar] [CrossRef]
- Fredsøe, J.; Andersen, O.H.; Silberg, S. Distribution of suspended sediment in large waves. J. Waterw. Port Coast. Ocean Eng. ASCE 1985, 111, 1041–1059. [Google Scholar] [CrossRef]
- Absi, R. Time-dependent eddy viscosity models for wave boundary layers. In Proceedings of the 27th Conference on Coastal Engineering, Sydney, Australia, 16–21 July 2000; Edge, B.L., Ed.; ASCE Press: Reston, VA, USA, 2001; Volume 2, pp. 1268–1281. [Google Scholar]
- Puleo, J.A.; Mouraenko, O.; Hanes, D.M. One-Dimensional Wave Bottom Boundary Layer Model Comparison: Specific Eddy Viscosity and Turbulence Closure Models. J. Waterw. Port Coast. Ocean Eng. ASCE 2004, 130, 6. [Google Scholar] [CrossRef]
- Lundgren, H. Turbulent currents in the presence of waves. In Proceedings of the 13th Conference on Coastal Engineering, Vancouver, BC, Canada, 10–14 June 1972; ASCE: Reston, VA, USA, 1972; pp. 623–634. [Google Scholar]
- Smith, J.D. Modeling of sediment transport on continental shelves. In The Sea; Intersience: New York, NY, USA, 1977; Volume 6, pp. 538–577. [Google Scholar]
- Grant, W.D.; Madsen, O.S. Combined wave and current interaction with a rough bottom. J. Geophys. Res. 1979, 84, 1797–1808. [Google Scholar] [CrossRef]
- Nezu, I.; Nakagawa, H. Turbulence in Open Channel Flows; Balkema, A.A., Ed.; Routledge: Rotterdam, The Netherlands, 1993. [Google Scholar]
- Hsu, T.-W.; Jan, C.-D. Calibration of Businger-Arya type of eddy viscosity models parameters. J. Waterw. Port Coast. Ocean Eng. ASCE 1998, 124, 281–284. [Google Scholar] [CrossRef]
- Absi, R. Discussion of Calibration of Businger-Arya type of eddy viscosity models parameters. J. Waterw. Port Coast. Ocean Eng. ASCE 2000, 126, 108–109. [Google Scholar] [CrossRef]
- Absi, R.; Tanaka, H.; Kerlidou, L.; André, A. Eddy viscosity profiles for wave boundary layers: Validation and calibration by a k-ω model. In Proceedings of the 33th International Conference on Coastal Engineering, Santander, Spain, 1–6 July 2012; Lynett, P., McKee Smith, J., Eds.; ASCE: Reston, VA, USA, 2012. [Google Scholar]
- Absi, R. Discussion of One-dimensional wave bottom boundary layer model comparison: Specific eddy viscosity and turbulence closure models. J. Waterw. Port Coast. Ocean Eng. ASCE 2006, 132, 139–141. [Google Scholar] [CrossRef]
- Van Rijn, L.C. United view of sediment transport by currents and waves II: Suspended transport. J. Hydraul. Eng. ASCE 2007, 133, 668–689. [Google Scholar] [CrossRef]
- Liu, H.; Sato, S. A two-phase flow model for asymmetric sheet-flow conditions. Coast. Eng. 2006, 53, 825–843. [Google Scholar] [CrossRef]
- Gelfenbaum, G.; Smith, J.D. Experimental evaluation of a generalized suspended-sediment transport theory. In Shelf Sands and Sandstones; Knight, R.J., McLean, J.R., Eds.; Memoir; Canadian Society of Petroleum Geologists: Calgary, AB, Canada, 1986; pp. 133–144. [Google Scholar]
- Beach, R.A.; Sternberg, R.W. Suspended sediment transport in the surf zone: Response to cross-shore infragravity motion. Mar. Geol. 1988, 80, 61–79. [Google Scholar] [CrossRef]
- Absi, R. Concentration profiles for fine and coarse sediments suspended by waves over ripples: An analytical study with the 1-DV gradient diffusion model. Adv. Water Resour. 2010, 33, 411–418. [Google Scholar] [CrossRef]
- Menter, F.R. Two-equation eddy-viscosity turbulence models for engineering applications. AIAA J. 1994, 32, 1598–1605. [Google Scholar] [CrossRef]
- Grasmeijer, B.T.; Chung, D.H.; van Rijn, L.C. Depth-integrated sand transport in the surf zone. In Proceedings of the 4th International Symposium on Coastal Engineering and Science of Coastal Sediment Processes Coastal Sediments, Hauppauge, NY, USA, 21–23 June 1999; ASCE: Reston, VA, USA, 1999; pp. 325–340. [Google Scholar]
- Sheng, J.; Hay, A.E. Sediment eddy diffusivities in the nearshore zone, from multifrequency acoustic backscatter. Cont. Shelf Res. 1995, 15, 129–147. [Google Scholar] [CrossRef]
- Leftheriotis, G.A.; Dimas, A.A. Morphodynamics of vortex ripple creation under constant and changing oscillatory flow conditions. Coast. Eng. 2022, 177, 104198. [Google Scholar] [CrossRef]
- Lee, T.H.; Hanes, D.M. Comparison of field observations of the vertical distribution of suspended sand and its prediction by models. J. Geophys. Res. 1996, 101, 3561–3572. [Google Scholar] [CrossRef]
- Van Rijn, L.C. Sand transport by currents and waves: General approximation formulae. In Proceedings of the Coastal Sediments ’03, Clearwater Beach, FL, USA, 18–23 May 2003; CD-ROM. East Meets West Productions: Corpus Christi, TX, USA, 2003. 14p. ISBN 981-238-422-7. [Google Scholar]
- Davies, A.G.; Ribberink, J.S.; Temperville, A.; Zyserman, J. Comparison between sediment transport models and observations made in wave and current flows above plane beds. Coast. Eng. 1997, 31, 63–198. [Google Scholar] [CrossRef]
- Huynh-Thanh, S.; Tran-Thu, T.; Temperville, A. A numerical model for suspended sediment in combined currents and waves. In Sediment Transport Mechanisms in Coastal Environments and Rivers, Euromech 310; Bélorgey, M., Rajaona, R.D., Sleath, J.F.A., Eds.; World Scientific Publishing: Singapore, 1994; pp. 122–130. [Google Scholar]
- Brors, B.; Eidsvik, K.J. Oscillatory boundary layer flows modelled with dynamic Reynolds stress turbulence closure. Cont. Shelf Res. 1994, 14, 1455–1475. [Google Scholar] [CrossRef]
- Thorne, P.D.; Williams, J.J.; Davies, A.G. Suspended sediments under waves measured in a large-scale flume facility. J. Geophys. Res. 2002, 107, 3178. [Google Scholar] [CrossRef]
- Thorne, P.D.; Davies, A.G.; Bell, P.S. Observations and analysis of sediment diffusivity profiles over sandy rippled beds under waves. J. Geophys. Res. 2009, 114, C02023. [Google Scholar] [CrossRef]
- Absi, R. Engineering modelling of wave-related suspended sediment transport over ripples. In Proceedings of the Coastal Sediments ‘11, 7th International Symposium on Coastal Engineering and Science of Coastal Sediment Processes, Miami, FL, USA, 2–6 May 2011; Rosati, J.D., Wang, P., Roberts, T.M., Eds.; World Scientific Publishing: Singapore, 2011; pp. 1096–1108. [Google Scholar]
- McFetridge, W.F.; Nielsen, P. Sediment Suspension By Non-Breaking Waves Over Rippled Beds; Technical Report No. UFL/COEL-85/005; Coastal Ocean Engineering Department, University of Florida: Gainesville, FL, USA, 1985. [Google Scholar]
- Nielsen, P.; Teakle, I.A.L. Turbulent diffusion of momentum and suspended particles: A finite-mixing-length-theory. Phys. Fluids 2004, 16, 2342–2348. [Google Scholar] [CrossRef]
- Absi, R. Comment on Turbulent diffusion of momentum and suspended particles: A finite-mixing-length theory. Phys. Fluids 2005, 17, 079101. [Google Scholar] [CrossRef]
- Absi, R. Modeling turbulent mixing and sand distribution in the bottom boundary layer. In Coastal Dynamics 2005—State of the Practice (Proceedings of the 5th International Conference), Barcelona, Spain, 4–8 April 2005; Sanchez-Arcilla, A., Ed.; ASCE: Reston, VA, USA, 2005. [Google Scholar]
- Absi, R. Eddy viscosity and velocity profiles in fully-developed turbulent channel flows. Fluid Dyn. 2019, 54, 137–147. [Google Scholar] [CrossRef]
- Absi, R. Analytical eddy viscosity model for velocity profiles in the outer part of closed- and open-channel flows. Fluid Dyn. 2021, 56, 577–586. [Google Scholar] [CrossRef]
- Absi, R. Reinvestigating the parabolic-shaped eddy viscosity profile for free surface flows. Hydrology 2021, 8, 126. [Google Scholar] [CrossRef]
- Tennekes, H.; Lumley, J.L. A First Course in Turbulence; Cambridge University Press: Cambridge, UK, 1972. [Google Scholar]
- Pope, S.B. Turbulent Flows; Cambridge University Press: Cambridge, UK, 2000. [Google Scholar]
- Absi, R. Analytical solutions for the modeled k-equation. ASME J. Appl. Mech. 2008, 75, 044501. [Google Scholar] [CrossRef]
- Absi, R. A simple eddy viscosity formulation for turbulent boundary layers near smooth walls. Comptes Rendus Mec. 2009, 337, 158–165. [Google Scholar] [CrossRef]
- El Gharbi, N.; Absi, R.; Benzaoui, A. Effect of different near-wall treatments on indoor airflow simulations. J. Appl. Fluid Mech. 2012, 5, 63–70. [Google Scholar]
- Wilcox, D.C. Reassessment of the scale-determining equation for advanced turbulent models. AIAA J. 1988, 26, 1299–1310. [Google Scholar] [CrossRef]
- Jones, W.P.; Launder, B.E. The prediction of laminarization with a two-equation model of turbulence. Int. J. Heat Mass Transf. 1972, 15, 301–314. [Google Scholar] [CrossRef]
- Van Rijn, L.C. Sediment Transport, Part II: Suspended Load Transport. J. Hydraul. Eng. ASCE 1984, 110, 1613–1641. [Google Scholar] [CrossRef]
- Graf, W.H.; Cellino, M. Suspension flows in open channels: Experimental study. J. Hydraul. Res. 2002, 40, 435–447. [Google Scholar] [CrossRef]
- Absi, R. Suspended sediments in environmental flows: Interpretation of concentration profiles shapes. Hydrology 2023, 10, 5. [Google Scholar] [CrossRef]
- Absi, R.; Marchandon, S.; Lavarde, M. Turbulent diffusion of suspended particles: Analysis of the turbulent Schmidt number. Defect Diffus. Forum 2011, 312–315, 794–799. [Google Scholar] [CrossRef]
- Jain, P.; Kumbhakar, M.; Ghoshal, K. A mathematical model on depth-averaged β-factor in open-channel turbulent fow. Environ. Earth Sci. 2018, 77, 253. [Google Scholar] [CrossRef]
- Absi, R. Rebuttal on A mathematical model on depth-averaged β-factor in open-channel turbulent flow. Environ. Earth Sci. 2020, 79, 113. [Google Scholar] [CrossRef]
- Gualtieri, C.; Angeloudis, A.; Bombardelli, F.; Jha, S.; Stoesser, T. On the Values for the Turbulent Schmidt Number in Environmental Flows. Fluids 2017, 2, 17. [Google Scholar] [CrossRef]












Disclaimer/Publisher’s Note: The statements, opinions and data contained in all publications are solely those of the individual author(s) and contributor(s) and not of MDPI and/or the editor(s). MDPI and/or the editor(s) disclaim responsibility for any injury to people or property resulting from any ideas, methods, instructions or products referred to in the content. |
© 2023 by the authors. Licensee MDPI, Basel, Switzerland. This article is an open access article distributed under the terms and conditions of the Creative Commons Attribution (CC BY) license (https://creativecommons.org/licenses/by/4.0/).
Share and Cite
Absi, R.; Tanaka, H. Analytical Eddy Viscosity Model for Turbulent Wave Boundary Layers: Application to Suspended Sediment Concentrations over Wave Ripples. J. Mar. Sci. Eng. 2023, 11, 226. https://doi.org/10.3390/jmse11010226
Absi R, Tanaka H. Analytical Eddy Viscosity Model for Turbulent Wave Boundary Layers: Application to Suspended Sediment Concentrations over Wave Ripples. Journal of Marine Science and Engineering. 2023; 11(1):226. https://doi.org/10.3390/jmse11010226
Chicago/Turabian StyleAbsi, Rafik, and Hitoshi Tanaka. 2023. "Analytical Eddy Viscosity Model for Turbulent Wave Boundary Layers: Application to Suspended Sediment Concentrations over Wave Ripples" Journal of Marine Science and Engineering 11, no. 1: 226. https://doi.org/10.3390/jmse11010226
APA StyleAbsi, R., & Tanaka, H. (2023). Analytical Eddy Viscosity Model for Turbulent Wave Boundary Layers: Application to Suspended Sediment Concentrations over Wave Ripples. Journal of Marine Science and Engineering, 11(1), 226. https://doi.org/10.3390/jmse11010226
