The Characterization and Optimization of an Underwater Gamma-Ray Detection System (DUGS)
Abstract
1. Introduction
2. System Architecture and Measurement Configuration
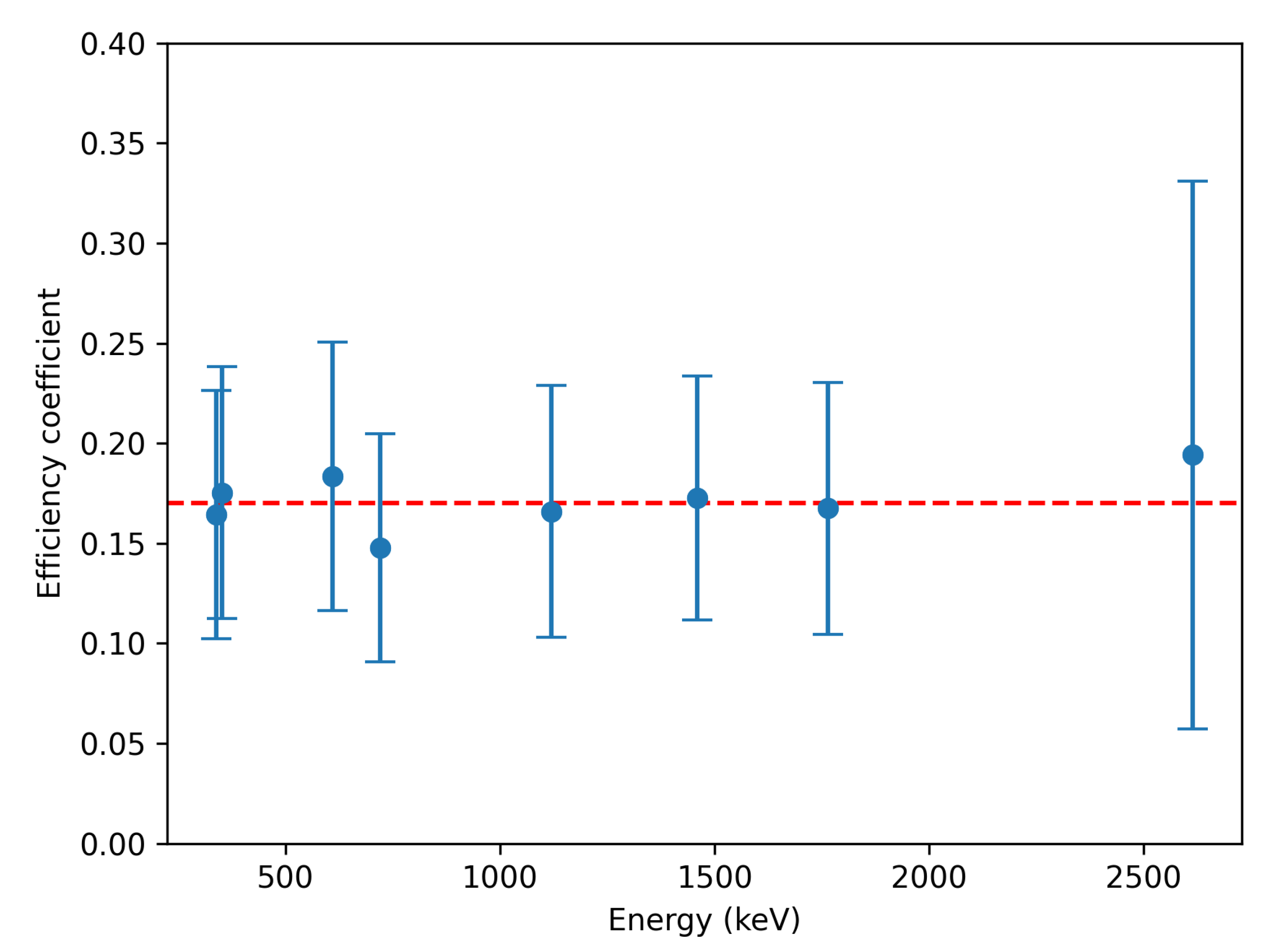
3. Attenuation Characteristics and Efficiency
3.1. Materials and Methods
3.2. Results and Discussion
4. Survey Speed and Accumulation Time of the DUGS
4.1. Materials and Methods
4.2. Results and Discussion
5. Comparison of the Energy Window and Full Spectrum Analysis Methods
5.1. Materials and Methods
5.2. Results and Discussion
6. Conclusions
Author Contributions
Funding
Institutional Review Board Statement
Informed Consent Statement
Data Availability Statement
Conflicts of Interest
References
- IAEA. Radiotracer and Sealed Source Techniques for Sediment Management: Report of the CM, 21–25 April 2008; IAEA: Vienna, Austria, 2008. [Google Scholar]
- Bezuidenhout, J. The investigation of natural radionuclides as tracers for monitoring sediment processes. J. Appl. Geophys. 2020, 181, 104135. [Google Scholar] [CrossRef]
- Macdonald, W.G.; Rozendaal, A.; de Meijer, R.J. Radiometric characteristics of heavy mineral deposits along the west coast of South Africa. Miner. Depos. 1997, 32, 371–381. [Google Scholar] [CrossRef]
- Tsabaris, C.; Bagatelas, C.; Dakladas, T.; Papadopoulos, C.T.; Vlastou, R.; Chronis, G.T. An autonomous in situ detection system for radioactivity measurements in the marine environment. Appl. Radiat. Isot. 2008, 66, 1419–1426. [Google Scholar] [CrossRef] [PubMed]
- Tsabaris, C.; Zervakis, V.; Kaberi, H.; Delfanti, R.; Georgopoulos, D.; Lampropoulou, M.; Kalfas, C.A. 137Cs vertical distribution at the deep basins of the North and Central Aegean Sea, Greece. J. Environ. Radioact. 2014, 132, 47–56. [Google Scholar] [CrossRef] [PubMed]
- Zhang, G.L.; Zhang, W.J.; Li, H.L.; Cao, W.Z.; Da Wang, B.; Guo, W.S.; Gao, P. Waterproofing behavior of sealing gaskets for circumferential joints in shield tunnels: A full-scale experimental investigation. Tunn. Undergr. Sp. Technol. 2021, 108, 103682. [Google Scholar] [CrossRef]
- Kim, J.H.; Park, K.H.; Joo, K.S. Development of low-cost, compact, real-time, and wireless radiation monitoring system in underwater environment. Nucl. Eng. Technol. 2018, 50, 801–805. [Google Scholar] [CrossRef]
- Zhang, Y.; Wu, B.; Liu, D.; Zhang, Y.; Cheng, Y. Development and deployment of an autonomous sensor for the in-situ radioactivity measurement in the marine environment. Appl. Radiat. Isot. 2018, 142, 181–186. [Google Scholar] [CrossRef]
- Osvath, I.; Povinec, P.P. Seabed γ-ray spectrometry: Applications at IAEA-MEL. J. Environ. Radioact. 2001, 53, 335–349. [Google Scholar] [CrossRef]
- Naumenko, A.; Andrukhovich, S.; Kabanov, V.; Kabanau, D.; Kurochkin, Y.; Martsynkevich, B.; Shoukavy, D.; Shpak, P. Autonomous NaI(Tl) gamma-ray spectrometer for in situ underwater measurements. Nucl. Instrum. Methods Phys. Res. Sect. A Accel. Spectrometers Detect. Assoc. Equip. 2018, 908, 97–109. [Google Scholar] [CrossRef]
- Tsabaris, C.; Ballas, D. On line gamma-ray spectrometry at open sea. Appl. Radiat. Isot. 2005, 62, 83–89. [Google Scholar] [CrossRef]
- Kilel, K.K.; Bezuidenhout, J.; Gatari, M.J.; le Roux, R.R.; Kaniu, M.I. A low-cost delta underwater gamma system (DUGS) for in-situ measurement of natural radionuclides in aquatic sediments. J. Radioanal. Nucl. Chem. 2022, 1–9. [Google Scholar] [CrossRef]
- Berger, M.J.; Hubbell, J.H.; Seltzer, S.M.; Chang, J.; Coursey, J.S.; Sukumar, R.; Zucker, D.S.; Olsen, K. XCOM: Photon Cross Sections Database. NIST. Available online: https://www.nist.gov/pml/xcom-photon-cross-sections-database (accessed on 28 July 2021).
- Gürler, O.; Yalçin, S.; Tarim, U.A. A Quick Method to Calculate NaI(Tl) Detector Efficiency Depending on Gamma ray Energy and Source-to-detector Distance. Celal Bayar Üniversitesi Fen Bilim. Derg. 2018, 14, 195–199. [Google Scholar]
- Nakamura, T. Monte Carlo calculation of efficiencies and response functions of NaI(Tl) crystals for thick disk gamma-ray sources and its application to Ge(Li) detectors. Nucl. Instr. Methods 1972, 105, 77–89. [Google Scholar] [CrossRef]
- Yalcin, S.; Gurler, O.; Kaynak, G.; Gundogdu, O. Calculation of total counting efficiency of a NaI(Tl) detector by hybrid Monte-Carlo method for point and disk sources. Appl. Radiat. Isot. 2007, 65, 1179–1186. [Google Scholar] [CrossRef]
- Jehouani, A.; Ichaoui, R.; Boulkheir, M. Study of the NaI(Tl) efficiency by Monte Carlo method. Appl. Radiat. Isot. 2000, 53, 887–891. [Google Scholar] [CrossRef]
- Ogundare, F.O.; Oniya, E.O.; Balogun, F.A. Dependence of NaI(Tl) detector intrinsic efficiency on source-detector distance, energy and off-axis distance: Their implications for radioactivity measurements. Pramana 2008, 70, 863–874. [Google Scholar] [CrossRef]
- Knoll, G.F. Radiation Detection and Measurement; John Wiley & Sons: Hoboken, NJ, USA, 2010; ISBN 0470131489. [Google Scholar]
- Toivonen, H.; Dowdall, M. Angular insensitivity of a gamma spectrometer for in-field applications. Appl. Radiat. Isot. 2023, 191, 110561. [Google Scholar] [CrossRef]
- van Wijngaarden, M.; Venema, L.B.; de Meijer, R.J.; Zwolsman, J.J.G.; Van Os, B.; Gieske, J.M.J. Radiometric sand-mud characterisation in the Rhine-Meuse estuary part A. Fingerprinting. Geomorphology 2002, 43, 87–101. [Google Scholar] [CrossRef]
- Hubbell, J.H. Photon mass attenuation and energy-absorption coefficients. Int. J. Appl. Radiat. Isot. 1982, 33, 1269–1290. [Google Scholar] [CrossRef]
- Tsabaris, C.; Zervakis, V.; Georga, H.; Pappa, F.K.; Alexakis, S.; Krasakopoulou, E.; Patiris, D.L. In situ characterization using natural radio-tracers in a submarine freshwater spring, Kiveri, Greece. J. Environ. Radioact. 2021, 233, 106583. [Google Scholar] [CrossRef]
- Agar, O.; Tekin, H.O.; Sayyed, M.I.; Korkmaz, M.E.; Culfa, O.; Ertugay, C. Experimental investigation of photon attenuation behaviors for concretes including natural perlite mineral. Results Phys. 2019, 12, 237–243. [Google Scholar] [CrossRef]
- Venema, L.B.; De Meijer, R.J. Natural radionuclides as tracers of the dispersal of dredge spoil dumped at sea. J. Environ. Radioact. 2001, 55, 221–239. [Google Scholar] [CrossRef] [PubMed]
- Galloway, W.E. Process framework for describing the morphologic and stratigraphic evolution of deltaic depositional systems. In Deltas: Models for Exploration; Houston Geological Society: Houston, TX, USA, 1975; pp. 87–98. [Google Scholar]
- Bezuidenhout, J. In situ gamma ray measurements of radionuclides at a disused phosphate mine on the West Coast of South Africa. J. Environ. Radioact. 2015, 150, 1–8. [Google Scholar] [CrossRef] [PubMed]
- Caciolli, A.; Baldoncini, M.; Bezzon, G.P.; Broggini, C.; Buso, G.P.; Callegari, I.; Colonna, T.; Fiorentini, G.; Guastaldi, E.; Mantovani, F.; et al. A new FSA approach for in situ γ ray spectroscopy. Sci. Total Environ. 2012, 414, 639–645. [Google Scholar] [CrossRef]










| Energy Window | Full Spectrum | |||||
|---|---|---|---|---|---|---|
| Nuclide | K | U | Th | K | U | Th | 
| Average | 143.2 | 6.8 | 10.8 | 122.8 | 21.6 | 14.9 | 
| Standard Dev | 76.6 | 14.5 | 13.4 | 73.5 | 21.7 | 14.2 | 
| Disclaimer/Publisher’s Note: The statements, opinions and data contained in all publications are solely those of the individual author(s) and contributor(s) and not of MDPI and/or the editor(s). MDPI and/or the editor(s) disclaim responsibility for any injury to people or property resulting from any ideas, methods, instructions or products referred to in the content. | 
© 2023 by the authors. Licensee MDPI, Basel, Switzerland. This article is an open access article distributed under the terms and conditions of the Creative Commons Attribution (CC BY) license (https://creativecommons.org/licenses/by/4.0/).
Share and Cite
Bezuidenhout, J.; le Roux, R.R.; Kilel, K.K. The Characterization and Optimization of an Underwater Gamma-Ray Detection System (DUGS). J. Mar. Sci. Eng. 2023, 11, 171. https://doi.org/10.3390/jmse11010171
Bezuidenhout J, le Roux RR, Kilel KK. The Characterization and Optimization of an Underwater Gamma-Ray Detection System (DUGS). Journal of Marine Science and Engineering. 2023; 11(1):171. https://doi.org/10.3390/jmse11010171
Chicago/Turabian StyleBezuidenhout, Jacques, Rikus R. le Roux, and Kennedy K. Kilel. 2023. "The Characterization and Optimization of an Underwater Gamma-Ray Detection System (DUGS)" Journal of Marine Science and Engineering 11, no. 1: 171. https://doi.org/10.3390/jmse11010171
APA StyleBezuidenhout, J., le Roux, R. R., & Kilel, K. K. (2023). The Characterization and Optimization of an Underwater Gamma-Ray Detection System (DUGS). Journal of Marine Science and Engineering, 11(1), 171. https://doi.org/10.3390/jmse11010171
 
        


 
       