Hydraulic Performance of Geotextile Sand Containers for Coastal Defenses
Abstract
:1. Introduction
2. Theory
2.1. Wave Reflection of Emerged Structures
- -
- for a regular (monochromatic) wave, the definition is , where is the reflection coefficient, is the reflected wave height and is the incident wave height;
- -
- for random (irregular) waves, in wave flume tests, this definition could not be applied, and the reflection coefficient is calculated as , where is the reflected wave energy, and is the incident wave energy.
2.2. Wave Transmission and Induced Piling-Up for Submerged Barriers
2.3. The GSC Structural Stability
3. GSC Features and Application
4. Experimental Setup
4.1. Test Configurations for the Adherent Revetment Structure
4.2. Test Configurations for Submerged Breakwaters
5. Experimental Results
5.1. Wave Reflection
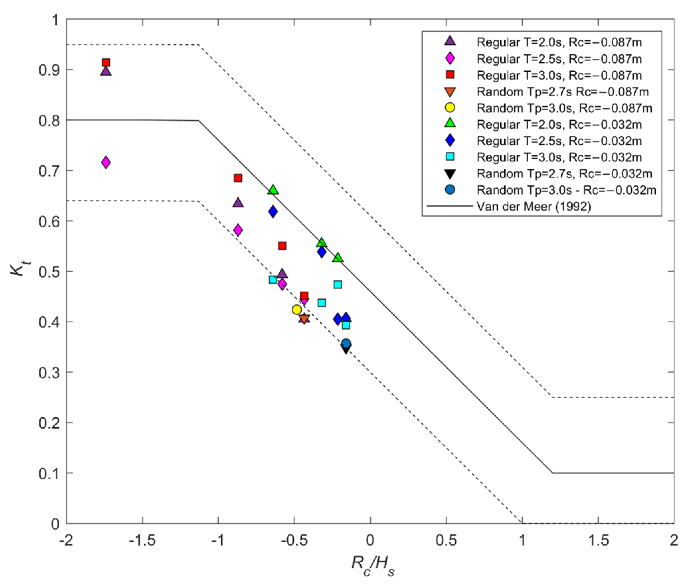
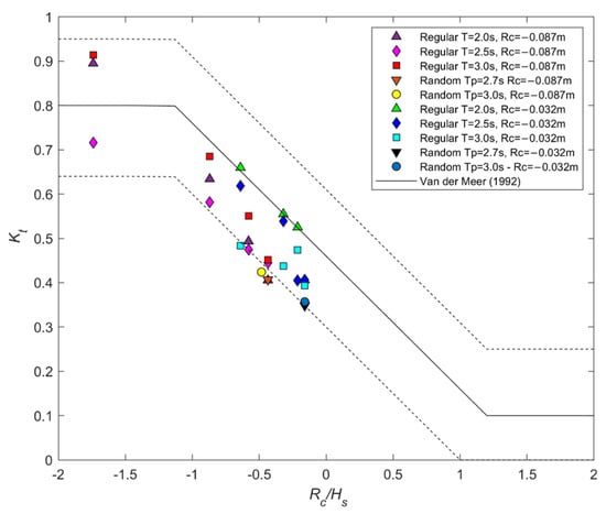
5.2. Wave Transmission of Submerged Barriers
5.3. Piling-Up for Submerged GSC Breakwater
5.4. Structural Stability Analysis of Geotextile Container Structures
6. Conclusions
Author Contributions
Funding
Acknowledgments
Conflicts of Interest
References
- Hornsey, W.P.; Carley, J.T.; Coghlan, R.J.; Cox, R.J. Geotextile sand container shoreline protection systems: Design and application. Geotextile Geomembr. 2011, 29, 425–439. [Google Scholar] [CrossRef]
- Seelig, W.N. Two-Dimensional Tests of Wave Transmission and Reflection Characteristics of Laboratory Breakwaters; Technical Report 80-1; U.S. Army Corps of Engineers, Coastal Engineering Research Center: Washington, DC, USA, 1980. [Google Scholar]
- Sollitt, C.K.; DeBok, D.H. Large Scale Model Tests of Placed Stone Breakwaters. In Proceedings of the 15th International Conference on Coastal Engineering, Honolulu, HI, USA, 11–17 July 1976; Volume 3, pp. 2572–2588. [Google Scholar]
- Seelig, W.N.; Ahrens, J.P. Estimation of Wave Reflection and Energy Dissipation Coefficients for Beaches, Revetments, and Breakwaters. Technical Paper NO. 81-1; U.S. Army Corps of Engineers, Coastal Engineering Research Center: Washindton, DC, USA, 1981. [Google Scholar]
- Allsop, N.W.H.; Channell, A.R. Wave Reflections in Harbours; Report OD 102; Hydraulic Research Wallingford: Wallingford, UK, 1989. [Google Scholar]
- Postma, G.M. Wave Reflection from Rock Slopes Under Random Wave Attack. Master’s Thesis, Delft University of Technology, Delft, The Netherlands, 1989. [Google Scholar]
- Van der Meer, J.W. Data on Wave Transmission due to Overtopping; Delft Hydraulics: Marknesse, The Netherlands, Lab. Report H986; 1990. [Google Scholar]
- Van der Meer, J.W. Conceptual design of rubble mound breakwaters. In Proceedings of the Short Course on Design and Reliability of Coastal Structures attached to the 23rd International Conference on Coastal Engineering, Venice, Italy, 1–3 October 1992; pp. 447–510. [Google Scholar]
- Zanuttigh, B.; Van der Meer, J.W. Wave reflection for coastal structures. In Proceedings of the 30th International Conference on Coastal Engineering, Diego, CA, USA, 3–8 September 2006; Volume 5, pp. 4337–4349. [Google Scholar]
- Battjes, J.A. Surf similarity. In Proceedings of the 14th International Conference on Coastal Engineering, Copenhagen, Denmark, 24–28 June 1974; Volume 1, pp. 154–172. [Google Scholar]
- Van der Meer, J.W.; Pilarczyc, K.V. Stability of Breakwater Armour Layers—Deterministic and Probabilistic Design; Delft Hydraulic Communication No. 378; Rijkswaterstaat: Utrecht, The Netherlands, 1987. [Google Scholar]
- Lorenzoni, C.; Postacchini, M.; Brocchini, M.; Mancinelli, A. Experimental study of the short-term efficiency of different breakwater configurations on beach protection. J. Ocean. Eng. Mar. Energy 2016, 2, 195–210. [Google Scholar] [CrossRef]
- Steenhauer, K.; Pokrajac, D.; O’Donoghue, T. Numerical model of swash motion and air entrapment within coarse-grained beaches. Coast. Eng. 2012, 64, 113–126. [Google Scholar] [CrossRef]
- Kikkert, G.A.; Pokrajac, D.; O’Donoghue, T.; Steenhauer, K. Experimental study of bore-driven swash hydrodynamics on permeable rough slopes. Coast. Eng. 2013, 79, 42–56. [Google Scholar] [CrossRef]
- Lorenzoni, C.; Postacchini, M.; Mancinelli, A.; Brocchini, M. The morphological response of beaches protected by different breakwater configurations. In Proceedings of the 33rd International Conference of Coastal Engineering, Santander, Spain, 15 December 2012; Volume 1. Number 33, sediment.52. [Google Scholar] [CrossRef]
- Burcharth, H.F.; Hawkins, S.J.; Zanuttigh, B.; Lamberti, A. Environmental Design Guidelines for Low Crested Coastal Structures; Elsevier: Amsterdam, The Netherlands, 2007. [Google Scholar]
- Ruol, P.; Faedo, A.; Paris, A. Prove sperimentali sul comportamento di una scogliera a cresta bassa e sul fenomeno del piling-up a tergo di essa. Studi Costieri 2003, 7, 41–59. (In Italian) [Google Scholar]
- Calabrese, M.; Vicinanza, D.; Buccino, M. 2D wave setup behind submerged breakwaters. Ocean. Eng. 2008, 35, 1015–1028. [Google Scholar]
- Calabrese, M.; Vicinanza, D.; Buccino, M. 2D wave set up behind low crested and submerged breakwaters. In Proceedings of the 13th International Society of Offshore and Polar Engineers (ISOPE), Honolulu, HI, USA, 25–30 May 2003; Volume 3, pp. 831–836. [Google Scholar]
- Dalrymple, R.; Dean, R. Discussion of Piling-up behind low and submerged permeable breakwaters by Diskin et al. J. Waterw. Harb. Coast. Eng. Div. 1971, 97, 423–427. [Google Scholar] [CrossRef]
- Loveless, J.; Debski, D.; MacLeod, A. Sea level set-up behind detached breakwaters. In Proceedings of the 26th International Conference on Coastal Engineering, Copenhagen, Denmark, 22–26 June 1998; ASCE: Reston, VA, USA, 1998; Volume 2, pp. 1665–1678. [Google Scholar]
- Calabrese, M.; Vicinanza, D.; Buccino, M. Verification and re-calibration of an engineering method for predicting 2D wave set up behind submerged breakwaters. In Proceedings of the Second International Coastal Symposium (ICS) 2005, Icelandic Maritime Administration, Höfn, Iceland, 5–8 June 2005; Volume B8-4, p. 14. [Google Scholar]
- Soldini, L.; Lorenzoni, C.; Brocchini, M.; Mancinelli, A.; Cappietti, L. Modeling of the wave setup inshore of an array of submerged breakwaters. J. Waterw. Port Coast. Ocean. Eng. 2009, 135, 38–51. [Google Scholar] [CrossRef]
- Diskin, M.; Vajda, M.; Amir, I. Piling-up behind low and submerged permeable breakwaters. J. Waterw. Harb. Coast. Eng. Div. 1970, 96, 359–372. [Google Scholar] [CrossRef]
- Pilarczyk, K.W. Design of low-crested (submerged) structures—An overview. In Proceedings of the 6th International Conference on Coastal and Port Engineering in Developing Countries, Colombo, Sri Lanka, 15–19 September 2003; pp. 1–16. [Google Scholar]
- Lorenzoni, C.; Piattella, A.; Soldini, L.; Mancinelli, A.; Brocchini, M. An experimental investigation of the hydrodynamic circulation in the presence of submerged breakwaters. In Proceedings of the 5th International Symposium on Ocean Measurements and Analysis, Madrid, Spain, 3–7 July 2005. Paper 125. [Google Scholar]
- Van der Meer, J.W.; Briganti, R.; Zanuttigh, B.; Wang, B. Wave transmission and reflection at low-crested structures: Design formulae, oblique wave attack and spectral change. Coast. Eng. 2005, 52, 915–929. [Google Scholar] [CrossRef]
- Postacchini, M.; Brocchini, M.; Corvaro, S.; Lorenzoni, C.; Mancinelli, A. Comparative analysis of sea wave dissipation induced by three flow mechanisms. J. Hydraul. Res. 2011, 49, 554–561. [Google Scholar] [CrossRef]
- Lorenzoni, C.; Soldini, L.; Brocchini, M.; Mancinelli, A.; Postacchini, M.; Seta, E.; Corvaro, S. Working of defense coastal structures dissipating by macroroughness. J. Waterw. Port Coast. Ocean. Eng. 2010, 136, 79–90. [Google Scholar] [CrossRef]
- Losada, I.J.; Lara, J.L.; Guanche, R.; Gonzalez-Ondina, J.M. Numerical analysis of wave overtopping of rubble mound breakwaters. Coast. Eng. 2008, 55, 47–62. [Google Scholar] [CrossRef]
- Marini, F.; Mancinelli, A.; Corvaro, S.; Rocchi, S.; Lorenzoni, C. Coastal submerged structures adaptation to sea level rise over different beach profiles. Ital. J. Eng. Geol. Environ. 2020, 20, 87–98. [Google Scholar]
- Marini, F.; Corvaro, S.; Rocchi, S.; Lorenzoni, C.; Mancinelli, A. Semi-Analytical Model for the Evaluation of Shoreline Recession Due to Waves and Sea Level Rise. Water 2022, 14, 1305. [Google Scholar] [CrossRef]
- Oumeraci, H.; Hinz, M.; Bleck, M.; Kortenhaus, A. Sand-filled Geotextile Containers for Shore Protection. In Proceedings of the Coastal Structures 2003, Portland, OR, USA, 26–30 August 2003. [Google Scholar]
- Recio, J.M.; Oumeraci, H. Process based stability formulae for coastal structures made of geotextile sand containers. Coast. Eng. 2009, 56, 632–658. [Google Scholar] [CrossRef]
- Recio, J.M.; Oumeraci, H. Processes affecting the hydraulic stability of coastal revetments made of geotextile sand containers. Coast. Eng. 2009, 56, 260–284. [Google Scholar] [CrossRef]
- Dassanayake, D.T.; Oumeraci, H. Hydraulic stability of coastal structures made of geotextile sand containers (GSCs): Effect of engineering properties of GSCs. In Proceedings of the 33th International Conference on Coastal Engineering, Santander, Spain, 1–6 July 2012; Volume 1. structures 55. [Google Scholar]
- Dassanayake, D.T.; Oumeraci, H. Engineering Properties of geotextile sand containers and their effect on hydraulic stability and damage. Development of low-crested/submerged structures. Int. J. Ocean. Clim. Syst. 2012, 3, 135–150. [Google Scholar] [CrossRef]
- Hudson, R. Laboratory investigation of rubble-mound breakwaters. J. Waterw. Harb. Div. 1956, 93–118. [Google Scholar]
- Jackson, L.A.; Reichelt, R.E.; Restall, S.; Corbett, B.; Tomlinson, R.; McGrath, J. Marine ecosystem enhancement on a geotextile coastal protection reef-Narrowneck reef case study. In Proceedings of the 29th International Conference on Coastal Engineering, Lisbon, Potugal, 19–24 September 2004; pp. 3940–3952. [Google Scholar]
- Taylor, J.T.; Southgate, P.C.; Rose, R.A. Assessment of artificial substrates for collection of hatchery-reared silver-lip pearl oyster (Pinctada maxima, Jameson) spat. Aquaculture 1998, 162, 219–230. [Google Scholar] [CrossRef]
- Varrello, R.; Wetzel, M.A.; Cima, F. Two facets of geotextiles in coastal ecosystems: Anti- or profouling effects? Mar. Environ. Res. 2021, 170, 105414. [Google Scholar] [CrossRef] [PubMed]
- Corvaro, S.; Marini, F.; Mancinelli, A.; Lorenzoni, C. Scour protection around a single slender pile exposed to waves. In Proceedings of the 36th International Conference of Coastal Engineering, Baltimore, MD, USA, 30 July–3 August 2018. [Google Scholar]
- Mansard, E.P.D.; Funke, E.R. The measurement of incident and reflected spectra using a least squares method. In Proceedings of the 17th International Conference on Coastal Engineering, Sydney, Australia, 23–28 March 1980; Volume 1, pp. 154–172. [Google Scholar]
- Isaacson, M. Measurement of Regular Wave Reflection. J. Waterw. Port Coast. Ocean. Eng. 1991, 117, 553–569. [Google Scholar] [CrossRef]
- Recio, J.; Oumeraci, H. Hydraulic permeability of structures made of geotextile sand containers: Laboratory tests and conceptual model. Geotextile Geomembr. 2008, 27, 473–487. [Google Scholar] [CrossRef]
- Goda, Y.; Morinobu, K. Breaking wave heights on horizontal bed affected by approach slope. Coast. Eng. J. 1998, 40, 307–326. [Google Scholar] [CrossRef]
- Eldeberky, Y. Nonlinear Transformation of Wave Spectra in the Nearshore Zone; Communications on hydraulic and geotechnical engineering, Delft University of Technology: Delft, The Netherlands, 1996; Report No. 96-4. [Google Scholar]




















| Property | Model | Prototype |
|---|---|---|
| Tensile strenght (kN/m) | 6.7 | 85/130 |
| Elongation (%) | >45 | >60 |
| Permeability (L/m2·s) | 120 | 17 |
| Thickness (mm) | 0.6 | 8.7 |
| Mass per area (g/m2) | 100 | 1500 |
| Opening size (mm) | 0.11 | 0.05 |
| H (m) | T (s) | Slope 1:1 | Slope 1:1.5 | Slope 1:2 | |||
|---|---|---|---|---|---|---|---|
| h (m) | h (m) | h (m) | |||||
| 0.05 | 1.5 | 0.40 | 0.61 | 0.40 | - | 0.40 | - |
| 0.10 | 1.5 | 0.40 | 0.61 | 0.40 | - | 0.40 | - |
| 0.15 | 1.5 | 0.40 | 0.61 | 0.40 | - | 0.40 | - |
| 0.20 | 1.5 | 0.40 | 0.61 | 0.40 | - | 0.40 | - |
| 0.05 | 2.0 | 0.40 | 0.61 | - | - | 0.40 | 0.61 |
| 0.10 | 2.0 | 0.40 | 0.61 | - | - | 0.40 | 0.61 |
| 0.15 | 2.0 | 0.40 | 0.61 | - | - | 0.40 | - |
| 0.20 | 2.0 | 0.40 | 0.61 | - | - | 0.40 | - |
| 0.05 | 2.5 | 0.40 | 0.61 | - | - | 0.40 | 0.61 |
| 0.10 | 2.5 | 0.40 | 0.61 | - | - | 0.40 | 0.61 |
| 0.15 | 2.5 | 0.40 | 0.61 | - | - | 0.40 | 0.61 |
| 0.20 | 2.5 | 0.40 | 0.61 | - | - | 0.40 | 0.61 |
| 0.05 | 3.0 | 0.40 | 0.61 | 0.40 | - | 0.40 | - |
| 0.10 | 3.0 | 0.40 | 0.61 | 0.40 | - | 0.40 | - |
| 0.15 | 3.0 | 0.40 | 0.61 | 0.40 | - | 0.40 | - |
| 0.20 | 3.0 | 0.40 | 0.61 | 0.40 | - | 0.40 | - |
| 0.05 | 3.5 | 0.40 | 0.61 | - | - | 0.40 | - |
| 0.10 | 3.5 | 0.40 | 0.61 | - | - | 0.40 | - |
| 0.15 | 3.5 | 0.40 | 0.61 | - | - | 0.40 | - |
| 0.20 | 3.5 | 0.40 | 0.61 | - | - | 0.40 | - |
| Regular Waves | 6 GSC Layers | 7 GSC Layers | ||||
|---|---|---|---|---|---|---|
| H (m) | T (s) | h (m) | Rc (m) | B (m) | Rc (m) | B (m) |
| 0.05 | 2.0 | 0.42 | −0.087 | 1.00 | −0.032 | 1.25 |
| 0.10 | 2.0 | 0.42 | −0.087 | 1.00 | −0.032 | 1.25 |
| 0.15 | 2.0 | 0.42 | −0.087 | 1.00 | −0.032 | 1.25 |
| 0.20 | 2.0 | 0.42 | −0.087 | 1.00 | −0.032 | 1.25 |
| 0.05 | 2.5 | 0.42 | −0.087 | 1.00 | −0.032 | 1.25 |
| 0.10 | 2.5 | 0.42 | −0.087 | 1.00 | −0.032 | 1.25 |
| 0.15 | 2.5 | 0.42 | −0.087 | 1.00 | −0.032 | 1.25 |
| 0.20 | 2.5 | 0.42 | −0.087 | 1.00 | −0.032 | 1.25 |
| 0.05 | 3.0 | 0.42 | −0.087 | 1.00 | −0.032 | 1.25 |
| 0.10 | 3.0 | 0.42 | −0.087 | 1.00 | −0.032 | 1.25 |
| 0.15 | 3.0 | 0.42 | −0.087 | 1.00 | −0.032 | 1.25 |
| 0.20 | 3.0 | 0.42 | −0.087 | 1.00 | −0.032 | 1.25 |
| Random Waves | 6 GSC Layers | 7 GSC Layers | ||||
| Hs (m) | Tp (m) | h (m) | Rc(m) | B(m) | Rc(m) | B(m) |
| 0.20 | 2.7 | 0.42 | −0.087 | 1.00 | −0.032 | 1.25 |
| 0.18 | 3.0 | 0.42 | −0.087 | 1.00 | −0.032 | 1.25 |
Publisher’s Note: MDPI stays neutral with regard to jurisdictional claims in published maps and institutional affiliations. |
© 2022 by the authors. Licensee MDPI, Basel, Switzerland. This article is an open access article distributed under the terms and conditions of the Creative Commons Attribution (CC BY) license (https://creativecommons.org/licenses/by/4.0/).
Share and Cite
Corvaro, S.; Lorenzoni, C.; Mancinelli, A.; Marini, F.; Rocchi, S. Hydraulic Performance of Geotextile Sand Containers for Coastal Defenses. J. Mar. Sci. Eng. 2022, 10, 1321. https://doi.org/10.3390/jmse10091321
Corvaro S, Lorenzoni C, Mancinelli A, Marini F, Rocchi S. Hydraulic Performance of Geotextile Sand Containers for Coastal Defenses. Journal of Marine Science and Engineering. 2022; 10(9):1321. https://doi.org/10.3390/jmse10091321
Chicago/Turabian StyleCorvaro, Sara, Carlo Lorenzoni, Alessandro Mancinelli, Francesco Marini, and Stefania Rocchi. 2022. "Hydraulic Performance of Geotextile Sand Containers for Coastal Defenses" Journal of Marine Science and Engineering 10, no. 9: 1321. https://doi.org/10.3390/jmse10091321
APA StyleCorvaro, S., Lorenzoni, C., Mancinelli, A., Marini, F., & Rocchi, S. (2022). Hydraulic Performance of Geotextile Sand Containers for Coastal Defenses. Journal of Marine Science and Engineering, 10(9), 1321. https://doi.org/10.3390/jmse10091321

