Seasonal Variations in the Fish Species Composition and Community Structures on the Eastern Coast of South Korea
Abstract
1. Introduction
2. Materials and Methods
3. Results
3.1. Water Temperature
3.2. Species Composition
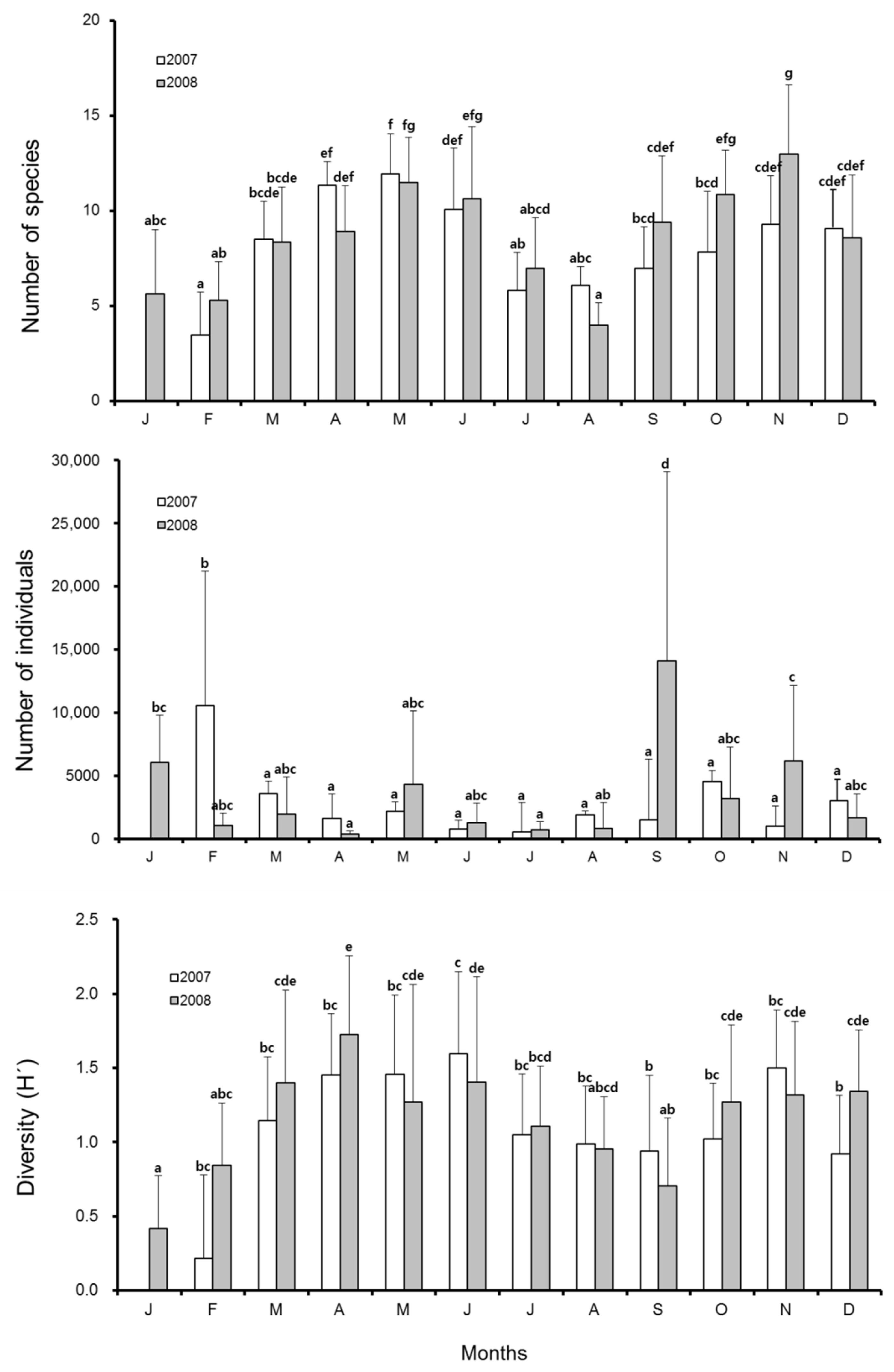
3.3. Monthly Variations in Fish Species
3.4. Analysis of the Fish Community
4. Discussion
Supplementary Materials
Author Contributions
Funding
Institutional Review Board Statement
Informed Consent Statement
Data Availability Statement
Acknowledgments
Conflicts of Interest
References
- Gong, Y.; Son, S.-J. A study for ocean thermal front in the East Sea of Korea. Bull. Natl. Fish. Res. Dev. Agency 1982, 28, 25–54. [Google Scholar]
- Kim, Y.S.; Nam, M.M. Fish fauna in the East Sea. In Current and Preservation of Korean Fishes; Son, Y.M., Ed.; The Korean Ichthyological Society, 2003; pp. 5–36. (In Korean) [Google Scholar]
- MOMAF (Ministry of Maritime Affairs and Fisheries). Relationship and Dynamics between Climate Change and Fishery Resources in the East Sea of Korea; MOMAF: Seoul, Korea, 2003; pp. 144–157. [Google Scholar]
- NFRDI (National Fisheries Research & Development Institute). Korean Coastal and Offshore Fishery Census; NFRDI Technical report; NFRDI: Busan, Korea, 2004; pp. 87–208. [Google Scholar]
- Chun, Y.-Y.; Hwang, S.-J.; Hur, Y.-H.; Han, K.-H. Characteristics of the distribution of ichthyoplankton along the eastern coast of Korea. J. Korean Soc. Fish. Res. 2004, 6, 112–115. [Google Scholar]
- Zhang, C.I.; Lee, J.B.; Kim, S.; Oh, J.-H. Climatic regime shift and their impact on marine ecosystem and fisheries resources in Korean waters. Prog. Ocean 2000, 47, 171–190. [Google Scholar] [CrossRef]
- Zhang, C.I.; Lee, J.B. Stock assessment and management implications of horse mackerel (Trachurus japonicus) in Korean Waters, based on the relationships between recruitment and the ocean environment. Prog. Ocean 2001, 49, 513–537. [Google Scholar] [CrossRef]
- Zhang, C.I.; Lee, J.B.; Seo, Y.I.; Yoon, S.C.; Kim, S. Variations in the abundance of fisheries resources and ecosystem structure in the Japan/East Sea. Pro. Ocean 2004, 61, 245–265. [Google Scholar] [CrossRef]
- Cho, K.-D. Studies on the distribution and fluctuation of the purse-seine fishing grounds in relation to oceano-graphic conditions in the East China Sea. 1. The distribution of mackerels and jack mackerel fishing grounds. Korean J. Fish. Aquat. Sci. 1981, 14, 239–252. [Google Scholar]
- KOSTAT (Statistics Korea). The Changes in Catches of Major Fish Species due to Climate (Water Temperature) Changes (in Korean). Statistics Korea, Daejeon. Available online: http://kostat.go.kr/portal/korea/kor_nw/1/index.board?bmode (accessed on 10 May 2019).
- Ryu, J.H.; Kim, P.-K.; Kim, J.K.; Kim, H.J. Seasonal variation of species composition of fishes collected by gill net and set net in the middle East Sea of Korea. Korean J. Ichthyol. 2005, 17, 279–286. [Google Scholar]
- Lee, S.-J.; Yand, J.-H.; Seo, Y.-I.; Kim, J.-K. Species composition and assemblage structure of fish collected by set net at the coastal waters of Goseong in Gangwon-do, Korea. Korean J. Ichthyol. 2021, 33, 95–106. [Google Scholar] [CrossRef]
- Kim, I.-N.; Lee, T.-S. Summer hydrographic features of the East Sea analyzed by the optimum multiparameter method. Ocean Polar Res. 2004, 26, 581–594. [Google Scholar] [CrossRef]
- Yoon, S.C.; Youn, S.H.; Sim, M.J.; Yoon, Y.Y. Characteristics and variation trend of water mass in offshore of the east coast of Korea during last 10 years. J. Korean Soc. Mar. Environ. Energy 2017, 20, 193–199. [Google Scholar] [CrossRef]
- Nelson, J.S. Fishes of the World, 3rd ed.; John Wiley & Sons: New York, NY, USA, 1994; pp. 1–600. [Google Scholar]
- Kim, I.-S.; Choi, Y.; Lee, C.-L.; Lee, Y.-J.; Kim, B.-J.; Kim, J.H. Illustrated Book of Korean Fishes; Kyo-Hak Publishing Co., Ltd.: Seoul, Korea, 2005; p. 615. [Google Scholar]
- KORDI (Korea Ocean Research Development Institute). The Encyclopaedia of Fish and Seafood; Squid, octioys etc.; Sambo Print Co., Ltd.: Seoul, Korea, 2004; pp. 6–33. [Google Scholar]
- KHOA (Korea Hydrographic and Oceanographic Agency). Results of Coastal Oceanographic Observation. Korea Hydrographic and Oceanorgraphic Agency, Busan. Available online: http://www.khog.go.kr/oceangrid/gis/category/reference/distribution (accessed on 13 May 2021).
- Shannon, C.E.; Wiener, W. The Mathematical Theory of Communication; Illinois University Press: Urbana, IL, USA, 1964; pp. 1–125. [Google Scholar]
- Lee, J.-H.; Youm, M.-G.; Park, B.S. Fundamental studies on the migrating course of fish around the set net. J. Korean Soc. Fish. Ocean. Technol. 1988, 24, 71–77. [Google Scholar]
- Kim, Y.H.; Kim, J.B.; Chang, D.S. Seasonal variation of abundance and species composition of fishes caught by set net in the coastal waters off Yosu, Korea. J. Korean Fish. Soc. 2003, 36, 120–128. [Google Scholar] [CrossRef][Green Version]
- Harrison, P.-J.; Parsons, T.-R. Fisheries Oceanography, An Integrative Approach to Fisheries Ecology and Management; Blackwell Science Ltd.: Oxford, UK, 2000; 347p. [Google Scholar]
- Cha, B.-Y.; Kim, D.-K.; Yoon, J.-T.; Kim, B.-Y. Composition and catch variation of fishes by a set net in the coastal waters of Gwideuk, Jeju Island. Korean J. Ichthyol. 2008, 20, 28–35. [Google Scholar]
- Kim, C.-K.; Kang, Y.-J. Fish assemblage collected by gill net in the coastal shallow water off Shinsudo, Samchonpo. Korean J. Fish. Aquat. Sci. 1991, 24, 99–110. [Google Scholar]
- Kang, J.-H.; Kim, Y.-G.; Park, J.-U.; Kim, J.-K.; Ryu, J.-H.; Kang, C.-B.; Park, J.-H. Comparison of fish species collected by set net at Hupo in Gyeong-Sang-Buk-Do, and Jangho in Gang-Won-do. Korea. Korean J. Fish. Aquat. Sci. 2014, 47, 424–430. [Google Scholar] [CrossRef]
- Nakamura, Y.; Sakurai, Y. Age determination from daily growth increments in statoliths of some groups of Japanese common squid Todarodes pacificus. In Recent Advances in Cephalopod Fisheries Biology; Okutani, T., O’Dor, R.K., Kubodera, T., Eds.; Tokai University Press: Tokyo, Japan, 1993; pp. 339–344. [Google Scholar]
- Kidokoro, H.; Goto, T.; Nagasawa, T.; Nishida, H.; Akamine, T.; Sakurai, Y. Impact of a climate regime shift on the migration of Japanese common squid (Todarodes pacificus) in the Sea of Japan. ICES J. Mar. Sci. 2010, 67, 1314–1322. [Google Scholar] [CrossRef]
- Sakurai, Y.; Kiyofuju, H.; Saitoh, S.; Goto, T.; Hiyama, Y. Change in inferred spawning areas of Todarodes pacificus (Cephalopoda: Ommastrephidae) due to changing environmental conditions. ICES J. Mar. Sci. 2000, 57, 24–30. [Google Scholar] [CrossRef]
- NFRDI (National Fisheries Research & Development Institute). Korean Coastal and Offshore Fishery Census; NFRDI Technical report; NFRDI: Busan, Korea, 2006; pp. 63–102. [Google Scholar]
- NFRDI (National Fisheries Research & Development Institute). Korean Coastal and Offshore Fishery Census; NFRDA Technical report; NFRDI: Busan, Korea, 1995; pp. 69–79. [Google Scholar]
- NFRDI (National Fisheries Research & Development Institute). Korean Coastal and Offshore Fishery Census; NFRDA Technical report; NFRDI: Busan, Korea, 1996; pp. 69–90. [Google Scholar]
- Han, H.-S.; Lee, B.-H. On shoals of the yellow tail migration to the East Sea of Korea. Bull. Fish. Res. Dev. Agency 1974, 12, 27–36. [Google Scholar]
- Yang, J.-H.; Yoon, B.-S.; Kim, J.-B.; Choi, Y.-M.; Park, J.-H.; Lee, J.-B.; Park, K.-Y.; Lee, D.-J. Age and growth of the Okhotsk atka mackerel, Pleurogrammus azonus in the coastal of Gangwon-do, East Sea. J. Korean Soc. Fish. Ocean Technol. 2018, 54, 54–64. [Google Scholar] [CrossRef]
- NIFS (National Institute of Fisheries Science). Fisheries Life Resources Information Center. Busan. Available online: http://www.nifs.go.kr/frecenter (accessed on 18 June 2021).
- Choi, Y.; Zhang, C.; Lee, J.; Kim, J.; Cha, H. Stock assessment and management implications of chub mackerel, Scomber japonicus in Korean waters. J. Korean Soc. Fish. Res. 2004, 6, 90–100. [Google Scholar]
- Kim, Y.-H.; Kang, Y.-J. Population analysis of the common squid, Todarodes pacificus Steenstrup in Korean Waters. J. Korean Fish. Soc. 1995, 28, 163–173. [Google Scholar]
- Kim, J.; Rho, H.; Kim, S.; Ko, J.-C.; Ahn, Y.-H.; Choi, C.M. Characteristics of catch fluctuation and distribution of yellow tail, Seriola quinqueradiata, TEMMINCK et SCHLEGEL, in Korean Waters. Bull. Korean Soc. Fish. Technol. 2002, 38, 11–19. [Google Scholar] [CrossRef]
- Kang, Y.-J.; Kim, Y.-H.; Hong, Y.-K.; Park, J.-Y.; Park, K.-Y. A population genetic analysis of the common squid, Todarodes pacificus Steenstrup in the Korean Waters. J. Korean Fish. Soc. 1996, 29, 320–331. [Google Scholar]
- Choi, K.-H.; Hwang, S.-N.; Kim, J.-I. Fishing condition of common Squid (Todarodes pacificus Steenstrup) in Korean Waters. I. Spatio-temporal distribution of common squid related to the Changes in Oceanographic Conditions. J. Korean Fish. Soc. 1997, 30, 513–522. [Google Scholar]
- Kim, Y.-H.; Moon, C.-H.; Choi, K.; Lee, C.-I. Relationship between squid (Todarodes pacificus) catch by sea block and marine environment in the East Sea during 1980s and 1990s. J. Korean Soc. Mar. Environ. Saf. 2010, 3, 259–268. [Google Scholar]
- Oh, S.-Y.; Jang, S.-W.; Yoon, H.-J. Variation of catch of anchovy and saury due to oceanic climate change in the Korean seas. J. Korea Inst. Inf. Commun. Eng. 2010, 15, 740–746. [Google Scholar] [CrossRef]





| Order | Family | Genus | Species | |
|---|---|---|---|---|
| Fishes | Carcharhiniformes | 1 | 1 | 1 |
| Anguilliformes | 1 | 1 | 1 | |
| Clupeiformes | 2 | 3 | 3 | |
| Cypriniformes | 1 | 1 | 1 | |
| Sakmoniformes | 1 | 1 | 2 | |
| Gardiformes | 1 | 1 | 1 | |
| Lophiiformes | 1 | 1 | 1 | |
| Atheriniformes | 1 | 1 | 1 | |
| Beloniformes | 1 | 2 | 2 | |
| Beryciformes | 1 | 1 | 1 | |
| Gasterosteiformes | 1 | 1 | 1 | |
| Scorpaeniformes | 4 | 5 | 5 | |
| Perciformes | 12 | 20 | 21 | |
| Pleuronectiformes | 2 | 3 | 3 | |
| Tetraodoniformes | 3 | 4 | 4 | |
| Cephalopods | Octopoda | 1 | 1 | 1 |
| Teuthoidea | 1 | 2 | 2 | |
| Total | 35 | 49 | 51 | |
| Study Area | Year | No. of Species | Dominant Species | Reference | |||
|---|---|---|---|---|---|---|---|
| Winter (Jan.–Mar.) | Spring (Apr.–Jun) | Summer (Jul.–Sep.) | Autumn (Oct.–Dec.) | ||||
| Gangwon-do | |||||||
| Goseong | 2005 | 73 | Mugil cephalus, Hemitripterus villosus, Lophius litulon | Pleurogrammus azonus, Mugil cephalus | Todarodes pacificus | Psenopsis anomala, Pleurogrammus azonus, Arctoscopus japonicus | [29] |
| Yangyang | 1998 | 103 | Oncorhynchus gorbuscha, Clupea pallasii | Pleurogrammus azonus, Seriola quinqueradiata, Acanthopagrus schlegeli | Cleisthenes pinetorum, Seriola quinqueradiata | Stephanolepis cirrhifer, Sebastes schlegelii, Todarodes pacificus | [4] |
| 1999 | 64 | Clupea pallasii, Thamnaconus modestus | Todarodes pacificus, Thamnaconus modestus | Thamnaconus modestus | Konosirus punctatus, Stephanolepis cirrhifer, Trachurus japonicus | [4] | |
| 2000 | 56 | Clupea pallasii | Mugil cephalus, Clupea pallasii, Acanthopagrus schlegeli | Mugil cephalus, Trachurus japonicus | Stephanolepis cirrhifer, Todarodes pacificus, Ditrema temminckii | [4] | |
| 2001 | 40 | Clupea pallasii, Pleurogrammus azonus, Mugil cephalus | Mugil cephalus, Stephanolepis cirrhifer, Seriola quinqueradiata | Seriola quinqueradiata | Seriola quinqueradiata, Oncorhynchus masou, Todarodes pacificus | [4] | |
| 2002 | 54 | Lophius litulon, Clupea pallasii, Aptocyclus ventricosus | Mugil cephalus, Lophius litulon, Cleisthenes pinetorum | Trachurus japonicus, Scomber japonicus | Acanthopagrus schlegeli, Konosirus punctatus | [4] | |
| 2003 | 39 | Lophius litulon, Clupea pallasii | Pleurogrammus azonus, Mugil cephalus, Lophius litulon | Trachurus japonicus, Thamnaconus modestus | Psenopsis anomala, Trachurus japonicus | [4] | |
| 2005 | 70 | Todarodes pacificus, Clupea pallasii, Lophius litulon | Pleurogrammus azonus, Todarodes pacificus, Mugil cephalus | Todarodes pacificus, Seriola quinqueradiata | Scomber japonicus, Engraulis japonicus, Mugil cephalus | [29] | |
| 2007 | 49 | Todarodes pacificus, Pleurogrammus azonus, Mugil cephalus | Todarodes pacificus,Pleurogrammus azonus,Mugil cephalus, | Scomber japonicus,Todarodes pacificus, Stephanolepis cirrhifer | Todarodes pacificus, Seriola quinqueradiata, Stephanolepis cirrhifer | Present study | |
| 2008 | 46 | Todarodes pacificus, Pleurogrammus azonus, Oncorhynchus masou | Todarodes pacificus, Mugil cephalus, Stephanolepis cirrhifer | Todarodes pacificus, Scomber japonicus, Seriola quinqueradiata | Todarodes pacificus,Trachurus japonicus, Seriola quinqueradiata | Present study | |
| Gyeongsangbuk-do | |||||||
| Uljin | 2005 | 50 | Todarodes pacificus, Konosirus punctatus, Tribolodon taczanowskii | Todarodes pacificus | Todarodes pacificus, Scomber japonicus | Auxis rochei, Konosirus punctatus, Todarodes pacificus | [29] |
| Heunghae | 1993 | 61 | Todarodes pacificus, Etrumeus teres | Todarodes pacificus, Engraulis japonicus | Todarodes pacificus, Tamnaconus modestus, Trachurus iaponicus | Scomber japonicus, Loligo bleekeri, Todarodes pacificus | [30] |
| Heunghae | 1994 | 57 | Todarodes pacificus, Pampus echinogaster, Loligo bleekeri | Todarodes pacificus, Cololabis saira | Scomber japonicus, Trachurus japonicus | Todarodes pacificus, Trachurus japonicus, Trichiurus lepturus Trachurus iaponicus Trichiurus lepturus | [30] |
| Heunghae | 1995 | 86 | Todarodes pacificus, Clupea pallasii | Todarodes pacificus, Engraulis japonicus | Trachurus iaponicus, Scomber japonicus | Todarodes pacificus, Trachurus iaponicus, Scomber japonicus | [31] |
| Guryongpo | 2001 | 34 | Konosirus punctatus, Ditrema temminckii, Mugil cephalus | Ditrema temminckii, Mugil cephalus, Todarodes pacificus | Todarodes pacificus, Seriola quinqueradiata, Mugil cephalus | Todarodes pacificus, Mugil cephalus, Seriola quinqueradiata | [4] |
| Guryongpo | 2003 | 79 | – | Engraulis japonicus, Trachurus japonicus | Trachurus japonicus, Engraulis japonicus | Engraulis japonicus, Trachurus japonicus | [4] |
| Guryongpo | 2005 | 53 | Engraulis japonicus, Mugil cephalus | Engraulis japonicus, Trachurus japonicus | Trachurus japonicus, Engraulis japonicus | Engraulis japonicus, Sebastes schlegelii, Todarodes pacificus | [29] |
| Ulsan | 1998 | 89 | Engraulis japonicus, Pampus echinogaster | Cololabis saira, Pleurogrammus azonus, Engraulis japonicus | Scomber japonicus, Trachurus japonicus | Trachurus japonicus, Tamnaconus modestus, Scomber japonicus | [32] |
Publisher’s Note: MDPI stays neutral with regard to jurisdictional claims in published maps and institutional affiliations. |
© 2022 by the authors. Licensee MDPI, Basel, Switzerland. This article is an open access article distributed under the terms and conditions of the Creative Commons Attribution (CC BY) license (https://creativecommons.org/licenses/by/4.0/).
Share and Cite
Han, J.; Choi, Y.-U. Seasonal Variations in the Fish Species Composition and Community Structures on the Eastern Coast of South Korea. J. Mar. Sci. Eng. 2022, 10, 1102. https://doi.org/10.3390/jmse10081102
Han J, Choi Y-U. Seasonal Variations in the Fish Species Composition and Community Structures on the Eastern Coast of South Korea. Journal of Marine Science and Engineering. 2022; 10(8):1102. https://doi.org/10.3390/jmse10081102
Chicago/Turabian StyleHan, Jeonghoon, and Young-Ung Choi. 2022. "Seasonal Variations in the Fish Species Composition and Community Structures on the Eastern Coast of South Korea" Journal of Marine Science and Engineering 10, no. 8: 1102. https://doi.org/10.3390/jmse10081102
APA StyleHan, J., & Choi, Y.-U. (2022). Seasonal Variations in the Fish Species Composition and Community Structures on the Eastern Coast of South Korea. Journal of Marine Science and Engineering, 10(8), 1102. https://doi.org/10.3390/jmse10081102
