Improvement to Calculation Method of Flood Force on T-Girder Considering Entrapped Air in Chambers
Abstract
:1. Introduction
2. Numerical Model and Validation
2.1. Basic Equations
2.2. Physical Experiment for Validation
2.3. Numerical Model
2.4. Verification of Numerical Model
2.5. Definition of Flood Force Coefficients
3. Buoyancy of Entrapped Air without Considering Air Escape
4. Buoyancy of Entrapped Air Considering Air Escape
4.1. Case Introduction
4.2. Modification to Buoyancy of Entrapped Air
5. Influence of Compressibility of Entrapped Air on Flood Force Coefficient
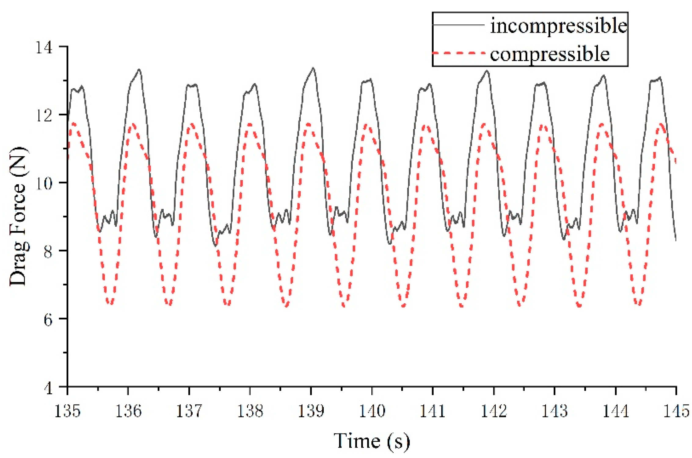
5.1. Influence on Drag Force
5.2. Influence on Vertical Force
- (1)
- Generally, the red surface is at the bottom, the blue surface is at the top and the yellow surface is in the middle. Namely, compared with situation 3 where the escape and compressibility of the entrapped air are considered, ignoring the entrapped air would underestimate the vertical force, and considering the air escape but not considering the air compressibility would overestimate the vertical force. In a word, considering the escape and compressibility of the entrapped air can improve the vertical force calculation precision.
- (2)
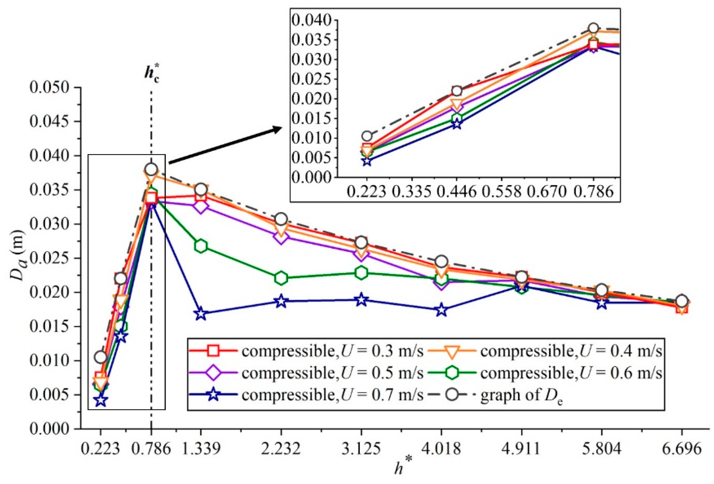
- The gap between the blue and yellow surfaces increases with , because the compressed height increases with . Especially when the T-girder is partially inundated, i.e., , the blue surface gets much closed to the yellow surface, indicating that air compressibility has little influence on the vertical force.
- (3)
- No matter in which situation, when is smaller and incoming velocity is larger, the vertical force is smaller and even negative. Because when is smaller, the buoyancy generated by entrapped air is smaller, and flow velocity below the girder is large and the vortex would generate under the girder, suction force may generate on the girder bottom.
6. Discussions
- (1)
- The numerical model used in this study is all at a 1:40 geometric scale, which may impose some scale effects on the results. Scale effects require a specific investigation in the next step.
- (2)
- The residual entrapped air in every chamber is different, and the entrapped air in the rear chambers could escape easier than that in the front chambers. How the un-uniform distribution of entrapped air in different chambers affects the overturn moment requires further study.
- (3)
- The water level rising process was discretized into a series of static stable statuses, which may overestimate the volume of the entrapped air. Therefore, the entrapped air escape in the dynamic process of water levels rising should be intensively studied in the future.
7. Conclusions
- (1)
- The compressibility of entrapped air has slight influences on drag force and vertical force caused by dynamic pressure.
- (2)
- Considering escape and compressibility of entrapped air, the drag force coefficient can be calculated by Equations (24) or (25), and the vertical force coefficient can be calculated by Equations (26), (27) or (28).
- (3)
- Considering escape and compressibility of entrapped air, the vertical force on T-girder can be calculated by Equation (30), which provides a way to quantitatively calculate the contribution of the entrapped air to the vertical force and makes the bridge’s anti-flood design more reasonable.
Author Contributions
Funding
Institutional Review Board Statement
Informed Consent Statement
Data Availability Statement
Conflicts of Interest
Nomenclature
| Velocity component in the direction | |
| Time-average velocity component in the direction | |
| Velocity fluctuation in the direction | |
| Density | |
| Acceleration of gravity | |
| Time-average pressure | |
| Eddy dynamic viscosity | |
| Eddy Kinematic viscosity | |
| Kronecker delta | |
| Turbulence kinetic energy | |
| Rate of dissipation of turbulent kinetic energy per unit mass | |
| Rate of production of turbulent kinetic energy | |
| Prandl number | |
| Empirical constant | |
| Width of bridge deck | |
| Height of bridge deck | |
| Width of chamber | |
| Height of chamber | |
| Length of the bridge deck and in this study | |
| Incoming velocity | |
| Total vertical force imposed by current on the deck of the bridge | |
| Drag force imposed by current on the deck of the bridge | |
| Buoyancy of bridge deck | |
| Buoyancy of entrapped air | |
| Vertical force caused by dynamic pressure | |
| Drag force coefficient | |
| Vertical force coefficient | |
| Distance between bridge girder bottom to flume bottom | |
| Water depth | |
| Submergence ratio of T-girder | |
| Critical submergence ratio | |
| Pressure of ideal gas | |
| Volume of ideal gas | |
| Mass of ideal gas | |
| Molar mass | |
| Molar gas constant | |
| Temperature of ideal gas | |
| Compressed height of entrapped air | |
| Initial effective height of entrapped air | |
| Averaged effective height of entrapped air | |
| Effective volume of the entrapped air | |
| The number of chambers | |
| Escape effect modification coefficient | |
| Slope of fitting line for |
References
- Liu, K.; Liu, J.; Yu, W. Statistical Analysis of Bridge Collapse Caused by Floods from 2007 to 2015. Urban Roads Bridges Flood Control 2017, 1, 90–92. [Google Scholar] [CrossRef]
- Xiong, W.; Cai, C.; Zhang, R. Review of Hydraulic Bridge Failures. China J. Highw. Transp. 2021, 34, 10–28. [Google Scholar] [CrossRef]
- Cook, W.; Barr, P.J.; Halling, M.W. Bridge failure rate. J. Perform. Constr. Facil. 2015, 29, 04014080. [Google Scholar] [CrossRef]
- EU. EN 1991-1-6: Eurocode 1: Actions on Structures—Part 1–6: General Actions—Actions during Execution; Authority: The European Union per Regulation 305/2011, Directive 98/34/EC, Directive 2004/18/EC; EU: Brussels, Belgium, 2005. [Google Scholar]
- CCCC Highway Consultants Co., Ltd. General Specifications for Design of Highway Bridges and Culverts; China Communications Press Co., Ltd.: Beijing, China, 2015. [Google Scholar]
- Zevenbergen, L.; Arneson, L.; Hunt, J.; Miller, A.C. Hydraulic Design of Safe Bridges; Federal Highway Administration: Philadelphia, PA, USA, 2012.
- JSCE. Standard Specifications for Concrete Structures-2007, Design; Japanese Society of Civil Engineering: Tokyo, Japan, 2007. [Google Scholar]
- Australian Bridge Design Code; Standards Australia International Ltd.: Sydney, Australia, 2004.
- Yang, W.; Qin, J.; Hou, H.; Wu, W.; Zhou, L. Study on failure mechanism of flood damage to Jinsha River bridge at Zhubalong. J. Southwest Jiaotong Univ. 2022, 57, 120–128. [Google Scholar] [CrossRef]
- The Flood Peak of Baige Barrier Lake in Jinsha River is 12 Meters above the Bridge Deck. Sichuan Has Achieved “Zero Casualties”. Available online: https://www.sohu.com/a/275586924_99960442 (accessed on 31 July 2022).
- Istrati, D.; Buckle, I. Role of trapped air on the tsunami-induced transient loads and response of coastal bridges. Geosciences 2019, 9, 191. [Google Scholar] [CrossRef] [Green Version]
- McPherson, R.L. Hurricane Induced Wave and Surge Forces on Bridge Decks. Master’s Thesis, Texas A & M University, College Station, TX, USA, 2010. Available online: https://hdl.handle.net/1969.1/ETD-TAMU-2008-08-48 (accessed on 31 July 2022).
- Cuomo, G.; Shimosako, K.-I.; Takahashi, S. Wave-in-deck loads on coastal bridges and the role of air. Coast. Eng. 2009, 56, 793–809. [Google Scholar] [CrossRef]
- Bozorgnia, M.; Lee, J.-J.; Raichlen, F. Wave structure interaction: Role of entrapped air on wave impact and uplift forces. Coast. Eng. Proc. 2010, 1, 57–59. [Google Scholar] [CrossRef]
- Seiffert, B.R.; Ertekin, R.C.; Robertson, I.N. Wave loads on a coastal bridge deck and the role of entrapped air. Appl. Ocean Res. 2015, 53, 91–106. [Google Scholar] [CrossRef]
- Bricker, J.D.; Kawashima, K.; Nakayama, A. CFD analysis of bridge deck failure due to tsunami. In Proceedings of the International Symposium on Engineering Lessons Learned from the 2011 Great East Japan Earthquake, Tokyo, Japan, 1–4 March 2012; pp. 1–4. Available online: https://www.jaee.gr.jp/event/seminar2012/eqsympo/pdf/papers/193.pdf (accessed on 31 July 2022).
- Bricker, J.D.; Nakayama, A. Contribution of trapped air, deck superelevation, and nearby structures to bridge deck failure during a tsunami. J. Hydraul. Eng. 2014, 140, 05014002. [Google Scholar] [CrossRef]
- Salem, H.; Mohssen, S.; Kosa, K.; Hosoda, A. Collapse analysis of Utatsu Ohashi Bridge damaged by Tohuku Tsunami using applied element method. J. Adv. Concr. Technol. 2014, 12, 388–402. [Google Scholar] [CrossRef] [Green Version]
- Istrati, D.; Buckle, I.G.; Lomonaco, P.; Yim, S.; Itani, A. Tsunami induced forces in bridges: Large-scale experiments and the role of air-entrapment. Coast. Eng. Proc. 2017, 35, 30. [Google Scholar] [CrossRef] [Green Version]
- Azadbakht, M. Tsunami and Hurricane Wave Loads on Bridge Superstructures. 2013. Available online: https://ir.library.oregonstate.edu/concern/graduate_thesis_or_dissertations/pg15bh86v (accessed on 31 July 2022).
- Istrati, D.; Buckle, I.; Lomonaco, P.; Yim, S.; Itani, A. Large-scale experiments of tsunami impact forces on bridges: The role of fluid-structure interaction and air-venting. In Proceedings of the 26th International Ocean and Polar Engineering Conference, Rhodes, Greece, 26 June 2016; Available online: https://onepetro.org/ISOPEIOPEC/proceedings-abstract/ISOPE16/All-ISOPE16/ISOPE-I-16-456/16865 (accessed on 31 July 2022).
- Lau, T.L.; Ohmachi, T.; Inoue, S.; Lukkunaprasit, P. Experimental and Numerical Modeling of Tsunami Force on Bridge Decks; InTech Rijeka: Rijeka, Croatia, 2011. [Google Scholar] [CrossRef] [Green Version]
- Motley, M.R.; Wong, H.K.; Qin, X.; Winter, A.O.; Eberhard, M.O. Tsunami-induced forces on skewed bridges. J. Waterw. Port Coast. Ocean. Eng. 2016, 142, 04015025. [Google Scholar] [CrossRef]
- Yang, W.; Wen, Z.; Li, F.; Li, Q. Study on tsunami force mitigation of the rear house protected by the front house. Ocean Eng. 2018, 159, 268–279. [Google Scholar] [CrossRef]
- Yang, W.; Zhu, Q.; Lai, W.; Li, F. Study on anti-tsunami optimization design of bridge pier: A new type bridge pier. Ocean Eng. 2020, 213, 107701. [Google Scholar] [CrossRef]
- Yang, W.; Lai, W.; Zhu, Q.; Zhang, C.; Li, F. Study on generation mechanism of vertical force peak values on T-girder attacked by tsunami bore. Ocean Eng. 2020, 196, 106782. [Google Scholar] [CrossRef]
- Patil, S.; Kostic, M.; Majumdar, P. Computational fluid dynamics simulation of open-channel flows over bridge-decks under various flooding conditions. In Proceedings of the 6th WSEAS International Conference on FLUID MECHANICS (FLUIDS’09), Ningbo, China, 10 January 2009; pp. 114–120. Available online: https://citeseerx.ist.psu.edu/viewdoc/download?doi=10.1.1.531.4940&rep=rep1&type=pdf (accessed on 31 July 2022).
- Wu, L. Study on the Tsunami Forces of the Superstructure of the Medium and Small Span Bridges. Southwest Jiaotong University. 2017. Available online: https://kns.cnki.net/kcms/detail/detail.aspx?dbcode=CMFD&dbname=CMFD201702&filename=1017142262.nh&uniplatform=NZKPT&v=suMANFcKpgin2zl5fZoeTPIuMOIFEG8CMbKL4uy5S741s7XLFZrz0jQMni8ma4rg (accessed on 31 July 2022).
- Wen, Z. Study on the Tsunami Forces and Damage Characteristics of the Low Rise Masonry Buildings. Southwest Jiaotong University. 2018. Available online: https://kns.cnki.net/kcms/detail/detail.aspx?dbcode=CMFD&dbname=CMFD201802&filename=1018825379.nh&uniplatform=NZKPT&v=yTkJu6SEctulhb7lNg_RDR67FvPFqXPPtFBsyBIPIHucuMtfAfQZy8ys-iZoUV6u (accessed on 31 July 2022).
- Xiang, T.; Istrati, D. Assessment of extreme wave impact on coastal decks with different geometries via the arbitrary lagrangian-eulerian method. J. Mar. Sci. Eng. 2021, 9, 1342. [Google Scholar] [CrossRef]
- Istrati, D.; Hasanpour, A. Numerical Investigation of Dam Break-Induced Extreme Flooding of Bridge Superstructures. In Proceedings of the 3rd International Conference on Natural Hazards & Infrastructure, 2021–2022, Athens, Greece, 5–7 July 2022; Available online: https://www.researchgate.net/publication/362108279_Numerical_Investigation_of_Dam_Break-Induced_Extreme_Flooding_of_Bridge_Superstructures (accessed on 1 August 2022).
- Istrati, D.; Buckle, I.G. Tsunami Loads on Straight and Skewed Bridges–Part 1: Experimental Investigation and Design Recommendations (No. FHWA-OR-RD-21-12). Oregon. Dept. of Transportation. Research Section. 2021. Available online: https://rosap.ntl.bts.gov/view/dot/55988 (accessed on 31 July 2022).
- Istrati, D.; Buckle, I.G. Tsunami Loads on Straight and Skewed Bridges–Part 2: Numerical Investigation and Design Recommendations (No. FHWA-OR-RD-21-13). Oregon. Dept. of Transportation. Research Section. 2021. Available online: https://rosap.ntl.bts.gov/view/dot/55947 (accessed on 31 July 2022).
- Istrati, D.; Hasanpour, A.; Buckle, I. Numerical investigation of tsunami-borne debris damming loads on a coastal bridge. In Proceedings of the 17 World Conference on Earthquake Engineering, Sendai, Japan, 13–18 September 2020; Available online: https://www.researchgate.net/publication/342027873_Numerical_Investigation_of_Tsunami-Borne_Debris_Damming_Loads_on_a_Coastal_Bridge (accessed on 31 July 2022).
























| Scheme | (h) | ||||||
|---|---|---|---|---|---|---|---|
| Physical Experiment | — | — | — | — | — | 1.967 | −1.883 |
| Coarse | 30 | 1 | 53 | 66,596 | 6 | 1.738 | −2.112 |
| Middle | 30 | 1 | 43 | 74,571 | 8 | 1.799 | −2.026 |
| Fine | 30 | 1 | 33 | 84,076 | 12 | 1.711 | −2.143 |
Publisher’s Note: MDPI stays neutral with regard to jurisdictional claims in published maps and institutional affiliations. |
© 2022 by the authors. Licensee MDPI, Basel, Switzerland. This article is an open access article distributed under the terms and conditions of the Creative Commons Attribution (CC BY) license (https://creativecommons.org/licenses/by/4.0/).
Share and Cite
Yang, W.; Dou, Y.; Qin, J.; Yang, Y.; Zhang, Y.; Zhang, W. Improvement to Calculation Method of Flood Force on T-Girder Considering Entrapped Air in Chambers. J. Mar. Sci. Eng. 2022, 10, 1083. https://doi.org/10.3390/jmse10081083
Yang W, Dou Y, Qin J, Yang Y, Zhang Y, Zhang W. Improvement to Calculation Method of Flood Force on T-Girder Considering Entrapped Air in Chambers. Journal of Marine Science and Engineering. 2022; 10(8):1083. https://doi.org/10.3390/jmse10081083
Chicago/Turabian StyleYang, Wanli, Yang Dou, Junwu Qin, Yuankang Yang, Yuzhi Zhang, and Weiyong Zhang. 2022. "Improvement to Calculation Method of Flood Force on T-Girder Considering Entrapped Air in Chambers" Journal of Marine Science and Engineering 10, no. 8: 1083. https://doi.org/10.3390/jmse10081083
APA StyleYang, W., Dou, Y., Qin, J., Yang, Y., Zhang, Y., & Zhang, W. (2022). Improvement to Calculation Method of Flood Force on T-Girder Considering Entrapped Air in Chambers. Journal of Marine Science and Engineering, 10(8), 1083. https://doi.org/10.3390/jmse10081083

