Discrete Element Simulation of the Macro-Meso Mechanical Behaviors of Gas-Hydrate-Bearing Sediments under Dynamic Loading
Abstract
:1. Introduction
2. Discrete Element Simulation of Gas-Hydrate-Bearing Sediments
2.1. Model Building
2.2. Contact Models and Parameters
2.3. Model Validation
2.4. Simulation Scheme
3. Results and Analysis
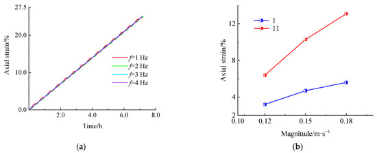
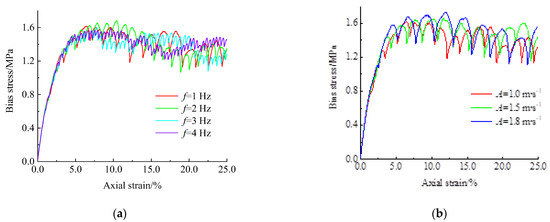
3.1. Stress–Strain Curves
3.2. Strength Characteristics
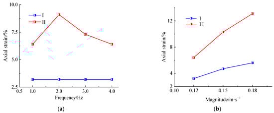
3.2.1. The Effect of Loading Frequency
3.2.2. The Effect of Loading Amplitude
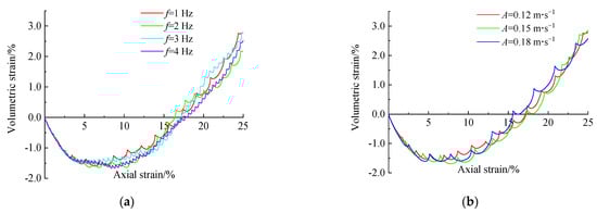
3.3. Volumetric Strain Characteristics
3.3.1. Comparison of Volume Strain Curves
3.3.2. Frequency, Amplitude–Dilation Relationship
3.4. Volumetric Strain Characteristics
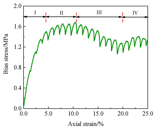
3.4.1. Evolution of Deformation and Failure Characteristics
3.4.2. Effect of Loading Frequency
3.4.3. Effect of Loading Amplitude
4. Conclusions
Author Contributions
Funding
Institutional Review Board Statement
Informed Consent Statement
Data Availability Statement
Conflicts of Interest
References
- Guo, X.S.; Nian, T.K.; Zhao, W.; Gu, Z.D.; Liu, C.P.; Liu, X.L.; Jia, Y.G. Centrifuge experiment on the penetration test for evaluating undrained strength of deep-sea surface soils. Int. J. Min. Sci. Technol. 2022, 32, 363–373. [Google Scholar] [CrossRef]
- Li, S.; Xu, X.; Zheng, R. Experimental investigation on dissociation driving force of methane hydrate in porous media. Fuel 2015, 160, 117–122. [Google Scholar] [CrossRef]
- Guo, X.S.; Stoesser, T.; Nian, T.K.; Jia, Y.G.; Liu, X.L. Effect of pipeline surface roughness on peak impact forces caused by submarine mudflow. Ocean. Eng. 2021, 243, 110184. [Google Scholar] [CrossRef]
- Masui, A.; Haneda, H.; Ogata, Y. Effects of methane hydrate formation on shear strength of synthetic methane hydrate sediments. Int. Soc. Offshore Polar Eng. 2005, 364–369. Available online: https://onepetro.org/ISOPEIOPEC/proceedings-abstract/ISOPE05/All-ISOPE05/ISOPE-I-05-056/9186 (accessed on 25 July 2022).
- Hyodo, M.; Yoneda, J.; Yoshimoto, N. Mechanical and dissociation properties of methane hydrate-bearing sand in deep seabed. Soils Found. 2013, 53, 299–314. [Google Scholar] [CrossRef] [Green Version]
- Song, Y.; Luo, T.; Madhusudhan, B.N. Strength behaviors of CH4 hydrate-bearing silty sediments during thermal decomposition. J. Nat. Gas Sci. Eng. 2019, 72, 103031. [Google Scholar] [CrossRef]
- Wu, Q.; Lu, J.S.; Li, D.L. Mechanical characterization of hydrate-bearing sediments during decompression mining. Rock Soil Mech. 2018, 39, 4508–4516. [Google Scholar]
- Kajiyama, S.; Hyodo, M.; Nakata, Y. Shear behavior of methane hydrate bearing sand with various particle characteristics and fines. Soils Found. 2017, 57, 176–193. [Google Scholar] [CrossRef]
- Li, Y.; Dong, L.; Wu, N. Influences of hydrate layered distribution patterns on triaxial shearing characteristics of hydrate-bearing sediments. Eng. Geol. 2021, 294, 106375. [Google Scholar] [CrossRef]
- Hao, L.K.; Shi, C.; Shan, Z.G. Numerical simulation of dynamic properties of marine soft soil under cyclic loading. J. China Three Gorges Univ. (Nat. Sci.) 2021, 43, 7. [Google Scholar]
- Guo, X.S.; Nian, T.K.; Wang, D.; Gu, Z.D. Evaluation of undrained shear strength of surficial marine clays using ball penetration-based CFD modelling. Acta Geotech. 2022, 17, 1627–1643. [Google Scholar] [CrossRef]
- Shen, Z.; Jiang, M.; Thornton, C. DEM simulation of bonded granular material. Part I: Contact model and application to cemented sand. Comput. Geotech. 2016, 75, 192–209. [Google Scholar] [CrossRef]
- Cundall, P.A.; Strack, O.D.L. discrete numerical model for granular assemblies. Comput. Geotech. 1979, 29, 47–65. [Google Scholar] [CrossRef]
- Dai, S.; Santamarina, J.C.; Waite, W.F. Hydrate morphology: Physical properties of sands with patchy hydrate saturation. J. Geophys. Res. 2012, 117, B11205. [Google Scholar] [CrossRef] [Green Version]
- Bai, Q.; Konietzky, H.; Dang, W. Microscopic modeling of frictional response of smooth joint under normal cyclic loading. Rock Mech. Rock Eng. 2022, 55, 169–186. [Google Scholar] [CrossRef]
- Li, X.; Zou, Y.; Zhou, Z. Numerical simulation of the rock shpb test with a special shape striker based on the discrete element method. Rock Mech. Rock Eng. 2014, 47, 1693–1709. [Google Scholar] [CrossRef]
- Brugada, J.; Cheng, Y.P.; Soga, K. Discrete element modelling of geomechanical behavior of methane hydrate soils with pore-filling hydrate distribution. Granul. Matter 2010, 12, 517–525. [Google Scholar] [CrossRef]
- Jiang, M.J.; Sun, Y.G.; Yang, Q.J. A simple distinct element modeling of the mechanical behavior of methane hydrate-bearing sediments in deep seabed. Granul. Matter 2013, 15, 209–220. [Google Scholar] [CrossRef]
- Jiang, M.J.; Yu, H.S.; Harris, D. Bond rolling resistance and its effect on yielding of bonded granulates by DEM analyses. Int. J. Numer. Anal. Methods Geomech. 2006, 30, 723–761. [Google Scholar] [CrossRef]
- Jiang, M.J.; Peng, D.; Ooi, J.Y. DEM investigation of mechanical behavior and strain localization of methane hydrate bearing sediments with different temperatures and water pressures. Eng. Geol. 2017, 223, 92–109. [Google Scholar] [CrossRef] [Green Version]
- Jiang, M.J.; Liu, J.; Kwok, C.Y. Exploring the undrained cyclic behavior of methane-hydrate-bearing sediments using CFD–DEM. Comptes Rendus Mécanique 2018, 346, 815–832. [Google Scholar] [CrossRef]
- Jiang, M.J.; Xiao, Y.; Zhu, F.Y. Study on micromechanical cementation model and parameters of deep-sea energy soil. Chin. J. Geotech. Eng. 2012, 34, 1574–1583. [Google Scholar]
- Jung, J.W.; Santamarina, J.C.; Soga, K. Stress-strain response of hydrate-bearing sands: Numerical study using discrete element method simulations. J. Geophys. Res. Solid Earth 2012, 117, B04202. [Google Scholar] [CrossRef]
- Yang, Q.J.; Zhao, C.F. Three-dimensional discrete element analysis of the mechanical properties of hydrate sediments. Rock Soil Mech. 2014, 35, 255–262. [Google Scholar]
- He, J.; Blumenfeld, R.; Zhu, H. Mechanical behaviors of sandy sediments bearing pore-filling methane hydrate under different intermediate principal stress. Int. J. Geomech. 2021, 21, 04021043. [Google Scholar] [CrossRef]
- Xie, Y.; Feng, J.; Hu, W. Deep-sea sediment and water simulator for investigation of methane seeping and hydrate formation. J. Mar. Sci. Eng. 2022, 10, 514. [Google Scholar] [CrossRef]
- Cheng, Y.T. Triaxial compression mechanical behavior of the hydrate sediments based on particles arranged model. Model. Simul. 2018, 07, 199–208. [Google Scholar] [CrossRef]
- Deng, B.Q. Discrete Element Triaxial Numerical Simulation Study of Irregular Gravelly Soil with Irregular Particles; Tianjin University Hydraulic Engineering: Tianjin, China, 2019. [Google Scholar]
- Li, T.; Li, L.; Liu, J. Influence of hydrate participation on the mechanical behavior of fine-grained sediments under one-dimensional compression: A DEM study. Granul. Matter 2022, 24, 1–7. [Google Scholar] [CrossRef]
- Wei, R.; Jia, C.; Liu, L. Analysis of the characteristics of pore pressure coefficient for two different hydrate-bearing sediments under triaxial shear. J. Mar. Sci. Eng. 2022, 10, 509. [Google Scholar] [CrossRef]
- Liu, L.; Zhang, X.; Ji, Y. Acoustic wave propagation in a borehole with a gas hydrate-bearing sediment. J. Mar. Sci. Eng. 2022, 10, 235. [Google Scholar] [CrossRef]
- Waite, W.F. Physical properties of hydrate-bearing sediments. Rev. Geophys. 2009, 47, 1–38. [Google Scholar] [CrossRef]
- Potyondy, D.; Cundall, P. A bonded-particle model for rock. Int. J. Rock Mech. Min. Sci. 2004, 41, 1329. [Google Scholar] [CrossRef]
- He, J.; Jiang, M.J. New method of discrete element formation and macromechanical properties of pore-filled deep-sea energy soils. J. Tongji Univ. (Nat. Sci.) 2016, 44, 709–717. [Google Scholar]
- Ke, W. Study on Fatigue Damage Characteristics of Sandstone and Dynamic Influencing Factors of Slope Stability under Cyclic Dynamic Loading; Chongqing University Civil Engineering: Chongqing, China, 2018. [Google Scholar]
- Guo, Z.W. Analysis of seismic wave modulus of asphalt pavement under accelerated loading. J. Highw. Transp. Res. Dev. 2014, 31, 6. [Google Scholar]
- Lu, Z.H.; Qi, C.Z.; Jiang, K. Experimental study of shear swelling characteristics of sandy soils. Res. Explor. Lab. 2020, 39, 19–24. [Google Scholar]
- Summary of Commonly Used Seismic Wave Data (72448 Seismic Wave-Hach.txt). Available online: https://download.csdn.net/download/weixin_44423448/14021977 (accessed on 15 April 2022).
- Roscoe, K.H. The influence of strain in soil mechanics. Geotechnique 1970, 20, 129–170. [Google Scholar] [CrossRef]
- He, J.; Jiang, M.J. Discrete element analysis of true triaxial test of macro and micro mechanical properties of pore-filled energy soils. Rock Soil Mech. 2016, 37, 3026–3034. [Google Scholar]
- Wang, E.H. PFC3D Particle Flow Simulation of Mechanical Properties of Saturated Densified Muddy Sand; Nanchang University: Nanchang, China, 2019. [Google Scholar]
- Zhang, Z.H. Meso-Scale Numerical Simulation of Triaxial Test of Coarse-Grained Soil Based on PFC3D; Sanxia University: Yichang, China, 2015. [Google Scholar]
- Zhao, J.; Liu, C.; Li, C. Pore-scale investigation of the electrical property and saturation exponent of archive’s law in hydrate-bearing sediments. J. Mar. Sci. Eng. 2022, 10, 111. [Google Scholar] [CrossRef]























| Type | Density/(g/cm3) | Friction Coefficient | Linear Model | Gluing Model | |||||
|---|---|---|---|---|---|---|---|---|---|
| Effective Modulus/(MPa) | Stiffness Ratio | Effective Modulus/(MPa) | Stiffness Ratio | Tensile Strength/(MPa) | Bond Strength/(MPa) | Friction Angle/(°) | |||
| Soil particles Hydrate particles | 2.3 | 0.75 | 286 | 1.43 | |||||
| Between hydrate particles | 0.9 | 0.75 | 28.6 | 1.43 | 24 | 1.5 | 5 | 5 | 40 |
| Between hydrate particles and soil particles | 24.6 | 1.5 | 5 | 5 | 40 | ||||
| Title | Frequency/Hz | Peak/m·s−1 |
|---|---|---|
| Sine wave | 1, 2, 3, 4 | 1.2 × 10−1 |
| Sine wave | 1.0 | 1.2 × 10−1, 1.5 × 10−1, 1.8 × 10−1 |
Publisher’s Note: MDPI stays neutral with regard to jurisdictional claims in published maps and institutional affiliations. |
© 2022 by the authors. Licensee MDPI, Basel, Switzerland. This article is an open access article distributed under the terms and conditions of the Creative Commons Attribution (CC BY) license (https://creativecommons.org/licenses/by/4.0/).
Share and Cite
Jiang, Y.; Li, M.; Luan, H.; Shi, Y.; Zhang, S.; Yan, P.; Li, B. Discrete Element Simulation of the Macro-Meso Mechanical Behaviors of Gas-Hydrate-Bearing Sediments under Dynamic Loading. J. Mar. Sci. Eng. 2022, 10, 1042. https://doi.org/10.3390/jmse10081042
Jiang Y, Li M, Luan H, Shi Y, Zhang S, Yan P, Li B. Discrete Element Simulation of the Macro-Meso Mechanical Behaviors of Gas-Hydrate-Bearing Sediments under Dynamic Loading. Journal of Marine Science and Engineering. 2022; 10(8):1042. https://doi.org/10.3390/jmse10081042
Chicago/Turabian StyleJiang, Yujing, Meng Li, Hengjie Luan, Yichen Shi, Sunhao Zhang, Peng Yan, and Baocheng Li. 2022. "Discrete Element Simulation of the Macro-Meso Mechanical Behaviors of Gas-Hydrate-Bearing Sediments under Dynamic Loading" Journal of Marine Science and Engineering 10, no. 8: 1042. https://doi.org/10.3390/jmse10081042
APA StyleJiang, Y., Li, M., Luan, H., Shi, Y., Zhang, S., Yan, P., & Li, B. (2022). Discrete Element Simulation of the Macro-Meso Mechanical Behaviors of Gas-Hydrate-Bearing Sediments under Dynamic Loading. Journal of Marine Science and Engineering, 10(8), 1042. https://doi.org/10.3390/jmse10081042

