Dynamic Response Analysis of Anchor Piles for Marine Aquaculture under Cyclic Loading
Abstract
:1. Introduction
2. Materials and Methods
2.1. Experimental Setup
2.2. Loading System
2.3. Model Anchor Piles and Clay
2.4. Measurement System
2.5. Test Conditions
3. Results and Discussion
3.1. Ultimate Uplift Resistance of Anchor Piles under Static Loads
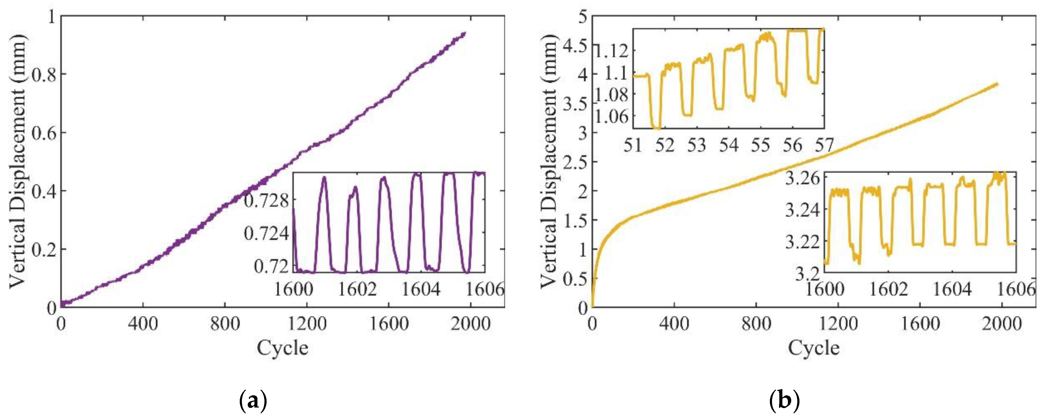
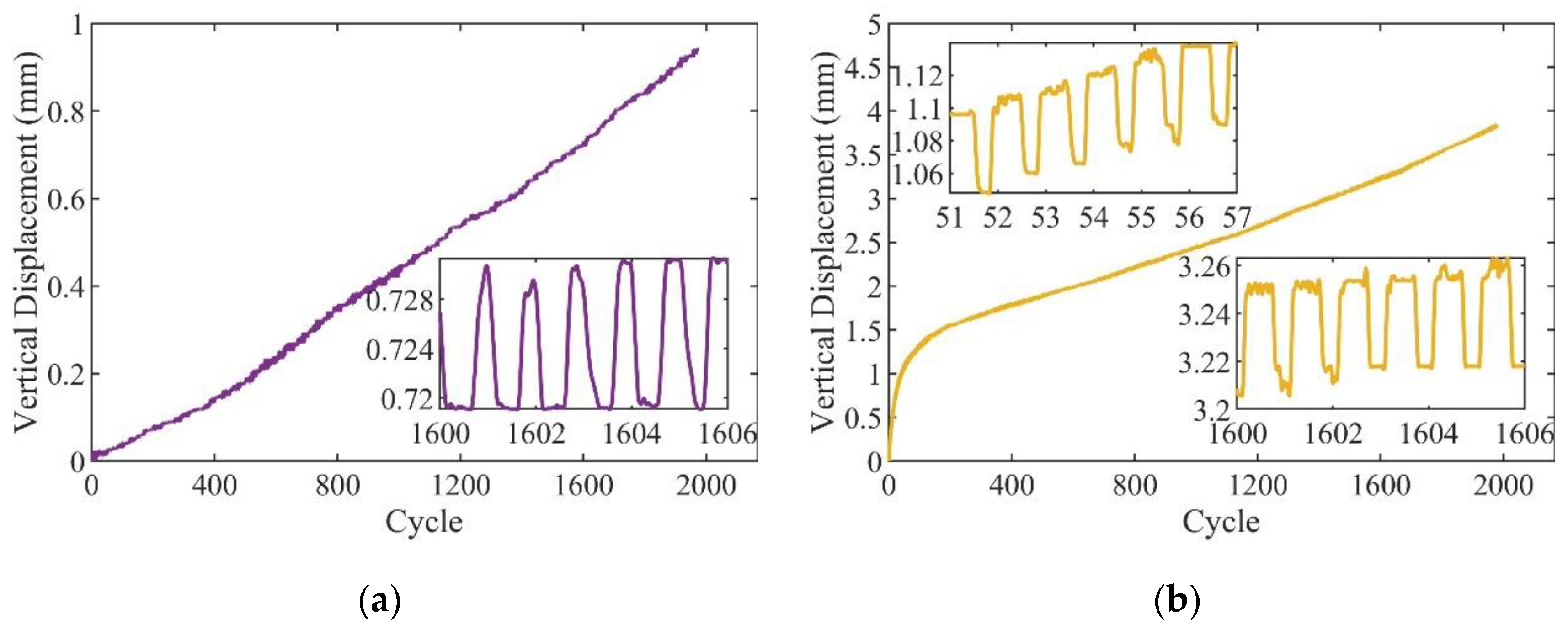
3.2. The Effect of Vertical Loading Amplitude
3.3. The Effect of Initial Tension Angle
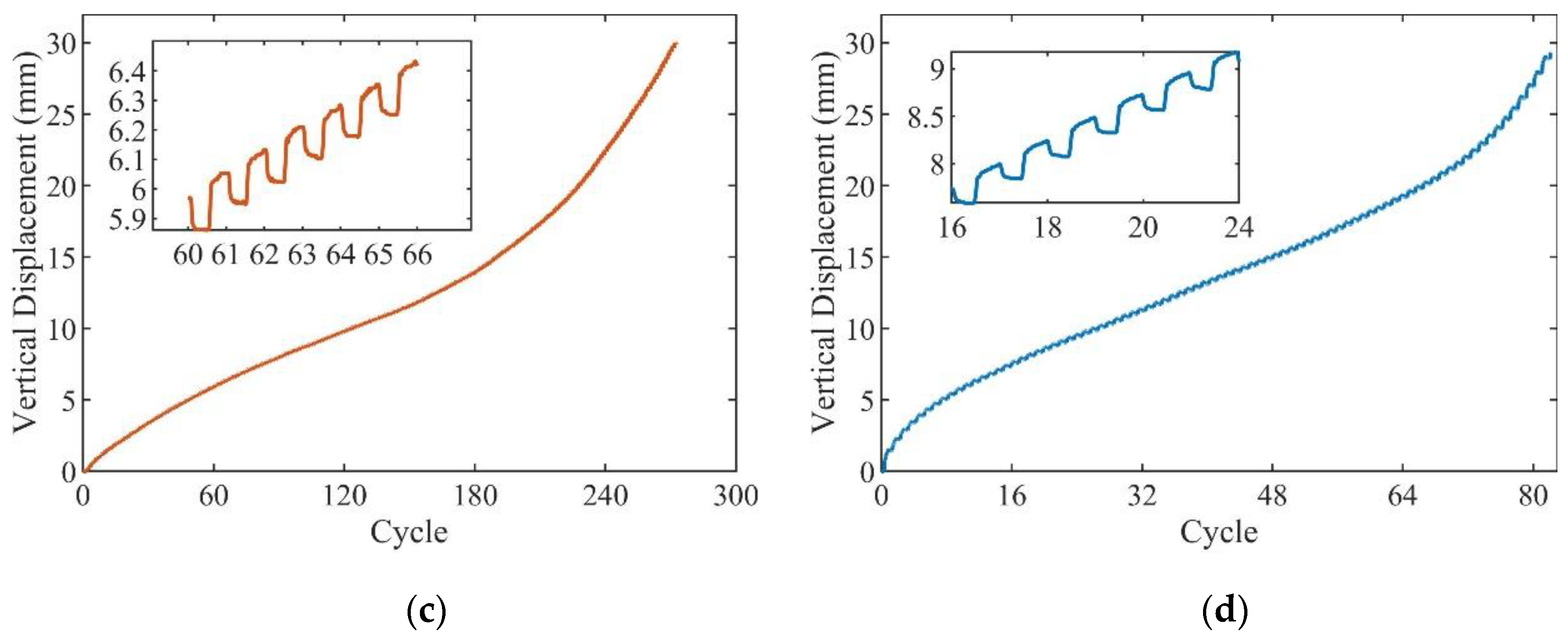
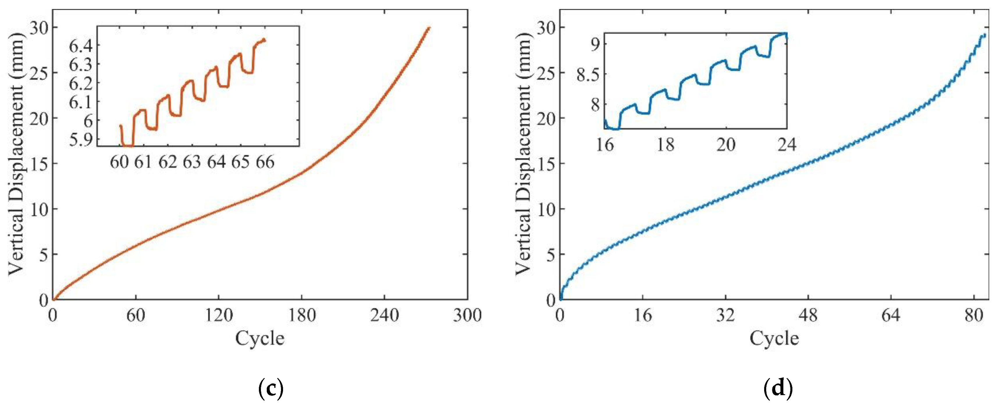
3.4. The Effect of the Oblique Loading Amplitude
4. Conclusions
Author Contributions
Funding
Institutional Review Board Statement
Informed Consent Statement
Data Availability Statement
Acknowledgments
Conflicts of Interest
References
- Bi, C.-W.; Zhao, Y.-P.; Dong, G.-H. Experimental study on the effects of farmed fish on the hydrodynamic characteristics of the net cage. Aquaculture 2020, 524, 735239. [Google Scholar] [CrossRef]
- Huang, X.-H.; Guo, G.-X.; Tao, Q.-Y.; Hu, Y.; Liu, H.-Y.; Wang, S.-M.; Hao, S.-H. Dynamic deformation of the floating collar of a net cage under the combined effect of waves and current. Aquac. Eng. 2018, 83, 47–56. [Google Scholar] [CrossRef]
- Feng, D.; Meng, A.; Wang, P.; Yao, Y.; Gui, F. Effect of design configuration on structural response of longline aquaculture in waves. Appl. Ocean. Res. 2021, 107, 102489. [Google Scholar] [CrossRef]
- Xu, T.-J.; Zhao, Y.-P.; Dong, G.-H.; Bi, C.-W. Fatigue analysis of mooring system for net cage under random loads. Aquac. Eng. 2014, 58, 59–68. [Google Scholar] [CrossRef]
- Hou, H.-M.; Dong, G.-H.; Xu, T.-J.; Zhao, Y.-P.; Bi, C.-W.; Gui, F.-K. Fatigue reliability analysis of mooring system for fish cage. Appl. Ocean. Res. 2018, 71, 77–89. [Google Scholar] [CrossRef]
- Cortes-Garcia, L.D.; Landon, M.E.; Gallant, A.P.; Huguenard, K.D. Assessment of helical anchor capacity in marine clays for aquaculture applications. In Proceedings of the Geo-Congress 2019: Foundations, Philadelphia, PA, USA, 24–27 March 2019; pp. 299–307. [Google Scholar]
- Trujillo, E.; León, L.; Martínez, G. Deadweight anchoring behavior for aquaculture longline. Lat. Am. J. Aquat. Res. 2020, 48, 686–695. [Google Scholar] [CrossRef]
- Hou, H.-M.; Dong, G.-H.; Xu, T.-J.; Zhao, Y.-P.; Bi, C.-W. Dynamic analysis of embedded chains in mooring line for fish cage system. Pol. Marit. Res. 2018, 25, 100. [Google Scholar] [CrossRef] [Green Version]
- Shin, E.; Das, B.; Puri, V.; Yen, S.; Cook, E. Ultimate uplift capacity of model rigid metal piles in clay. Geotech. Geol. Eng. 1993, 11, 203–215. [Google Scholar] [CrossRef]
- Ramadan, M.I.; Butt, S.D.; Popescu, R. Offshore anchor piles under mooring forces: Centrifuge modeling. Can. Geotech. J. 2013, 50, 373–381. [Google Scholar] [CrossRef] [Green Version]
- Yang, M.-H.; Yang, X.-W.; Zhao, M.-H. Study of model experiments on uplift piles in clay under oblique loads. J. Hunan Univ. Nat. Sci. 2016, 43, 13–19. [Google Scholar]
- Wang, Y.; Gao, Y.; Guo, L.; Cai, Y.; Li, B.; Qiu, Y.; Mahfouz, A.H. Cyclic response of natural soft marine clay under principal stress rotation as induced by wave loads. Ocean. Eng. 2017, 129, 191–202. [Google Scholar] [CrossRef]
- Ren, X.-W.; Xu, Q.; Teng, J.; Zhao, N.; Lv, L. A novel model for the cumulative plastic strain of soft marine clay under long-term low cyclic loads. Ocean. Eng. 2018, 149, 194–204. [Google Scholar] [CrossRef]
- Li, L.-L.; Dan, H.-B.; Wang, L.-Z. Undrained behavior of natural marine clay under cyclic loading. Ocean. Eng. 2011, 38, 1792–1805. [Google Scholar] [CrossRef]
- Gui, F.; Kong, J.; Feng, D.; Qu, X.; Zhu, F.; You, Y. Uplift resistance capacity of anchor piles used in marine aquaculture. Sci. Rep. 2021, 11, 20321. [Google Scholar] [CrossRef] [PubMed]
- Poulos, H.G. Cyclic axial loading analysis of piles in sand. J. Geotech. Eng. 1989, 115, 836–852. [Google Scholar] [CrossRef]
- Fan, L.; Chen, J.; Zhang, J. Research on bearing capacity of inclined uplift pile under wave cyclic loading. Rock Soil Mech. 2012, 33, 201–306. [Google Scholar]
- Hong, Y.; He, B.; Wang, L.; Wang, Z.; Ng, C.W.W.; Mašín, D. Cyclic lateral response and failure mechanisms of semi-rigid pile in soft clay: Centrifuge tests and numerical modelling. Can. Geotech. J. 2017, 54, 806–824. [Google Scholar] [CrossRef]
- Lai, Y.; Wang, L.; Hong, Y.; He, B. Centrifuge modeling of the cyclic lateral behavior of large-diameter monopiles in soft clay: Effects of episodic cycling and reconsolidation. Ocean. Eng. 2020, 200, 107048. [Google Scholar] [CrossRef]
- Jardine, R.J.; Standing, J.R. Field axial cyclic loading experiments on piles driven in sand. Soils Found. 2012, 52, 723–736. [Google Scholar] [CrossRef] [Green Version]
- Xu, Y. Study on the Differences and Geneses of Geotechnical Properties of Cohesive Soil in Typical Offshore Areas of China. Ph.D. Thesis, Ocean University of China, Qingdao, China, 2012. [Google Scholar]
- Hu, C.; Mei, L.; Mei, G.; Zai, J. Finite element method for selecting the soil boundary in the model of pile-soil. Build. Sci 2009, 25, 18–20. [Google Scholar]
- Liu, J. Study on Bearing Capacity of Suction Anchors with Taut Mooring Systems in Soft Clay under Cyclic Loading. Ph.D. Thesis, Tianjin University, Tianjin, China, 2012. (In Chinese). [Google Scholar]
- Lu, W.; Zhang, G. Long-term cyclic loading tests for offshore pile foundations based on hydraulic gradient modeling. Ocean Eng. 2019, 44. [Google Scholar] [CrossRef]
- Sedov, L.I.; Volkovets, A. Similarity and Dimensional Methods in Mechanics; CRC Press: Boca Raton, FL, USA, 2018. [Google Scholar]
- Yin, Y.; Jiang, L.; Zhang, Z. Statistical analysis of wave characteristics in the Pearl River Estuary. J. Trop. Oceanogr. 2017, 36, 60–66. [Google Scholar]
- Wu, Y.; Gu, X.; Liu, S.; Tian, C.; Wang, X.; Cheng, X.; Qi, E. Advances of basic research on the responses and safety of very large floating structures in complicated environment. China Basic Sci. 2017, 19, 28–44. [Google Scholar]
- Bhardwaj, S.; Singh, S. Pile capacity under oblique loads–evaluation from load–displacement curves. Int. J. Geotech. Eng. 2015, 9, 341–347. [Google Scholar] [CrossRef]
- Guo, P.-F.; Wang, X.; Yang, L.-C.; Luo, H.-W. Model tests on settlement of single pile in loess under long-term axial cyclic loading. Chin. J. Geotech. Eng. 2015, 37, 551–558. [Google Scholar]
- Cheng, X.; Wang, P.; Li, N.; Liu, Z.; Zhou, Y. Predicting the cyclic behaviour of suction anchors based on a stiffness degradation model for soft clays. Comput. Geotech. 2020, 122, 103552. [Google Scholar] [CrossRef]
- Bai, S.-G.; Hou, Y.-F.; Zhang, H.-R. Analysis on critical cyclic stress ratio and permanent deformation of composite foundation improved by cement-soil piles under cyclic loading. Chin. J. Geotech. Eng. 2006, 04, 677–680. [Google Scholar]
- Liu, Y.; Ren, Q.; Zhang, L. Model test of pile-top displacement variation under effect of horizontal cyclic load. J. Water Resour. Water Eng. 2016, 27, 200–204. [Google Scholar]
- Peng, J.; Clarke, B.; Rouainia, M. Increasing the resistance of piles subject to cyclic lateral loading. J. Geotech. Geoenviron. Eng. 2011, 137, 977–982. [Google Scholar] [CrossRef]

















| Pile Diameter D/(mm) | Pile Length L/(m) | Wall Thickness t/(mm) | Elastic Modulus E/(Gpa) | Bending Stiffness EI/(pa) | |
|---|---|---|---|---|---|
| Prototype | 140 | 3 | 5 | 126.91 | 3.24 × 105 |
| Model | 20 | 0.44 | 2 | 10 | 135.26 |
| Density ρ/(g · cm−3) | Proportion Gs | Void Ratio e0 | Moisture Content ω/(%) | Liquid Limit ωL/(%) | Plastic Limit ωp/(%) |
|---|---|---|---|---|---|
| 1.67 | 2.73 | 1.555 | 56.3 | 40.2 | 22.5 |
| Case | Loading Amplitude/QC | Period/T | Initial Tension Angle/θ | Number of Cycles/Nmax | Loading Method |
|---|---|---|---|---|---|
| 1 | / | / | 0 | / | Static |
| 2 | / | / | 30 | / | |
| 3 | / | / | 45 | / | |
| 4 | / | / | 60 | / | |
| 5 | 2.37s | 0 | 2000 times or pulled out | Dynamic | |
| 6 | |||||
| 7 | |||||
| 8 | |||||
| 9 | 13 N | 2.37s | 30 | 2000 times or pulled out | Dynamic |
| 10 | 13 N ) | 45 | |||
| 11 | 13 N | 60 | |||
| 12 | 2.37s | 45 | 2000 times or pulled out | Dynamic | |
| 13 | 45 |
| Soil stiffness (N/mm) | 3867.29 | 243.7072 | 134.5109 | 69.90654 |
| Condition | Fitting Formula | Decisive Factor/R2 | Function Type |
|---|---|---|---|
| θ = 30° | y = 0.3528 ln(x) + 0.0287 | 0.9878 | logarithmic |
| θ = 45° | y = 0.3029 ln(x) − 0.074 | 0.9982 | logarithmic |
| θ = 60° | y = −10−6x2 + 0.0054x + 0.2269 | 0.9172 | quadratic polynomial |
| Test Condition | Fitting Formula | Decisive Factor/R2 | Function Type |
|---|---|---|---|
| y = 0.3528 ln(x) + 0.0287 | 0.9982 | logarithmic | |
| y = 0.3029 ln(x) − 0.074 | 0.9172 | logarithmic | |
| y = −2 × 10−6x2 + 0.0104x + 0.3142 | 0.9974 | quadratic polynomial |
Publisher’s Note: MDPI stays neutral with regard to jurisdictional claims in published maps and institutional affiliations. |
© 2022 by the authors. Licensee MDPI, Basel, Switzerland. This article is an open access article distributed under the terms and conditions of the Creative Commons Attribution (CC BY) license (https://creativecommons.org/licenses/by/4.0/).
Share and Cite
Kong, J.; Zhang, T.; Gui, F.; Qu, X.; Feng, D. Dynamic Response Analysis of Anchor Piles for Marine Aquaculture under Cyclic Loading. J. Mar. Sci. Eng. 2022, 10, 785. https://doi.org/10.3390/jmse10060785
Kong J, Zhang T, Gui F, Qu X, Feng D. Dynamic Response Analysis of Anchor Piles for Marine Aquaculture under Cyclic Loading. Journal of Marine Science and Engineering. 2022; 10(6):785. https://doi.org/10.3390/jmse10060785
Chicago/Turabian StyleKong, Jianqiao, Tianyuan Zhang, Fukun Gui, Xiaoyu Qu, and Dejun Feng. 2022. "Dynamic Response Analysis of Anchor Piles for Marine Aquaculture under Cyclic Loading" Journal of Marine Science and Engineering 10, no. 6: 785. https://doi.org/10.3390/jmse10060785
APA StyleKong, J., Zhang, T., Gui, F., Qu, X., & Feng, D. (2022). Dynamic Response Analysis of Anchor Piles for Marine Aquaculture under Cyclic Loading. Journal of Marine Science and Engineering, 10(6), 785. https://doi.org/10.3390/jmse10060785
