Numerical Investigation of Breaking Focused Waves and Forces on Coastal Deck Structure with Girders
Abstract
:1. Introduction
2. Materials and Methods
2.1. Numerical Model
2.2. Focused Wave Generation
3. Results and Discussions
3.1. Model Validation
3.2. Breaking Wave Generation in the Numerical Wave Tank
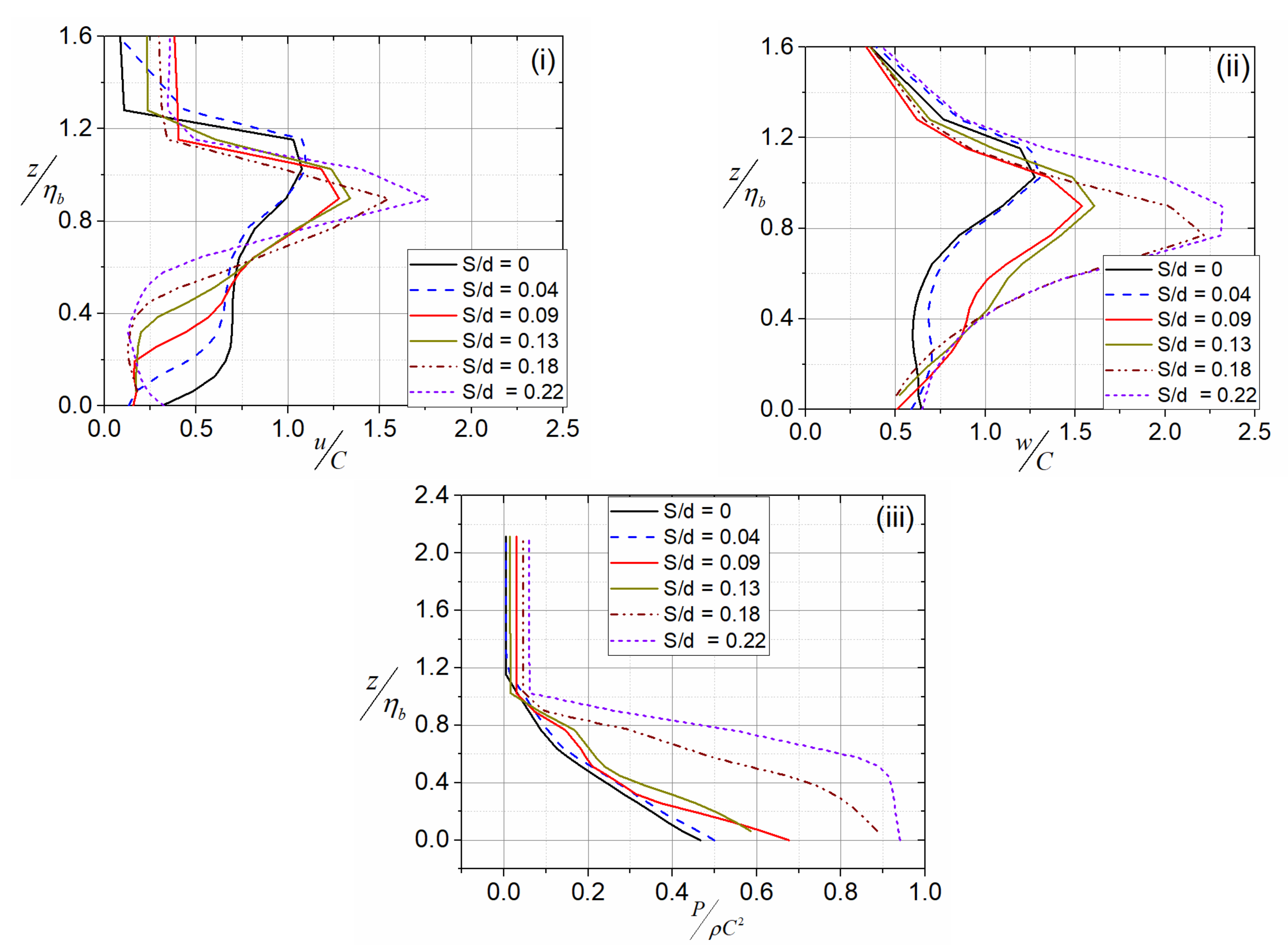
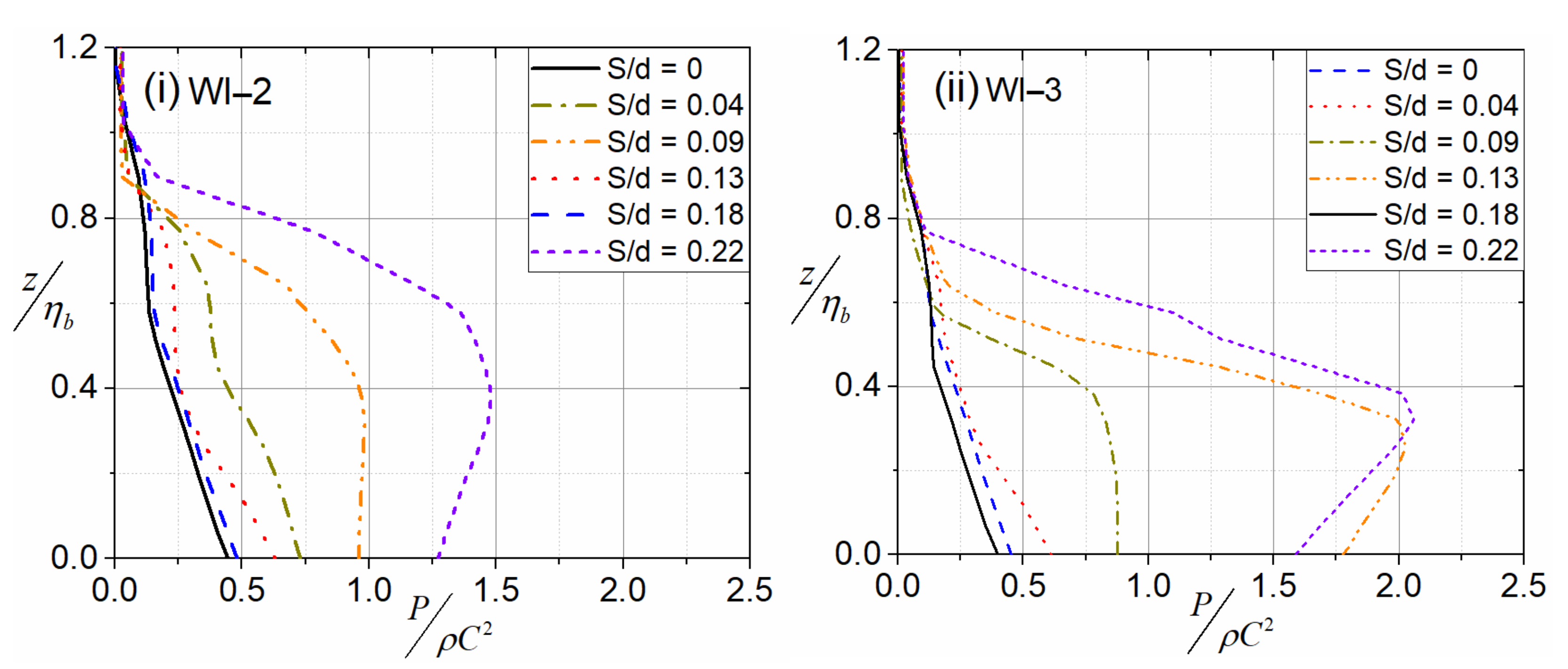
3.3. Breaking Focused Wave Impact on Deck
3.4. Estimation of Force Coefficients Based on Varying Airgap and Wave Height
4. Conclusions
- The average value of relative water depth for different spilling breaking scenarios of focused wave groups is 0.7 and found increase with the steepness.
- The high-crested focused wave groups generating spilling breakers on mild slopes for different input conditions indicate the breaking wave steepness is approximately 0.38.
- The impact pressure, horizontal and vertical velocities are highest when the overturning wave crest hits the deck. For all impact conditions, the peak impact pressure and velocities increase for the structure located above SWL.
- The peak pressure variation and the horizontal velocity variation are showing similar pattern along the vertical z-direction when the wave breaks and the overturning crest hits the deck located above the SWL.
- As the steep wave front becomes vertical and impacts the structure, the peak horizontal and vertical velocities are near the crest region. As the wave breaks and the crest overturns, the position of the peak velocities moves near to the SWL.
- The breaking wave velocities show significant instantaneous increase near the crest when the breaking wave impacts the deck.
- Maximum impact pressure occurs above the still water level for rectangular objects placed above the SWL under breaking wave impact.
- The peak horizontal impact force is higher when the wave breaks ahead and the overturning wave crest hits the deck positioned above SWL. Additionally, the peak vertical impact force is higher when the deck is placed at the water level. The breaking wave forces on the coastal deck structure are dependent on the breaking impact positions in case of spilling breakers.
- The peak horizontal impact force increases with increasing airgap and follows a parabolic profile with increasing airgap, whereas the peak vertical impact force shows a linear decreasing trend with increasing airgap.
- The force coefficients are derived for peak vertical and horizontal impact forces in relation with varying wave height and airgap for breaking focused wave impact.
Author Contributions
Funding
Institutional Review Board Statement
Informed Consent Statement
Data Availability Statement
Conflicts of Interest
Nomenclature
| ρ | Fluid density |
| p | Pressure |
| u | Velocity |
| ν | Kinematic viscosity |
| νt | Eddy viscosity |
| g | Acceleration due to gravity |
| k | Turbulent kinetic energy |
| ω | Specific turbulent dissipation rate |
| Pk | Production rate |
| Δt | Time step |
| ε′ | Interface |
| Level set function | |
| H(ϕ) | Heaviside step function |
| Δx, Δy and Δz | Meshes in x, y and z directions |
| η | Instantaneous free surface elevation; |
| (x0, t0) | Predefined focal location and time, respectively |
| k′ | Wave number |
| ω′ | Angular frequency |
| S (fi) | Spectral density |
| mo | Zeroth moment of input spectrum |
| N | Number of wave components |
| A | Target theoretical linear wave amplitude of the focused wave. |
| Tp | Peak wave period |
| Hs | Significant wave height |
| S | Airgap |
| d | Deep water depth |
| ξ | Surf similarity parameter |
| Ωb | Breaker height index |
| γb | Breaker depth index |
| zw | Vertical z direction from origin |
| z | Vertical distance from SWL |
| Cu | Laboratory derived coefficient |
| Ch | Horizontal force coefficient |
| Cv | Vertical force coefficient |
| ε | Wave crest front steepness |
| δ | Wave crest rear steepness |
| μ | Horizontal asymmetry factor |
References
- Chan, E.S. Mechanics of deep water plunging-wave impacts on vertical structures. Coast. Eng. 1994, 22, 115–133. [Google Scholar] [CrossRef]
- Oumeraci, H.; Kortenhaus, A. Analysis of the dynamic response of caisson breakwaters. Coast. Eng. 1994, 22, 159–183. [Google Scholar] [CrossRef]
- Technical Lifelines Council for Earthquake Engineering (TCLEE, 2006). Hurricane Katrina: Performance of transportation systems. In ASCE Technical Council on Lifeline Earthquake Engineering Monograph No. 29, American Society of Civil Engineers, June; Des Roches, R., Ed. Available online: https://ascelibrary.org/doi/book/10.1061/9780784408797 (accessed on 15 March 2022).
- Padgett, J.; Desroches, R.; Nielson, B.; Yashinsky, M.; Kwon, O. Bridge Damage and Repair Costs from Hurricane Katrina Bridge Damage and Repair Costs from Hurricane Katrina. J. Bridge Eng. 2008, 13, 6–14. [Google Scholar] [CrossRef] [Green Version]
- Hansom, J.D.; Switzer, A.D.; Pile, J. Extreme Waves: Causes, Characteristics, and Impact on Coastal Environments and Society. In Coastal and Marine Hazards, Risks, and Disasters; Elsevier: Amsterdam, The Netherlands, 2014; pp. 307–334. [Google Scholar] [CrossRef]
- Seiffert, B.; Hayatdavoodi, M.; Ertekin, R.C. Experiments and computations of solitary-wave forces on a coastal-bridge deck. Part I: Flat Plate. Coast. Eng. 2014, 88, 194–209. [Google Scholar] [CrossRef]
- Hayatdavoodi, M.; Seiffert, B.; Ertekin, R.C. Experiments and computations of solitary-wave forces on a coastal-bridge deck. Part II: Deck with girders. Coast. Eng. 2014, 88, 194–209. [Google Scholar] [CrossRef]
- Azadbakht, M.; Yim, S.C. Effect of trapped air on wave forces on coastal bridge superstructures. J. Ocean Eng. Mar. Energy 2016, 2, 139–158. [Google Scholar] [CrossRef] [Green Version]
- Xu, G.; Cai, C.; Deng, L. Numerical prediction of solitary wave forces on a typical coastal bridge deck with girders. Struct. Infrastruct. Eng. 2017, 2479, 254–272. [Google Scholar] [CrossRef]
- Istrati, D.; Buckle, I.; Lomonaco, P.; Yim, S. Deciphering the tsunami wave impact and associated connection forces in open-girder coastal bridges. J. Mar. Sci. Eng. 2018, 6, 148. [Google Scholar] [CrossRef] [Green Version]
- Moideen, R.; Behera, M.R.; Kamath, A.; Bihs, H. Effect of Girder Spacing and Depth on the Solitary Wave Impact on Coastal Bridge Deck for Di ff erent Airgaps. J. Mar. Sci. Eng. 2019, 7, 140. [Google Scholar] [CrossRef] [Green Version]
- Xiang, T.; Istrati, D. Assessment of extreme wave impact on coastal decks with different geometries via the arbitrary lagrangian-eulerian method. J. Mar. Sci. Eng. 2021, 9, 1342. [Google Scholar] [CrossRef]
- Xiang, T.; Istrati, D.; Yim, S.C.; Buckle, I.G.; Lomonaco, P. Tsunami Loads on a Representative Coastal Bridge Deck: Experimental Study and Validation of Design Equations. J. Waterw. Port. Coastal. Ocean Eng. 2020, 146, 04020022. [Google Scholar] [CrossRef]
- Whittaker, C.N.; Raby, A.C.; Fitzgerald, C.J.; Taylor, P.H. The average shape of large waves in the coastal zone. Coast. Eng. 2016, 114, 253–264. [Google Scholar] [CrossRef] [Green Version]
- Moideen, R.; Behera, M.R.; Kamath, A.; Bihs, H. Numerical modelling of solitary and focused wave forces on coastal-bridge deck. Coast. Eng. Proc. 2018, 36, 12. [Google Scholar] [CrossRef]
- Alagan Chella, M.; Bihs, H.; Myrhaug, D.; Muskulus, M. Breaking solitary waves and breaking wave forces on a vertically mounted slender cylinder over an impermeable sloping seabed. J. Ocean Eng. Mar. Energy 2017, 3, 1–19. [Google Scholar] [CrossRef]
- Aggarwal, A.; Bihs, H.; Myrhaug, D.; Chella, M.A. Characteristics of breaking irregular wave forces on a monopile. Appl. Ocean Res. 2019, 90, 101846. [Google Scholar] [CrossRef]
- Ramberg, S.E.; Griffin, O.M. Laboratory study of steep and breaking deep water waves. J. Waterw. Port Coast. Ocean Eng. 1987, 113, 493–506. [Google Scholar] [CrossRef] [Green Version]
- Kjeldsen, S.P.; Myrhaug, D. Kinematics and Dynamics of Breaking waves. In Rep. No. STF60 A79044, Ships Rough Seas, Part 4, Nor. Hydrodyn. Lab.; Vassdrags og Havnelaboratoriet Norway: Trondhei, Norway, 1979. [Google Scholar]
- Bonmarin, P. Geometric properties of deep-water breaking waves. J. Fluid Mech. 1989, 209, 405–433. [Google Scholar] [CrossRef]
- Swift, R.H. Prediction of breaking wave forces on vertical cylinders. Coast. Eng. 1989, 13, 97–116. [Google Scholar] [CrossRef]
- Zhou, D.; Chan, E.S.; Melville, W.K. Wave impact pressures on vertical cylinders. Appl. Ocean Res. 1991, 13, 220–234. [Google Scholar] [CrossRef]
- Wienke, J.; Oumeraci, H. Breaking wave impact force on a vertical and inclined slender pile—Theoretical and large-scale model investigations. Coast. Eng. 2005, 52, 435–462. [Google Scholar] [CrossRef]
- Tromans, P.S.; Anaturk, A.R.; Hagemeijer, A. A new model for the kinematics of large ocean waves-application as a design wave. In Proceedings of the 1st International Offshore and Polar Engineering Conference, Edinburgh, UK, 11–16 August 1991; pp. 64–71. [Google Scholar]
- Ning, D.Z.; Zang, J.; Liu, S.X.; Eatock Taylor, R.; Teng, B.; Taylor, P.H. Free-surface evolution and wave kinematics for nonlinear uni-directional focused wave groups. Ocean Eng. 2009, 36, 1226–1243. [Google Scholar] [CrossRef]
- Rapp, R.; Melville, W.K. Laboratory measurements of deep-water breaking waves. Math. Phys. Sci. 1990, 331, 735–808. [Google Scholar]
- Kway, J.H.L.; Loh, Y.S.; Chan, E.S. Laboratory study of deep-water breaking waves. Ocean Eng. 1998, 25, 657–676. [Google Scholar] [CrossRef]
- Kharif, C.; Pelinovsky, E. Physical mechanisms of the rogue wave phenomenon. Eur. J. Mech. B/Fluids 2003, 22, 603–634. [Google Scholar] [CrossRef] [Green Version]
- Perlin, M.; Choi, W.; Tian, Z. Breaking Waves in Deep and Intermediate Waters. Annu. Rev. Fluid Mech. 2013, 45, 115–145. [Google Scholar] [CrossRef] [Green Version]
- Tian, Z.; Perlin, M.; Choi, W. Energy dissipation in two-dimensional unsteady plunging breakers and an eddy viscosity model. J. Fluid Mech. 2010, 655, 217–257. [Google Scholar] [CrossRef] [Green Version]
- Tian, Z.; Perlin, M.; Choi, W. Evaluation of a deep-water wave breaking criterion. Phys. Fluids 2008, 20, 066604. [Google Scholar] [CrossRef]
- Bredmose, H.; Jacobsen, N.G. Breaking Wave Impacts on Offshore Wind Turbine Foundations: Focused Wave Groups and CFD. In Proceedings of the ASME 2010 29th International Conference on Ocean, Offshore and Arctic Engineering, Shanghai, China, 6–11 June 2010. [Google Scholar]
- Hildebrandt, A.; Schlurmann, T. Breaking wave kinematics, local pressures, and forces on a tripod support structure. In Proceedings of the Coastal Engineering Conference (2012), Reston: American Society of Civil Engineers, Cantabria, Spain, 1–6 July 2012; pp. 1–14. [Google Scholar]
- Ghadirian, A.; Bredmose, H.; Dixen, M. Breaking phase focused wave group loads on offshore wind turbine monopiles. J. Phys. Conf. Ser. 2016, 753, 092004. [Google Scholar] [CrossRef] [Green Version]
- Araki, S. Pressure Acting on Underside of Bridge Deck. In Procedia Engineering; Elsevier B.V.: Amsterdam, The Netherlands, 2015; pp. 454–461. [Google Scholar] [CrossRef] [Green Version]
- Wu, Y.; Chang, K.-A. Experimental study of breaking wave impinging and overtopping a deck structure. In Proceedings of the ASME 2016 35th International Conference on Ocean, Offshore and Arctic Engineering, Busan, Korea, 19–24 June 2016; pp. 1–6. [Google Scholar]
- Alagan Chella, M.; Bihs, H.; Myrhaug, D.; Arntsen, Ø.A. Numerical Modeling of Breaking Wave Kinematics and Wave Impact Pressures on a Vertical Slender Cylinder. J. Offshore Mech. Arct. Eng. 2018, 141, 051802. [Google Scholar] [CrossRef]
- Kamath, A.; Chella, M.A.; Bihs, H.; Arntsen, Ø.A. Energy transfer due to shoaling and decomposition of breaking and non-breaking waves over a submerged bar. Eng. Appilcations Compuatational Fluid Mech. 2017, 11, 450–466. [Google Scholar] [CrossRef]
- Moideen, R.; Behera, M.R.; Kamath, A.; Bihs, H. Numerical simulation and analysis of phase focused breaking and non-breaking wave impact on fixed offshore platform deck. J. Offshore Mech. Arct. Eng. 2020, 3, 051901. [Google Scholar] [CrossRef]
- Bozorgnia, M.; Lee, J.-J.; Raichlen, F. Wave Structure Interaction: Role of Entrapped Air on Wave Impact and Uplift Forces. Coast. Eng. 2010, 1, 1–12. [Google Scholar] [CrossRef]
- Istrati, D.; Buckle, I.G.; Lomonaco, P.; Yim, S.; Itani, A. Tsunami Induced Forces in Bridges: Large-Scale Experiments and the Role of Air-Entrapment. Coast. Eng. Proc. 2017, 1–14. [Google Scholar] [CrossRef] [Green Version]
- Istrati, D.; Buckle, I. Role of trapped air on the tsunami-induced transient loads and response of coastal bridges. Geosciences 2019, 9, 191. [Google Scholar] [CrossRef] [Green Version]
- Istrati, D.; Buckle, I.G. Tsunami Loads on Straight and Skewed Bridges—Part 1: Experimental Investigation and Design Recommendations (No. FHWA-OR-RD-21-12). In Oregon. Dept. of Transportation. Research Section; Repository and Open Science Access Portal. 2021. Available online: https://rosap.ntl.bts.gov/view/dot/55988 (accessed on 15 March 2022).
- Bihs, H.; Kamath, A.; Alagan Chella, M.; Aggarwal, A.; Arntsen, Ø.A. A new level set numerical wave tank with improved density interpolation for complex wave hydrodynamics. Comput. Fluids 2016, 140, 191–208. [Google Scholar] [CrossRef]
- Mayer, S.; Madsen, P.A. Simulation of breaking waves in the surf zone using a Navier-Stokes solver. In Proceedings of the 27th Conference on Coastal Engineering, Sydney, Australia, 29 January 2000; Volume 276, pp. 928–941. [Google Scholar] [CrossRef]
- Durbin, P.A. Limiters and wall treatments in applied turbulence modeling. Fluid Dyn. Res. 2009, 41, 012203. [Google Scholar] [CrossRef]
- Dan, N.; Rodi, W. Calculation of Secondary Currents in Channel Flow. J. Hydraul. Eng. 1982, 108, 948–968. [Google Scholar]
- Chorin, A.J. Numerical Solution of Navier Stokes Equations. Math. Comput. 1968, 22, 745–762. [Google Scholar] [CrossRef]
- Griebel, M.; Dornseifer, T.; Neunhoeffer, T. Numerical Simulation in Fluid Dynamics, A Practical Introduction. In Society for Industrial and Applied Mathematics; Society for Industrial and Applied Mathematics Philadelphia: Philadelphia, PA, USA, 1998. [Google Scholar]
- Sussman, M.; Smereka, P.; Osher, S. A Level Set Approach for Computing Solutions to Incompressible Two-Phase Flow. J. Comput. Phys. 1994, 114, 146–159. [Google Scholar] [CrossRef]
- Schäffer, H.A. Second-order wavemaker theory for irregular waves. Ocean Eng. 1996, 23, 47–88. [Google Scholar] [CrossRef]
- Seiffert, B.R.; Ertekin, R.C.; Robertson, I.N. Wave loads on a coastal bridge deck and the role of entrapped air. Appl. Ocean Res. 2015, 53, 91–106. [Google Scholar] [CrossRef]
- Alagan Chella, M.; Bihs, H.; Myrhaug, D.; Muskulus, M. Hydrodynamic characteristics and geometric properties of plunging and spilling breakers over impermeable slopes. Ocean Model. 2016, 103, 53–72. [Google Scholar] [CrossRef]
- Ting, F.C.K.; Kirby, J.T. Dynamics of surf-zone turbulence in a spilling breaker. Coast. Eng. 1996, s7-VI, 169. [Google Scholar] [CrossRef]
- Moideen, R.; Behera, M.R. Numerical investigation of extreme wave impact on coastal bridge deck using focused waves. Ocean Eng. 2021, 234, 109227. [Google Scholar] [CrossRef]
- Alagan Chella, M.; Bihs, H.; Myrhaug, D.; Muskulus, M. Breaking characteristics and geometric properties of spilling breakers over slopes. Coast. Eng. 2015, 95, 4–19. [Google Scholar] [CrossRef] [Green Version]
- USCAE The U.S. Army Corps of Engineers. Coastal Engineering Manual, Part IV; 2006. Available online: https://www.publications.usace.army.mil/USACE-Publications/Engineer-Manuals/u43544q/636F617374616C20656E67696E656572696E67206D616E75616C/ (accessed on 15 March 2022).
- Fox, R.W.; McDonald, A.T. Introduction to Fluid Mechanics, 3rd ed.; John Wiley and Sons: New York, NY, USA, 1985. [Google Scholar]
























| Specifications | Prototype | Model |
|---|---|---|
| Length, L (m) | 11 m | 1.1 m |
| Deck thickness, tg (m) | 0.2 m | 0.02 m |
| Girder height, dg (m) | 1 m | 0.1 m |
| Girder spacing, Sg (m) | 2.6 m | 0.26 m |
| Significant wave height, Hs (m) Peak wave period (Tp) | 1.5–1.9 m 6.32–7.9 s | 0.15–0.19 m 2–2.5 s |
| Airgap, S (m) | 0–1 m | 0–0.1 m |
| Deep water depth, d (m) | 4.5 m | 0.45 m |
| Breaking water depth, db (m) | 2.8 m | 0.28 m |
| Wave length, Lp (m) | ~28–40 m | ~2.8–4 m |
| Hs (m) | 0.15 | 0.16 | 0.17 | 0.16 | 0.17 | 0.18 | 0.19 | 0.18 | 0.175 | 0.19 |
| Tp (s) | 2.5 | 2.5 | 2.5 | 2.2 | 2.2 | 2.2 | 2.2 | 2 | 2 | 2 |
| ξ | 0.14 | 0.12 | 0.12 | 0.13 | 0.11 | 0.11 | 0.1 | 0.1 | 0.12 | 0.1 |
| SI | WI | db/H0 | Fh * | Fv * | |
|---|---|---|---|---|---|
| 1 | Hs = 0.15 m Tp = 2.5 s | WI-1 | 1.8 | 1.026 | 0.546 |
| WI-2 | 1.52 | 0.548 | |||
| WI-3 | 1.98 | 0.546 | |||
| 2 | Hs = 0.16 m Tp = 2.5 s | WI-1 | 1.8 | 1.28 | 0.443 |
| WI-2 | 1.32 | 0.535 | |||
| WI-3 | 1.85 | 0.42 | |||
| 3 | Hs = 0.16 m Tp = 2.2 s | WI-1 | 1.79 | 1.3 | 0.519 |
| WI-2 | 1.5 | 0.518 | |||
| WI-3 | 1.1 | 0.532 | |||
| 4 | Hs = 0.18 m Tp = 2.2 s | WI-1 | 1.84 | 0.626 | 0.486 |
| WI-2 | 0.88 | 0.450 | |||
| WI-3 | 1.57 | 0.44 | |||
| 5 | Hs = 0.175 m Tp = 2.0 s | WI-1 | 1.82 | 0.945 | 0.46 |
| WI-2 | 1.6 | 0.458 | |||
| WI-3 | 0.855 | 0.4678 | |||
| 6 | Hs = 0.19 Tp = 2.0 s | WI-1 | 1.83 | 0.85 | 0.404 |
| WI-2 | 0.976 | 0.473 | |||
| WI-3 | 1.46 | 0.413 | |||
Publisher’s Note: MDPI stays neutral with regard to jurisdictional claims in published maps and institutional affiliations. |
© 2022 by the authors. Licensee MDPI, Basel, Switzerland. This article is an open access article distributed under the terms and conditions of the Creative Commons Attribution (CC BY) license (https://creativecommons.org/licenses/by/4.0/).
Share and Cite
Moideen, R.; Behera, M.R. Numerical Investigation of Breaking Focused Waves and Forces on Coastal Deck Structure with Girders. J. Mar. Sci. Eng. 2022, 10, 768. https://doi.org/10.3390/jmse10060768
Moideen R, Behera MR. Numerical Investigation of Breaking Focused Waves and Forces on Coastal Deck Structure with Girders. Journal of Marine Science and Engineering. 2022; 10(6):768. https://doi.org/10.3390/jmse10060768
Chicago/Turabian StyleMoideen, Rameeza, and Manasa Ranjan Behera. 2022. "Numerical Investigation of Breaking Focused Waves and Forces on Coastal Deck Structure with Girders" Journal of Marine Science and Engineering 10, no. 6: 768. https://doi.org/10.3390/jmse10060768
APA StyleMoideen, R., & Behera, M. R. (2022). Numerical Investigation of Breaking Focused Waves and Forces on Coastal Deck Structure with Girders. Journal of Marine Science and Engineering, 10(6), 768. https://doi.org/10.3390/jmse10060768

