Model Test of the Pullout Bearing Capacity of End-Bearing Torpedo Anchors
Abstract
:1. Introduction
2. Materials and Methods
2.1. Test Materials
2.2. Model Arrangement
2.3. Test Methods
3. Results and Discussion
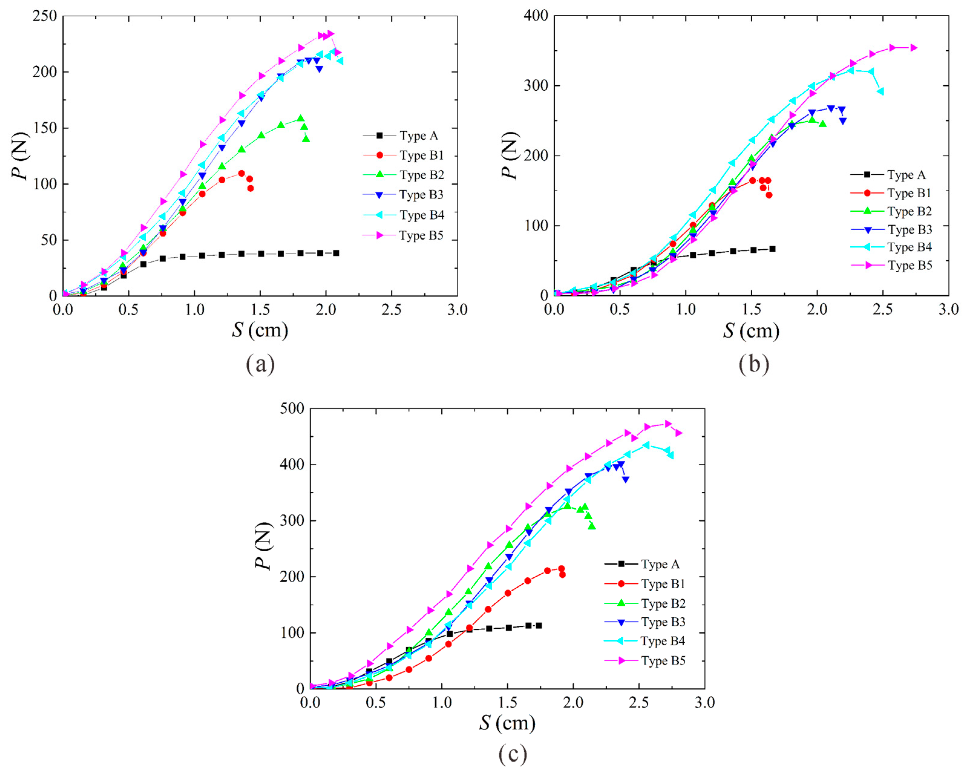
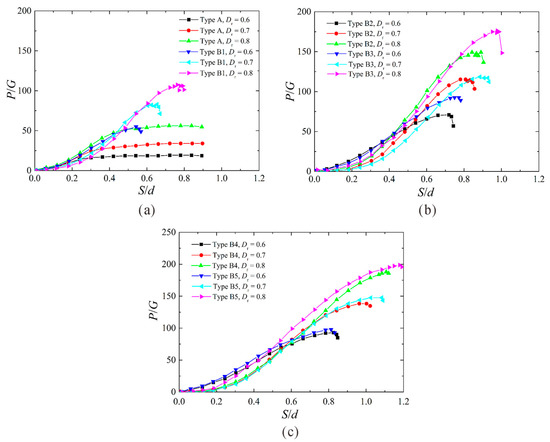
3.1. Analysis of Vertical Load–Displacement Curves
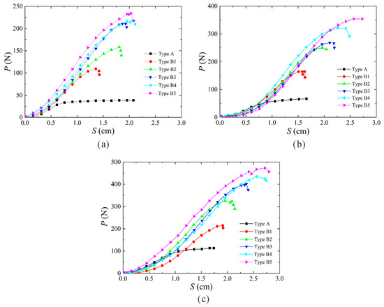
3.2. Analysis of Oblique and Horizontal Load–Displacement Curves
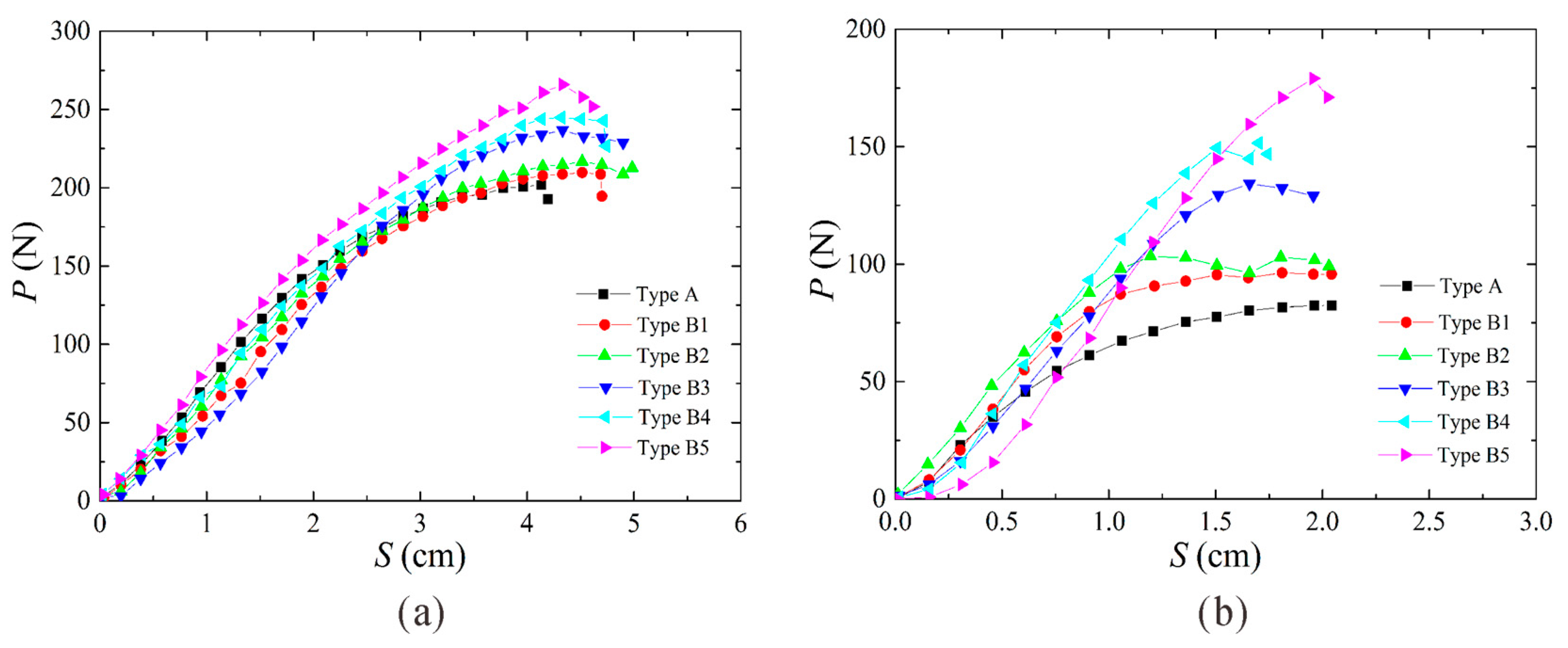
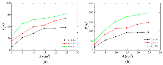
3.3. Effects of h on P
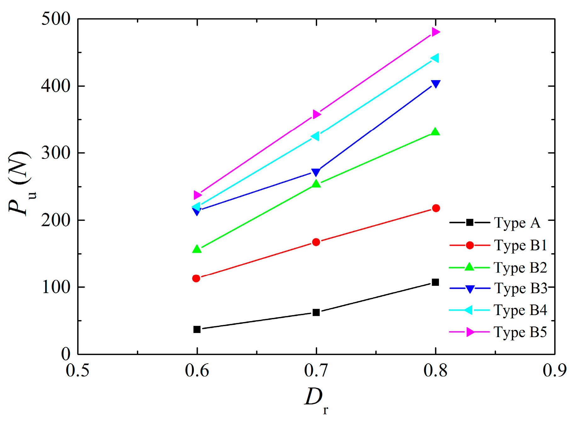
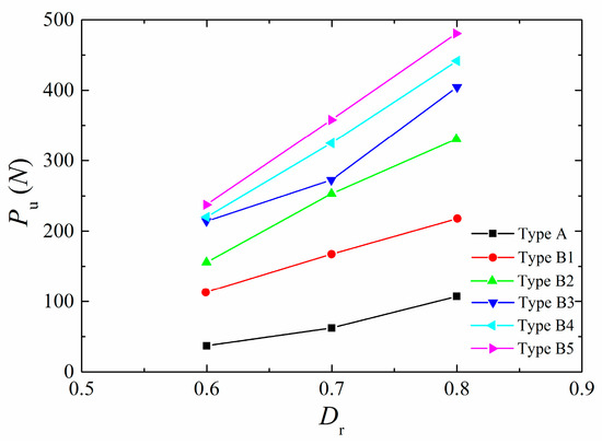
3.4. Effects of Dr on P
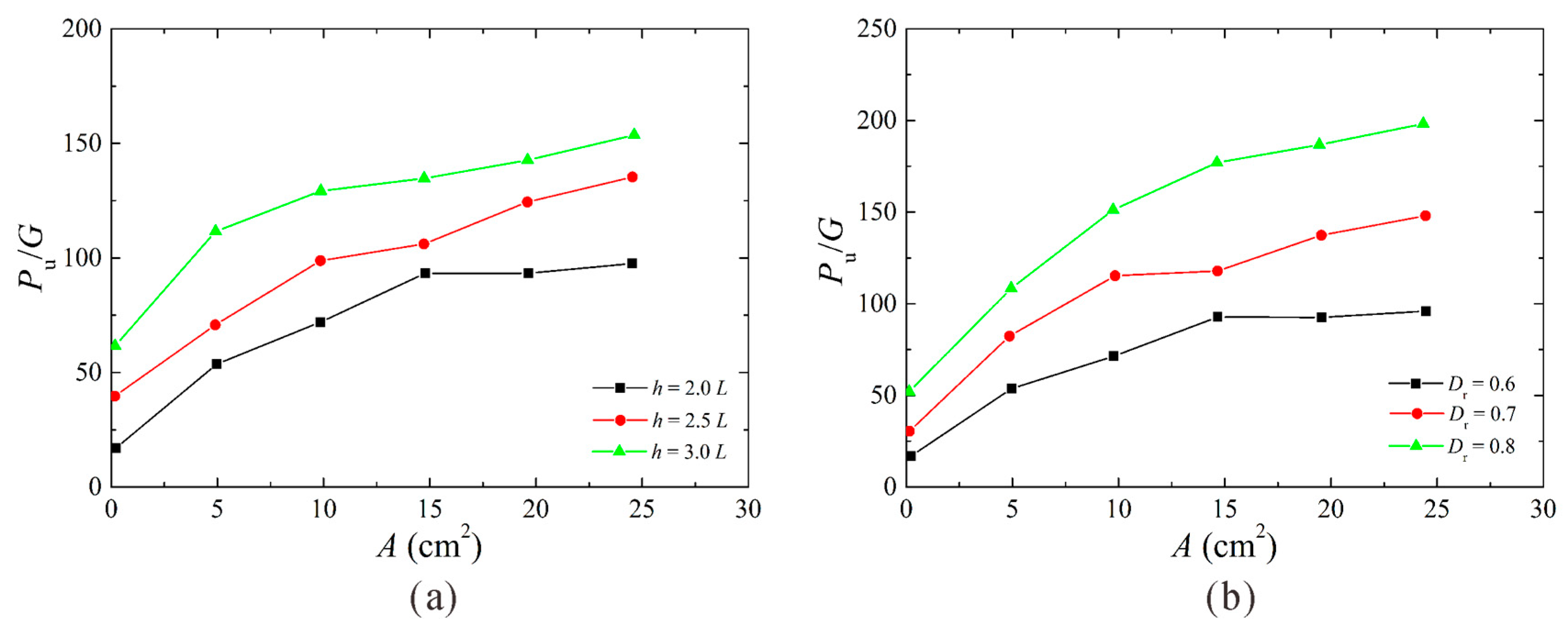
3.5. Effects of A on P
4. Conclusions
- (1)
- When embedment depth reached 2 times the shank length, for the conventional torpedo anchor, the vertical bearing capacity increased slowly as displacement increased, with no peak on the bearing capacity–displacement curve. In comparison, for each end-bearing torpedo anchor, the vertical bearing capacity increased rapidly as displacement increased, with a notable peak on the bearing capacity–displacement curve. Under vertical pullout loading, the bearing capacity of each end-bearing torpedo anchor was much higher than that of the conventional torpedo anchor, and increased as area increased.
- (2)
- Under horizontal pullout loading, similar bearing capacity-displacement curves were obtained for the conventional and end-bearing torpedo anchors, and each had a peak. In addition, these two types of torpedo anchors displayed essentially similar bearing capacity values. Under pullout loading at a pullout angle equal to 45°, area had a relatively significant impact on the bearing capacity of the end-bearing torpedo anchor. The bearing capacity increased relatively considerably as area increased beyond three times the cross-sectional area of the shank, with a notable peak on the bearing capacity–displacement curve. In contrast, there was no peak on the bearing capacity–displacement curve when the area was smaller than three times the cross-sectional area of the shank.
- (3)
- Both embedment depth and relative density were found to have a major impact on the bearing capacity. The bearing capacity of the conventional and end-bearing torpedo anchors increased as embedment depth and relative density increased. In addition, increasing embedment depth and relative density had a significantly greater impact on the bearing capacity of the conventional torpedo anchor than that of the end-bearing torpedo anchor. At fixed embedment depth and relative density, the bearing capacity of the end-bearing torpedo anchor was significantly higher than that of the conventional torpedo anchor, and increased as area increased.
- (4)
- Based on the research results, it can be found that the bearing capacity of torpedo anchors under horizontal pullout loading is greater than that of oblique and vertical pullout loading. The bearing capacity of the end-bearing torpedo anchor significantly increased as shank area, embedment depth, and relative density increased, and it reached maximum when embedment depth reached 3 times the shank length, relative density reached 0.8, and shank area reached 6 times the cross-sectional area. These research results can provide a guideline for installation of torpedo anchors, which need to be validated in further studies.
Author Contributions
Funding
Institutional Review Board Statement
Informed Consent Statement
Data Availability Statement
Acknowledgments
Conflicts of Interest
References
- Zhou, L.L.; Bao, X.W.; Yu, J.; Zhang, Y.; Feng, R.Y. Recent initiatives and developments in the ecological utilization of marine resources (EUMR) in China. J. Coast. Res. 2019, 93, 443–449. [Google Scholar] [CrossRef]
- Zereshkian, S.; Mansoury, D. A study on the feasibility of using solar radiation energy and ocean thermal energy conversion to supply electricity for offshore oil and gas fields in the Caspian Sea. Renew. Energy 2021, 163, 66–77. [Google Scholar] [CrossRef]
- Tay, J.H.; Show, K.Y.; Lee, D.J.; Hong, S.Y. Reuse of wastewater sludge with marine clay as a new resource of construction aggregates. Water Sci. Technol. 2004, 50, 189–196. [Google Scholar] [CrossRef] [PubMed]
- Spagnoli, G.; Doherty, P.; Murphy, G.; Attari, A. Estimation of the compression and tension loads for a novel mixed-in-place offshore pile for oil and gas platforms in silica and calcareous sands. J. Pet. Sci. Eng. 2015, 136, 1–11. [Google Scholar] [CrossRef]
- Yan, W.; Zhang, G.X.; Xia, B.; Zhang, L.; Yang, Z.; Lei, Z.Y.; Yao, H.Q. Seismic characteristics and development patterns of miocene carbonate platform in the Beikang basin, southern South China Sea. Acta Geol. Sin. 2020, 94, 1651–1661. [Google Scholar] [CrossRef]
- Zhang, N.; Evans, T.M. Discrete numerical simulations of torpedo anchor installation in granular soils. Comput. Geotech. 2019, 108, 40–52. [Google Scholar] [CrossRef]
- Kim, Y.H.; Hossain, M.S.; Lee, J.K. Dynamic installation of a torpedo anchor in two-layered clays. Can. Geotech. J. 2017, 55, 446–454. [Google Scholar] [CrossRef] [Green Version]
- Soh, B.; Pao, W.; Chen, X.H. Numerical analyses for improved terminal velocity of deep water torpedo anchor. Int. J. Numer. Methods Heat Fluid Flow 2017, 27, 428–443. [Google Scholar] [CrossRef] [Green Version]
- Wang, C.; Zhang, M.X.; Yu, G.L. Vertical pullout behaviour of a torpedo anchor vertically in stiff-over-soft cohesive soil bed. IOP Conf. Ser. Earth Environ. Sci. 2019, 300, 022139. [Google Scholar] [CrossRef]
- Raie, M.S.; Tassoulas, J.L. Installation of torpedo anchors: Numerical modeling. J. Geotech. Geoenviron. Eng. 2009, 135, 1805–1813. [Google Scholar] [CrossRef]
- Chen, X.H.; Zhang, M.X.; Yu, G.L. A self-penetration torpedo anchor with vibrational shearing. Ocean Eng. 2021, 236, 109315. [Google Scholar] [CrossRef]
- Wang, W.K.; Wang, X.F.; Yu, G.L. Penetration depth of torpedo anchor in cohesive soil by free fall. Ocean Eng. 2016, 116, 286–294. [Google Scholar] [CrossRef]
- Ads, A.; Iskander, M.; Bless, S.; Omidvar, M. Visualizing the effect of Fin length on torpedo anchor penetration and pullout using a transparent soil. Ocean Eng. 2020, 216, 108021. [Google Scholar] [CrossRef]
- Hossain, M.S.; O’Loughlin, C.D.; Kim, Y. Dynamic installation and monotonic pullout of a torpedo anchor in calcareous silt. Geotechnique 2015, 65, 77–90. [Google Scholar] [CrossRef] [Green Version]
- Lai, Y.; Huang, Y.H.; Chen, C.; Zhu, B. Free-fall penetration behaviors of a new dynamically installed plate anchor in marine clay. China Ocean Eng. 2020, 34, 795–805. [Google Scholar] [CrossRef]
- Hasanloo, D.; Pang, H.L.; Yu, G.L. On the estimation of the falling velocity and drag coefficient of torpedo anchor during acceleration. Ocean Eng. 2012, 42, 135–146. [Google Scholar] [CrossRef]
- Wang, W.K.; Wang, X.F.; Yu, G.L. Vertical holding capacity of torpedo anchors in underwater cohesive soils. Ocean Eng. 2018, 161, 291–307. [Google Scholar] [CrossRef]
- Wang, C.; Wang, X.F.; Chen, X.H.; Yu, G.L. Maximum vertical pullout force of torpedo anchors in cohesive seabeds at different steady pullout velocities. J. Coastal Res. 2020, 36, 1068–1078. [Google Scholar] [CrossRef]
- Wang, C.; Chen, X.H.; Yu, G.L. Maximum force of inclined pullout of a torpedo anchor in cohesive beds. China Ocean Eng. 2019, 33, 333–343. [Google Scholar] [CrossRef]
- Wang, C.; Zhang, M.X.; Yu, G.L. Penetration depth of torpedo anchor in two-layered cohesive soil bed by free fall. China Ocean Eng. 2018, 32, 706–717. [Google Scholar] [CrossRef]
- Santiago, P.C.; Saboya, F.; Tibana, S.; Reis, R.M.; Borges, R.G. Centrifuge modelling of a combined pile-type anchor subjected to general inclined loading. Mar. Struct. 2020, 74, 102815. [Google Scholar] [CrossRef]
- Fernandes, A.C.; de Araujo, J.B.; de Almeida, J.C.L.; Machado, R.D.; Matos, V. Torpedoanchor installation hydrodynamics. J. Offshore Mech. Arct. Eng. 2006, 128, 286–293. [Google Scholar] [CrossRef]
- Fernandes, A.C.; Sales, J.J.S.; Silva, D.F.C.; Diederichs, G.R. Directional stability of the torpedo anchor pile during its installation. IES J. Part A Civ. Struct. Eng. 2011, 4, 180–189. [Google Scholar] [CrossRef]
- Chang, K.; Hossain, M.S.; Kim, Y.H. Performance of a novel dynamically installed fish anchor in calcareous silt. J. Geotech. Geoenviron. Eng. 2019, 145, 04019019. [Google Scholar] [CrossRef]
- Raaj, S.K.; Saha, N.; Sundaravadivelu, R. Freefall hydrodynamics of torpedo anchors through experimental and numerical analysis. Ocean Eng. 2022, 243, 110213. [Google Scholar] [CrossRef]
- Kunitaki, D.M.K.N.; de Lima, B.S.L.P.; Evsukoff, A.G.; Jacob, B.P. Probabilistic and fuzzy arithmetic approaches for the treatment of uncertainties in the installation of torpedo piles. Math. Probl. Eng. 2008, 2008, 512343. [Google Scholar] [CrossRef] [Green Version]
- O’Beirne, C.; O’Loughlin, C.D.; Gaudin, C. A release-to-rest model for dynamically installed anchors. J. Geotech. Geoenviron. Eng. 2017, 143, 04017052. [Google Scholar] [CrossRef]
- Raie, M.S.; Tassoulas, J.L. Simulation of torpedo anchor set-up. Mar. Struct. 2016, 49, 138–147. [Google Scholar] [CrossRef]
- Sagrilo, L.V.S.; de Sousa, J.R.M.; Lima, E.C.P.; Porto, E.C.; Fernandes, J.V.V. A Study on the holding capacity safety factors for torpedo anchors. J. Appl. Math. 2012, 2012, 102618. [Google Scholar] [CrossRef]
- De Sousa, J.R.M.; de Aguiar, C.S.; Ellwanger, G.B.; Porto, E.C.; Foppa, D.; de Medeiros, C.J. Undrained load capacity of torpedo anchors embedded in cohesive soils. J. Offshore Mech. Arct. Eng. 2011, 133, 021102. [Google Scholar] [CrossRef]
- Kim, Y.H.; Hossain, M.S.; Wang, D. Effect of strain rate and strain softening on embedment depth of a torpedo anchor in clay. Ocean Eng. 2015, 108, 704–715. [Google Scholar] [CrossRef] [Green Version]
- Kim, Y.H.; Roshera, L.T. Performance of novel dynamic installed anchors during installation and monotonic pullout. Geomech. Eng. 2019, 18, 153–159. [Google Scholar]
- Kim, Y.H.; Hossain, M.S. Numerical study on pull-out capacity of torpedo anchors in clay. Géotechn. Lett. 2016, 6, 275–282. [Google Scholar] [CrossRef] [Green Version]
- Kim, Y.H.; Hossain, M.S.; Wang, D.; Randolph, M.F. Numerical investigation of dynamic installation of torpedo anchors in clay. Ocean Eng. 2015, 108, 820–832. [Google Scholar] [CrossRef] [Green Version]
- Sabetamal, H.; Carter, J.P.; Nazem, M.; Sloan, S.W. Coupled analysis of dynamically penetrating anchors. Comput. Geotech. 2016, 77, 26–44. [Google Scholar] [CrossRef]
- Sabetamal, H.; Nazem, M.; Carter, J.P.; Sloan, S.W. Large deformation dynamic analysis of saturated porous media with applications to penetration problems. Comput. Geotech. 2014, 55, 117–131. [Google Scholar] [CrossRef]
- American Petroleum Institute. Recommended Practice for Planning, Designing and Constructing Fixed Offshore Platforms-Working Stress Design, 21st ed.; RP2A-WSD; American Petroleum Institute: Washington, DC, USA, 2000. [Google Scholar]










| Gs | emax | emin | Cu | Cc |
|---|---|---|---|---|
| 2.650 | 0.802 | 0.349 | 3.623 | 1.099 |
| Parameter | Symbol | Scale (Prototype/Model) |
|---|---|---|
| Length | L | λ |
| Depth | h | λ |
| Area | A | λ2 |
| Mass | m | λ3 |
| Gravity | G | λ3 |
| Water density | ρw | 1 |
| Soil density | ρs | 1 |
| Time | t | λ0.5 |
| Drag resistance | P | λ3 |
| Displacement | S | λ |
| Dr | h (cm) | α (°) |
|---|---|---|
| 0.6 | 2.0L | 0°, 45°, 90° |
| 0.6 | 2.5L, 3.0L | 90° |
| 0.7 | 2.0L | 90° |
| 0.8 | 2.0L | 90° |
Publisher’s Note: MDPI stays neutral with regard to jurisdictional claims in published maps and institutional affiliations. |
© 2022 by the authors. Licensee MDPI, Basel, Switzerland. This article is an open access article distributed under the terms and conditions of the Creative Commons Attribution (CC BY) license (https://creativecommons.org/licenses/by/4.0/).
Share and Cite
Li, G.; Zhang, J.; Liu, J. Model Test of the Pullout Bearing Capacity of End-Bearing Torpedo Anchors. J. Mar. Sci. Eng. 2022, 10, 728. https://doi.org/10.3390/jmse10060728
Li G, Zhang J, Liu J. Model Test of the Pullout Bearing Capacity of End-Bearing Torpedo Anchors. Journal of Marine Science and Engineering. 2022; 10(6):728. https://doi.org/10.3390/jmse10060728
Chicago/Turabian StyleLi, Gang, Jinli Zhang, and Jia Liu. 2022. "Model Test of the Pullout Bearing Capacity of End-Bearing Torpedo Anchors" Journal of Marine Science and Engineering 10, no. 6: 728. https://doi.org/10.3390/jmse10060728
APA StyleLi, G., Zhang, J., & Liu, J. (2022). Model Test of the Pullout Bearing Capacity of End-Bearing Torpedo Anchors. Journal of Marine Science and Engineering, 10(6), 728. https://doi.org/10.3390/jmse10060728

