Wake Interactions of Two Tandem Semisubmersible Floating Offshore Wind Turbines Based on FAST.Farm
Abstract
1. Introduction
- (1)
- The power performance, platform response and the load response of the semi-submersible FOWTs components were analyzed and evaluated under different wake inflow conditions.
- (2)
- Streamwise spacing, turbulence intensity (TI) and wind shear were considered in order to further study the influence of wake on the semi-submersible FOWTs.
2. Methods and Materials
2.1. Dynamic Analysis Tool
2.2. Turbine Characteristics
2.3. Ambient Wind and Wave Conditions
2.4. Simulation Settings
3. Simulation Results
3.1. Time History
3.2. Power Performance
3.2.1. Wake Inflow Condition
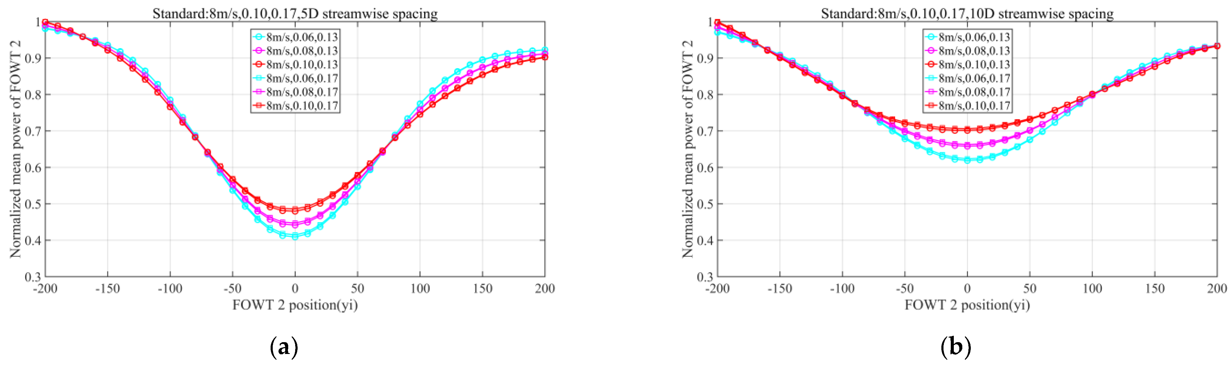
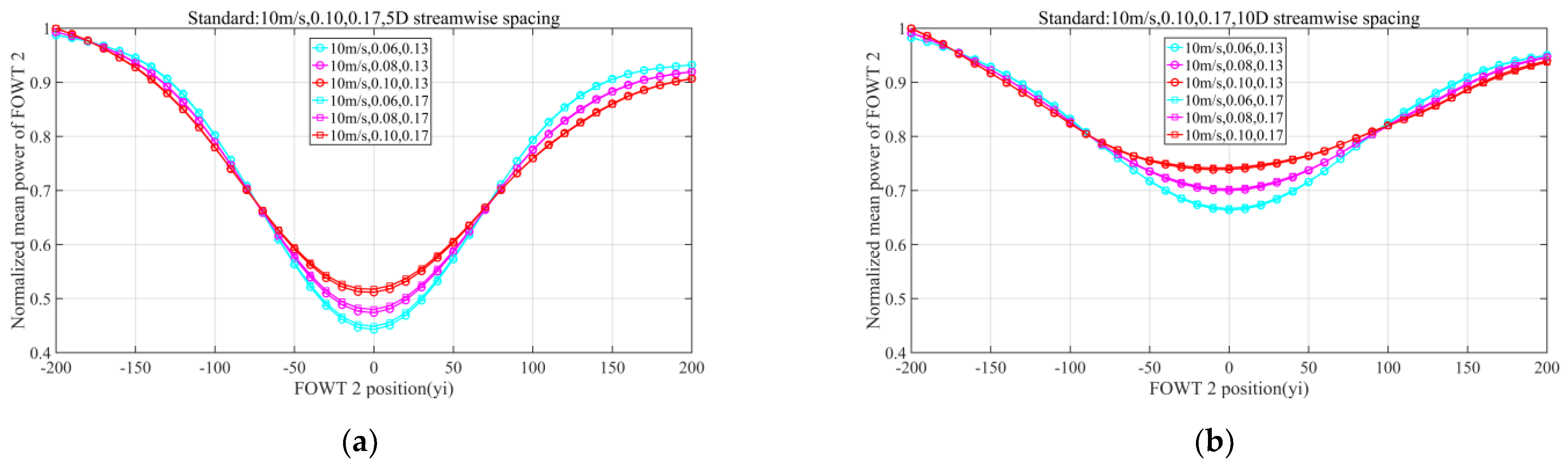
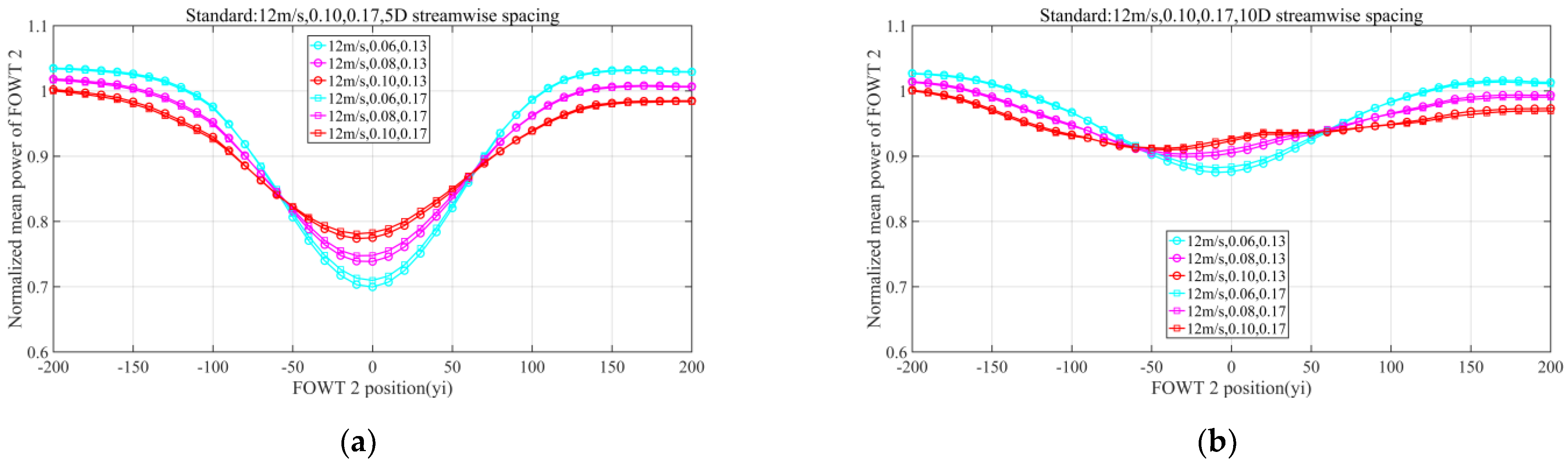
3.2.2. Streamwise Spacing
3.2.3. Turbulence Intensity
3.2.4. Wind Shear
3.2.5. Power fluctuation
3.3. Platform Motion
3.3.1. Comparison of Time-Domain Response
3.3.2. Power Spectrum Analysis
3.4. Structural Loading
3.4.1. Damage Equivalent Loads Analysis
3.4.2. Power Spectrum Analysis
4. Discussion and Conclusions
4.1. Discussion
4.2. Conclusions
- (1)
- For the analysis of power performance, we focus on factors affecting wake recovery and power fluctuation. Moreover, the increase in power fluctuations due to different wake inflow conditions will not only increase the difficulty of wind power forecasting, but also increase the cost of wind farm operation, such as adding battery energy storage systems.
- (2)
- Platform motions of FOWT 2 became increasingly violent under different wake inflow conditions, especially surge and pitch in half wake, which was clearly indicated through both time and frequency domain analysis.
- (3)
- Structural loading of a waked FOWT were affected seriously by different wake inflow conditions and TI. In contrast, structural loading was not sensitive to the wind shear. Moreover, a great increase in DELs and a significant resonant response indicated that the impact of half wake on the FOWT was more serious than that of full wake.
- (4)
- FOWTs whose rotor under right-half wake inflow condition suffered the most severe wake, taking the above factors into consideration.
4.3. Limitations of the Study
4.4. Future Perspective on the Research
Author Contributions
Funding
Institutional Review Board Statement
Informed Consent Statement
Data Availability Statement
Acknowledgments
Conflicts of Interest
References
- Global Wind Energy Council (GWEC). Global Wind Report 2022; Global Wind Energy Council: Brussels, Belgium, 2022; Available online: https://gwec.net/global-wind-report-2022/ (accessed on 1 January 2022).
- Global Wind Energy Council (GWEC). Floating Offshore Wind—A Global Opportunity; Global Wind Energy Council: Brussels, Belgium, 2022; Available online: https://gwec.net/floating-offshore-wind-a-global-opportunity/ (accessed on 1 January 2022).
- Barthelmie, R.J.; Hansen, K.; Frandsen, S.T.; Rathmann, O.; Schepers, J.G.; Schlez, W.; Phillips, J.; Rados, K.; Zervos, A.; Politis, E.; et al. Modelling and measuring flow and wind turbine wakes in large wind farms offshore. Wind Energy 2009, 12, 431–444. [Google Scholar] [CrossRef]
- Meng, H.; Li, L.; Zhang, J. A preliminary numerical study of the wake effects on the fatigue load for wind farm based on elastic actuator line model. Renew. Energy 2020, 162, 788–801. [Google Scholar] [CrossRef]
- Yeghikian, M.; Ahmadi, A.; Dashti, R.; Esmaeilion, F.; Mahmoudan, A.; Hoseinzadeh, S.; Garcia, D.A. Wind Farm Layout Optimization with Different Hub Heights in Manjil Wind Farm Using Particle Swarm Optimization. Appl. Sci. 2021, 11, 9746. [Google Scholar] [CrossRef]
- Jensen, N.O. A Note on Wind Generator Interaction; Technical Note Risø-M-2411; Risø National Laboratory: Roskilde, Denmark, 1983. [Google Scholar]
- Katic, I.; Højstrup, J.; Jensen, N.O. A simple model for cluster efficiency. In European Wind Energy Association Conference and Exhibition; Technical University of Denmark: Lyngby, Denmark, 1986; pp. 407–410. [Google Scholar]
- Larsen, G.C. A Simple Wake Calculation Procedure; Technical Note Risø-M-2760; Risø National Laboratory: Roskilde, Denmark, 1988. [Google Scholar]
- Frandsen, S.; Barthelmie, R.; Pryor, S.; Rathmann, O.; Larsen, S.; Højstrup, J.; Thøgersen, M. Analytical modelling of wind speed deficit in large offshore wind farms. Wind Energy 2006, 9, 39–53. [Google Scholar] [CrossRef]
- Bastankhah, M.; Porté-Agel, F. A new analytical model for wind-turbine wakes. Renew. Energy 2014, 70, 116–123. [Google Scholar] [CrossRef]
- Xie, S.; Archer, C. Self-similarity and turbulence characteristics of wind turbine wakes via large-eddy simulation. Wind Energy 2015, 18, 181538. [Google Scholar] [CrossRef]
- Ghaisas, N.S.; Archer, C.L. Geometry-based models for studying the effect of wind farm layout. J. Atmos. Ocean. Technol. 2016, 23, 481–501. [Google Scholar] [CrossRef]
- Ainslie, J.F. Calculating theflowfield in the wake of wind turbines. J. Wind Eng. Ind. Aerodyn. 1988, 27, 213–224. [Google Scholar] [CrossRef]
- Brower, M.; Robinson, N. The openWind Deep-Array Wake Model: Development and Validation; Technical Note; AWS Truepower: Albany, NY, USA, 2012. [Google Scholar]
- Schlez, W.; Neubert, A. New developments in large wind farm modelling. In European Wind Energy Association (EWEA) Conference; EWEA: Brussels, Belgium, 2009. [Google Scholar]
- Larsen, G.C.; Aagaard, H.M.; Bingöl, F.; Mann, J.; Ott, S.; Søren; Sørensen, J.N.; Okulov, V.; Troldborg, N.; Nielsen, N.M.; et al. Dynamic Wake Meandering Modeling; Technical Rep Risø-R-1607(EN); Isø National Laboratory: Roskilde, Denmark, 2007. [Google Scholar]
- Calaf, M.; Meneveau, C.; Meyers, J. Large eddy simulation study of fully developed wind-turbine array boundary layers. Phys. Fluids 2010, 22, 015110. [Google Scholar] [CrossRef]
- Wu, Y.-T.; Porté-Agel, F. Large-eddy simulation of wind-turbine wakes: Evaluation of turbine parametrisations. Bound.-Layer Meteorol. 2011, 138, 345–366. [Google Scholar] [CrossRef]
- Churchfield, M.; Lee, S.; Moriarty, P.; Martinez, L.; Leonardi, S.; Vijayakumar, G.; Brasseur, J. A large-eddy simulation of wind-plant aerodynamics. In Proceedings of the 50th AIAA aerospace sciences meeting, Nashville, TN, USA, 9–12 January 2012; pp. 1–19. [Google Scholar]
- Troldborg, N.; Sørensen, J.N.; Mikkelsen, R.; Sørensen, N.N. A simple atmospheric boundary layer model applied to large eddy simulations of wind turbine wakes. Wind Energy 2014, 17, 657–669. [Google Scholar] [CrossRef]
- Archer, C.L.; Mirzaeisefat, S.; Lee, S. Quantifying the sensitivity of wind farm perfor-mance to array layout options using large-eddy simulation. Geophys. Res. Lett. 2013, 40, 4963–4970. [Google Scholar] [CrossRef]
- Archer, C.L.; Vasel-Be-Hagh, A.; Yan, C.; Wu, S.; Pan, Y.; Brodie, J.F.; Maguire, A.E. Maguire, Review and evaluation of wake loss models for wind energy applications. Appl. Energy 2018, 226, 1187–1207. [Google Scholar] [CrossRef]
- Vølund, P. Loads on a horizontal axis wind turbine operating in wake. J. Wind Eng. Ind. Aerodyn. 1992, 39, 317–328. [Google Scholar] [CrossRef]
- Thomsen, K.; Sørensen, P. Fatigue loads for wind turbines operating in wakes. J. Wind Eng. Ind. Aerodyn. 1999, 80, 121–136. [Google Scholar] [CrossRef]
- Kim, S.-H.; Shin, H.-K.; Joo, Y.-C.; Kim, K.-H. A study of the wake effects on the wind characteristics and fatigue loads for the turbines in a wind farm. Renew. Energy 2015, 74, 536–543. [Google Scholar] [CrossRef]
- Fletcher, T.M.; Brown, R.E. Simulation of wind turbine wake interaction using the vorticity transport model. Wind Energy 2010, 13, 587–602. [Google Scholar] [CrossRef]
- Troldborg, N.; Larsen, G.C.; Madsen, H.A.; Hansen, K.S.; Sørensen, J.N.; Mikkelsen, R. Numerical simulations of wake interaction between two wind turbines at various inflow conditions. Wind Energy 2011, 14, 859–876. [Google Scholar] [CrossRef]
- Zhang, Y.; Shi, W.; Li, D.; Li, X.; Duan, Y.; Verma, A.S. A novel framework for modeling floating offshore wind turbines based on the vector form intrinsic finite element (VFIFE) method. Ocean Eng. 2022, 262, 112221. [Google Scholar] [CrossRef]
- Shi, W.; Zhang, L.; Karimirad, M.; Michailides, C.; Jiang, Z.; Li, X. Combined effects of aerodynamic and second-order hydrodynamic loads for floating wind turbines at different water depths. Appl. Ocean Res. 2023, 130, 103416. [Google Scholar] [CrossRef]
- Jacobsen, A.; Godvik, M. Influence of wakes and atmospheric stability on the floater responses of the Hywind Scotland wind turbines. Wind Energy 2021, 24, 149–161. [Google Scholar] [CrossRef]
- Jonkman, J.; Kelsey, S. Fast. Farm User’s Guide and Theory Manual; NREL/TP-5000-78785; National Renewable Energy Laboratory: Golden, CO, USA, 2021. Available online: https://www.nrel.gov/docs/fy21osti/78485.pdf (accessed on 1 January 2022).
- Jonkman, B.J.; Buhl, M.L., Jr. TurbSim User’s Guide; National Renewable Energy Laboratory (NREL): Golden, CO, USA, 2006.
- Jonkman, J.; Butterfield, S.; Musial, W.; Scott, G. Definition of a 5-MW Reference Wind Turbine for Offshore System Development; National Renewable Energy Laboratory (NREL): Golden, CO, USA, 2009.
- Robertson, A.; Jonkman, J.; Masciola, M.; Song, H.; Goupee, A.; Coulling, A.; Luan, C. Definition of the Semisubmersible Floating System for Phase II of OC4; National Renewable Energy Laboratory (NREL): Golden, CO, USA, 2014.
- Zhao, Y.; Xue, Y.; Gao, S.; Wang, J.; Cao, Q.; Sun, T.; Liu, Y. Computation and Analysis of an Offshore Wind Power Forecast: Towards a Better Assessment of Offshore Wind Power Plant Aerodynamics. Energies 2022, 15, 4223. [Google Scholar] [CrossRef]
- Zhao, L.; Gong, F.; Chen, S.; Wang, J.; Xue, L.; Xue, Y. Optimization study of control strategy for combined multi-wind turbines energy production and loads during wake effects. Energy Rep. 2022, 8, 1098–1107. [Google Scholar] [CrossRef]
- International-Electrotechnical-Commission. IEC 61400-1 Wind Turbines-Part 1: Design Requirements, 3rd ed.; International Electrotechnical Commission: London, UK, 2005. [Google Scholar]
- Yang, Y.; Bashir, M.; Michailides, C.; Li, C.; Wang, J. Development and application of an aero-hydro-servo-elastic coupling framework for analysis of floating offshore wind turbines. Renew. Energy 2020, 161, 606–625. [Google Scholar] [CrossRef]
- Kazari, H.; Oraee, H.; Pal, B.C. Assessing the effect of wind farm layout on energy storage requirement for power fluctuation mitigation. IEEE Transactions on Sustain. Energy 2018, 10, 558–568. [Google Scholar] [CrossRef]
- GB/T 19963.1-2021; Technical Specification for Connecting Wind Farm to Power System—Part 1: On Shore Wind Power. State Administration for Market Regulation and Standardization Administration of China: Beijing, China, 2021.
- Wise, A.S.; Bachynski, E.E. Wake meandering effects on floating wind turbines. Wind Energy 2020, 23, 1266–1285. [Google Scholar] [CrossRef]
- Li, L.; Liu, Y.; Yuan, Z.; Gao, Y. Dynamic and structural performances of offshore floating wind turbines in turbulent wind flow. Ocean Eng. 2019, 179, 92–103. [Google Scholar] [CrossRef]
- Kretschmer, M.; Jonkman, J.; Pettas, V.; Cheng, P.W. FAST. Farm load validation for single wake situations at alpha ventus. Wind Energy Sci. 2021, 6, 1247–1262. [Google Scholar] [CrossRef]
- Manolas, D.I.; Riziotis, V.A.; Papadakis, G.P.; Voutsinas, S.G. Hydro-servo-aero-elastic analysis of floating offshore wind turbines. Fluids 2020, 5, 200. [Google Scholar] [CrossRef]






























| Simulation Approach | Principle | Fidelity | Computational Expense | Structural Method |
|---|---|---|---|---|
| Semi empirical model | Wake loss model | Low-fidelity | Low | N/A |
| FAST.Farm | Dynamic wake meandering | Mid-fidelity | Low | ElastoDyn |
| SOWFA | Large eddy simulation | High-fidelity | High | Rigid body |
| Parameter | Value | ||
|---|---|---|---|
| Mean wind speed | 8 m/s | 10 m/s | 12 m/s |
| TI | 0.06 | 0.08 | 0.10 |
| Turbulence model | IECKAI | ||
| Shear power law exponent | 0.13 | 0.17 | |
| Significant wave height of incident waves | 1.2646 m | ||
| Peak-spectral period of incident waves | 10 s | ||
| FOWT 1 (Xi, Yi) | FOWT 2 (Xi, Yi) (X = 630 m/1260 m) | |||||
|---|---|---|---|---|---|---|
| (0 m,0 m) | (X, −200 m) | (X, −130 m) | (X, −60 m) | (X, 10 m) | (X, 80 m) | (X, 150 m) |
| (X, −190 m) | (X, −120 m) | (X, −50 m) | (X, 20 m) | (X, 90 m) | (X, 160 m) | |
| (X, −180 m) | (X, −110 m) | (X, −40 m) | (X, 30 m) | (X, 100 m) | (X, 170 m) | |
| (X, −170 m) | (X, −100 m) | (X, −30 m) | (X, 40 m) | (X, 110 m) | (X, 180 m) | |
| (X, −160 m) | (X, −90 m) | (X, −20 m) | (X, 50 m) | (X, 120 m) | (X, 190 m) | |
| (X, −150 m) | (X, −80 m) | (X, −10 m) | (X, 60 m) | (X, 130 m) | (X, 200 m) | |
| (X, −140 m) | (X, −70 m) | (X, 0 m) | (X, 70 m) | (X, 140 m) | ||
| Case | Wind Condition | FOWT 1 | FOWT 2 (5D Streamwise Spacing) | FOWT 2 (10D Streamwise Spacing) | Interpolation (5D-10D Streamwise Spacing) |
|---|---|---|---|---|---|
| A1 | 8_0.06_0.13 | 0.35 | 0.15 (−0.20) | 0.23 (−0.12) | 0.08 |
| A2 | 8_0.08_0.13 | 0.35 | 0.16 (−0.19) | 0.24 (−0.11) | 0.08 |
| A3 | 8_0.10_0.13 | 0.35 | 0.17 (−0.18) | 0.26 (−0.09) | 0.09 |
| A4 | 8_0.06_0.17 | 0.35 | 0.15 (−0.20) | 0.23 (−0.12) | 0.08 |
| A5 | 8_0.08_0.17 | 0.35 | 0.16 (−0.19) | 0.25 (−0.10) | 0.08 |
| A6 | 8_0.10_0.17 | 0.35 | 0.18 (−0.17) | 0.26 (−0.09) | 0.09 |
| B1 | 10_0.06_0.13 | 0.66 | 0.30 (−0.36) | 0.46 (−0.20) | 0.16 |
| B2 | 10_0.08_0.13 | 0.67 | 0.32 (−0.35) | 0.48 (−0.19) | 0.16 |
| B3 | 10_0.10_0.13 | 0.67 | 0.35 (−0.32) | 0.51 (−0.16) | 0.16 |
| B4 | 10_0.06_0.17 | 0.66 | 0.30 (−0.36) | 0.46 (−0.20) | 0.16 |
| B5 | 10_0.08_0.17 | 0.67 | 0.33 (−0.34) | 0.49 (−0.18) | 0.16 |
| B6 | 10_0.10_0.17 | 0.67 | 0.35 (−0.32) | 0.51 (−0.16) | 0.16 |
| C1 | 12_0.06_0.13 | 0.97 | 0.66 (−0.31) | 0.84 (−0.13) | 0.18 |
| C2 | 12_0.08_0.13 | 0.95 | 0.69 (−0.26) | 0.86 (−0.09) | 0.17 |
| C3 | 12_0.10_0.13 | 0.94 | 0.73 (−0.21) | 0.88 (−0.06) | 0.16 |
| C4 | 12_0.06_0.17 | 0.97 | 0.67 (−0.30) | 0.84 (−0.13) | 0.18 |
| C5 | 12_0.08_0.17 | 0.95 | 0.70 (−0.25) | 0.87 (−0.08) | 0.17 |
| C6 | 12_0.10_0.17 | 0.94 | 0.73 (−0.21) | 0.88 (−0.06) | 0.15 |
| Case | FOWT 2 (5D Streamwise Spacing) | FOWT 2 (10D Streamwise Spacing) | Case | FOWT 2 (5D Streamwise Spacing) | FOWT 2 (10D Streamwise Spacing) | Case | FOWT 2 (5D Streamwise Spacing) | FOWT 2 (10D Streamwise Spacing) |
|---|---|---|---|---|---|---|---|---|
| A1_P1 | 0.35 | 0.36 | B1_P1 | 0.67 | 0.68 | C1_P1 | 0.97 | 0.98 |
| A1_P2 | 0.35 | 0.36 | B1_P2 | 0.67 | 0.67 | C1_P2 | 0.97 | 0.98 |
| A1_P3 | 0.35 | 0.35 | B1_P3 | 0.66 | 0.67 | C1_P3 | 0.97 | 0.98 |
| A1_P4 | 0.35 | 0.35 | B1_P4 | 0.66 | 0.66 | C1_P4 | 0.97 | 0.97 |
| A1_P5 | 0.34 | 0.34 | B1_P5 | 0.65 | 0.65 | C1_P5 | 0.96 | 0.97 |
| A1_P6 | 0.34 | 0.34 | B1_P6 | 0.64 | 0.64 | C1_P6 | 0.96 | 0.97 |
| A1_P7 | 0.33 | 0.33 | B1_P7 | 0.63 | 0.63 | C1_P7 | 0.96 | 0.96 |
| A1_P8 | 0.32 | 0.32 | B1_P8 | 0.61 | 0.62 | C1_P8 | 0.95 | 0.95 |
| A1_P9 | 0.31 | 0.32 | B1_P9 | 0.60 | 0.61 | C1_P9 | 0.94 | 0.94 |
| A1_P10 | 0.30 | 0.31 | B1_P10 | 0.57 | 0.59 | C1_P10 | 0.93 | 0.93 |
| A1_P11 | 0.28 | 0.30 | B1_P11 | 0.54 | 0.58 | C1_P11 | 0.91 | 0.92 |
| A1_P12 | 0.27 | 0.29 | B1_P12 | 0.51 | 0.56 | C1_P12 | 0.89 | 0.91 |
| A1_P13 | 0.25 | 0.28 | B1_P13 | 0.48 | 0.54 | C1_P13 | 0.86 | 0.90 |
| A1_P14 | 0.23 | 0.27 | B1_P14 | 0.45 | 0.53 | C1_P14 | 0.83 | 0.88 |
| A1_P15 | 0.21 | 0.26 | B1_P15 | 0.41 | 0.51 | C1_P15 | 0.79 | 0.87 |
| A1_P16 | 0.19 | 0.25 | B1_P16 | 0.38 | 0.50 | C1_P16 | 0.76 | 0.86 |
| A1_P17 | 0.18 | 0.24 | B1_P17 | 0.35 | 0.48 | C1_P17 | 0.72 | 0.85 |
| A1_P18 | 0.16 | 0.24 | B1_P18 | 0.33 | 0.47 | C1_P18 | 0.69 | 0.84 |
| A1_P19 | 0.15 | 0.23 | B1_P19 | 0.31 | 0.47 | C1_P19 | 0.67 | 0.84 |
| A1_P20 | 0.15 | 0.23 | B1_P20 | 0.30 | 0.46 | C1_P20 | 0.66 | 0.84 |
| A1_P21 | 0.15 | 0.23 | B1_P21 | 0.30 | 0.46 | C1_P21 | 0.66 | 0.84 |
| A1_P22 | 0.15 | 0.23 | B1_P22 | 0.31 | 0.46 | C1_P22 | 0.66 | 0.84 |
| A1_P23 | 0.16 | 0.23 | B1_P23 | 0.32 | 0.46 | C1_P23 | 0.68 | 0.85 |
| A1_P24 | 0.17 | 0.24 | B1_P24 | 0.34 | 0.47 | C1_P24 | 0.70 | 0.86 |
| A1_P25 | 0.18 | 0.24 | B1_P25 | 0.36 | 0.48 | C1_P25 | 0.73 | 0.87 |
| A1_P26 | 0.20 | 0.25 | B1_P26 | 0.39 | 0.49 | C1_P26 | 0.77 | 0.88 |
| A1_P27 | 0.21 | 0.26 | B1_P27 | 0.42 | 0.51 | C1_P27 | 0.81 | 0.89 |
| A1_P28 | 0.23 | 0.27 | B1_P28 | 0.45 | 0.52 | C1_P28 | 0.84 | 0.91 |
| A1_P29 | 0.25 | 0.28 | B1_P29 | 0.48 | 0.54 | C1_P29 | 0.88 | 0.92 |
| A1_P30 | 0.26 | 0.29 | B1_P30 | 0.51 | 0.56 | C1_P30 | 0.90 | 0.93 |
| A1_P31 | 0.28 | 0.30 | B1_P31 | 0.54 | 0.57 | C1_P31 | 0.92 | 0.94 |
| A1_P32 | 0.29 | 0.30 | B1_P32 | 0.56 | 0.58 | C1_P32 | 0.94 | 0.95 |
| A1_P33 | 0.30 | 0.31 | B1_P33 | 0.58 | 0.60 | C1_P33 | 0.95 | 0.95 |
| A1_P34 | 0.31 | 0.32 | B1_P34 | 0.59 | 0.61 | C1_P34 | 0.96 | 0.96 |
| A1_P35 | 0.32 | 0.33 | B1_P35 | 0.61 | 0.62 | C1_P35 | 0.96 | 0.96 |
| A1_P36 | 0.32 | 0.33 | B1_P36 | 0.61 | 0.63 | C1_P36 | 0.97 | 0.97 |
| A1_P37 | 0.33 | 0.34 | B1_P37 | 0.62 | 0.64 | C1_P37 | 0.97 | 0.97 |
| A1_P38 | 0.33 | 0.34 | B1_P38 | 0.62 | 0.64 | C1_P38 | 0.97 | 0.97 |
| A1_P39 | 0.33 | 0.34 | B1_P39 | 0.63 | 0.65 | C1_P39 | 0.97 | 0.97 |
| A1_P40 | 0.33 | 0.34 | B1_P40 | 0.63 | 0.65 | C1_P40 | 0.97 | 0.97 |
| A1_P41 | 0.33 | 0.35 | B1_P41 | 0.63 | 0.66 | C1_P41 | 0.96 | 0.97 |
Publisher’s Note: MDPI stays neutral with regard to jurisdictional claims in published maps and institutional affiliations. |
© 2022 by the authors. Licensee MDPI, Basel, Switzerland. This article is an open access article distributed under the terms and conditions of the Creative Commons Attribution (CC BY) license (https://creativecommons.org/licenses/by/4.0/).
Share and Cite
Xue, L.; Wang, J.; Zhao, L.; Wei, Z.; Yu, M.; Xue, Y. Wake Interactions of Two Tandem Semisubmersible Floating Offshore Wind Turbines Based on FAST.Farm. J. Mar. Sci. Eng. 2022, 10, 1962. https://doi.org/10.3390/jmse10121962
Xue L, Wang J, Zhao L, Wei Z, Yu M, Xue Y. Wake Interactions of Two Tandem Semisubmersible Floating Offshore Wind Turbines Based on FAST.Farm. Journal of Marine Science and Engineering. 2022; 10(12):1962. https://doi.org/10.3390/jmse10121962
Chicago/Turabian StyleXue, Lei, Jundong Wang, Liye Zhao, Zhiwen Wei, Mingqi Yu, and Yu Xue. 2022. "Wake Interactions of Two Tandem Semisubmersible Floating Offshore Wind Turbines Based on FAST.Farm" Journal of Marine Science and Engineering 10, no. 12: 1962. https://doi.org/10.3390/jmse10121962
APA StyleXue, L., Wang, J., Zhao, L., Wei, Z., Yu, M., & Xue, Y. (2022). Wake Interactions of Two Tandem Semisubmersible Floating Offshore Wind Turbines Based on FAST.Farm. Journal of Marine Science and Engineering, 10(12), 1962. https://doi.org/10.3390/jmse10121962

