Bi-Photon Entangled Airy Beams through Unstable Oceanic Turbulence
Abstract
1. Introduction
2. Methods
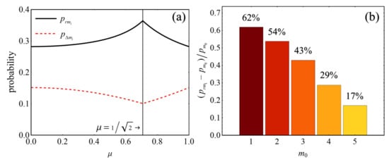
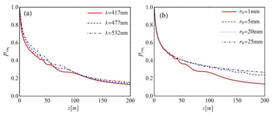
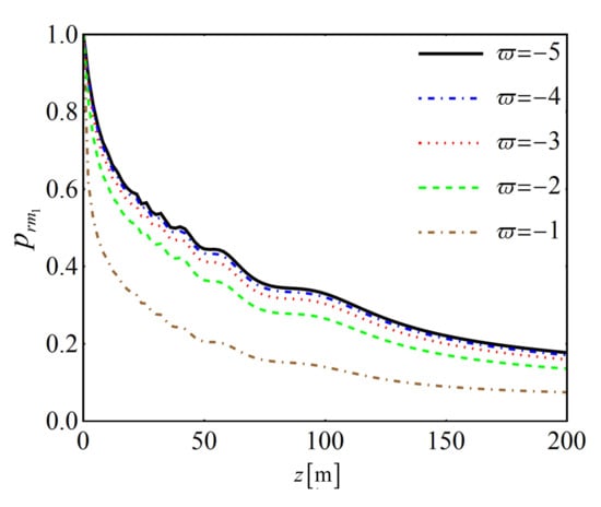
3. Numerical Results and Discussion
4. Conclusions
Author Contributions
Funding
Institutional Review Board Statement
Informed Consent Statement
Data Availability Statement
Conflicts of Interest
Appendix A. Plot Detail of Figure 3a

References
- Baghdady, J.; Miller, K.; Morgan, K.; Byrd, M.; Osler, S.; Ragusa, R.; Li, W.; Cochenour, B.M.; Johnson, E.G. Multi-gigabit/s underwater optical communication link using orbital angular momentum multiplexing. Opt. Express 2016, 24, 9794–9805. [Google Scholar] [CrossRef] [PubMed]
- Chen, Y.; Shen, W.G.; Li, Z.M.; Hu, C.Q.; Quan, Y.; Jiao, Z.; Gao, J.; Cao, M.M.; Sun, K.; Jin, X.M. Underwater transmission of high-dimensional twisted photons over 55 meters. PhotoniX 2020, 1, 1–11. [Google Scholar] [CrossRef]
- Zhan, H.; Wang, L.; Wang, W.; Zhao, S. Experimental analysis of adaptive optics correction methods on the beam carrying orbital angular momentum mode through oceanic turbulence. Optik 2021, 240, 166990. [Google Scholar] [CrossRef]
- Wang, J.; Wang, X.; Peng, Q.; Zhao, S. Propagation characteristics of autofocusing Airy beam with power exponential phase vortex in weak anisotropic oceanic turbulence. J. Mod. Opt. 2021, 68, 1–7. [Google Scholar] [CrossRef]
- Andrews, L.C.; Phillips, R.L. Laser Beam Propagation Through Random Media; SPIE Digital Library: Bellingham, WA, USA, 2005. [Google Scholar]
- Yao, J.; Zhang, Y.; Wang, R.; Wang, Y.; Wang, X. Practical approximation of the oceanic refractive index spectrum. Opt. Express 2017, 25, 23283–23292. [Google Scholar] [CrossRef] [PubMed]
- Elamassie, M.; Uysal, M.; Baykal, Y.; Abdallah, M.; Qaraqe, K. Effect of eddy diffusivity ratio on underwater optical scintillation index. J. Opt. Soc. Am. A 2017, 34, 1969–1973. [Google Scholar] [CrossRef]
- Nikishov, V.; Nikishov, V. Spectrum of Turbulent Fluctuations of the Sea-Water Refraction Index. Int. J. Fluid Mech. Res. 2000, 27, 82–98. [Google Scholar] [CrossRef]
- Lu, W.; Liu, L.; Sun, J. Influence of temperature and salinity fluctuations on propagation behaviour of partially coherent beams in oceanic turbulence. J. Opt. A Pure Appl. Opt. 2006, 8, 1052–1058. [Google Scholar] [CrossRef]
- Lu, L.; Ji, X.; Baykal, Y. Wave structure function and spatial coherence radius of plane and spherical waves propagating through oceanic turbulence. Opt. Express 2014, 22, 27112–27122. [Google Scholar] [CrossRef]
- Ata, Y.; Baykal, Y. Effect of anisotropy on bit error rate for an asymmetrical Gaussian beam in a turbulent ocean. Appl. Opt. 2018, 57, 2258–2262. [Google Scholar] [CrossRef]
- Yu, L.; Zhang, Y. Analysis of modal crosstalk for communication in turbulent ocean using Lommel-Gaussian beam. Opt. Express 2017, 25, 22565–22574. [Google Scholar] [CrossRef] [PubMed]
- Chapter 8 Waters of the World Ocean—ScienceDirect. Elsevier Oceanogr. Ser. 1975, 11, 305–334.
- Li, Y.; Zhang, Y.; Zhu, Y. Oceanic spectrum of unstable stratification turbulence with outer scale and scintillation index of Gaussian-beam wave. Opt. Express 2019, 27, 7656–7672. [Google Scholar] [CrossRef]
- Jabir, M.V.; Anwar, A.; Samanta, G.K. Controlling the biphoton orbital angular momentum eigenmodes using asymmetric pump vortex beam. J. Opt. 2018, 21, 1–4. [Google Scholar] [CrossRef]
- Mair, A.; Vaziri, A.; Weihs, G.; Zeilinger, A. Entanglement of Orbital Angular Momentum States of Photons. Nature 2001, 412, 313–316. [Google Scholar] [CrossRef]
- Mafu, M.; Dudley, A.; Goyal, S.; Giovannini, D.; Mclaren, M.; Padgett, M.; Konrad, T.; Petruccione, F.; Lütkenhaus, N.; Forbes, A. Higher-dimensional orbital-angular-momentum-based quantum key distribution with mutually unbiased bases. Phys. Rev. A 2013, 88, 032305. [Google Scholar] [CrossRef]
- Walborn, S.; Oliveira, A.; Thebaldi, R.; Monken, C. Entanglement and conservation of orbital angular momentum in spontaneous parametric down-conversion. Phys. Rev. A 2005, 69, 023811. [Google Scholar] [CrossRef]
- Hamadou Ibrahim, A.; Roux, F.; Mclaren, M.; Konrad, T.; Forbes, A. Orbital angular momentum entanglement in turbulence. Phys. Rev. A 2013, 88, 012312. [Google Scholar] [CrossRef]
- Krenn, M.; Handsteiner, J.; Fink, M.; Fickler, R.; Zeilinger, A. Twisted photon entanglement through turbulent air across Vienna. Proc. Natl. Acad. Sci. USA 2015, 112, 14197–14201. [Google Scholar] [CrossRef]
- Karpov, E.; Daems, D.; Cerf, N. Entanglement-enhanced classical capacity of quantum communication channels with memory in arbitrary dimensions. Phys. Rev. A 2006, 74, 032320. [Google Scholar] [CrossRef]
- Ecker, S.; Bouchard, F.; Bulla, L.; Brandt, F.; Kohout, O.; Steinlechner, F.; Fickler, R.; Malik, M.; Guryanova, Y.; Ursin, R.; et al. Overcoming Noise in Entanglement Distribution. Phys. Rev. X 2019, 9, 041042. [Google Scholar] [CrossRef]
- Bouchard, F.; Fickler, R.; Boyd, R.; Karimi, E. High-dimensional quantum cloning and applications to quantum hacking. Sci. Adv. 2017, 3, e1601915. [Google Scholar] [CrossRef] [PubMed]
- Ma, H.; Qiao, Y.; Liu, H.; Shen, C. Numerical study of orbital angular momentum-entanglement in turbulence with adaptive optics system compensation. Appl. Phys. B 2018, 124, 1–9. [Google Scholar] [CrossRef]
- Leonhard, N.D.; Shatokhin, V.N.; Buchleitner, A. Universal entanglement decay of photonic-orbital-angular-momentum qubit states in atmospheric turbulence. Phys. Rev. A 2015, 91, 012345. [Google Scholar] [CrossRef]
- Yang, Y.; Yang, D.; Wang, J.; Zhu, Y.; Hu, Z.; Zhang, Y. Non-Kolmogorov atmospheric turbulence and orbital angular momentum of entangled states for optical communication. Results Phys. 2019, 15, 102676. [Google Scholar] [CrossRef]
- Berry, M.V.; Balazs, N.L. Nonspreading wave packets. Am. J. Phys. 1979, 47, 264–267. [Google Scholar] [CrossRef]
- Zhang, P.; Prakash, J.; Zhang, Z.; Mills, M.; Efremidis, N.; Christodoulides, D.; Chen, Z. Trapping and guiding microparticles with morphing autofocusing Airy beams. Opt. Lett. 2011, 36, 2883–2885. [Google Scholar] [CrossRef]
- Broky, J.; Siviloglou, G.; Dogariu, A.; Christodoulides, D. Self-healing properties of optical Airy beams. Opt. Express 2008, 16, 12880–12891. [Google Scholar] [CrossRef]
- Chu, X.; Zhou, G.; Chen, R.P. Analytical study of the self-healing property of Airy beams. Phys. Rev. A 2012, 85, 013815. [Google Scholar] [CrossRef]
- Yue, P.; Hu, J.; Yi, X.; Xu, D.; Liu, Y. Effect of Airy Gaussian vortex beam array on reducing intermode crosstalk induced by atmospheric turbulence. Opt. Express 2019, 27, 37986–37998. [Google Scholar] [CrossRef]
- Yan, X.; Liang, S.; Li, J.; Guo, L. Mitigating Vortex Splitting by Controlling the Wavefront Isophase Line Curvature of Vector Autofocusing Airy Vortex Beams in Free Space. Photonics 2022, 9, 325. [Google Scholar] [CrossRef]
- Lib, O.; Bromberg, Y. Spatially entangled Airy photons. Opt. Lett. 2020, 45, 1399–1402. [Google Scholar] [CrossRef] [PubMed]
- Yang, D.; Hu, Z.D.; Wang, S.; Zhu, Y. Influence of random media on orbital angular momentum quantum states of optical vortex beams. Phys. Rev. A 2022, 105, 053513. [Google Scholar] [CrossRef]
- Gopaul, C.; Andrews, R. The effect of atmospheric turbulence on entangled orbital angular momentum states. New J. Phys. 2007, 9, 94. [Google Scholar] [CrossRef]
- Paterson, C. Atmospheric Turbulence and Orbital Angular Momentum of Single Photons for Optical Communication. Phys. Rev. Lett. 2005, 94, 153901. [Google Scholar] [CrossRef]
- Siviloglou, G.; Christodoulides, D. Accelerating finite energy Airy beams. Opt. Lett. 2007, 32, 979–981. [Google Scholar] [CrossRef]
- Chu, X. Evolution of an Airy beam in turbulence. Opt. Lett. 2011, 36, 2701–2703. [Google Scholar] [CrossRef]
- Zhang, X.; Shen, B.; Shi, Y.; Wang, X.; Zhang, L.; Wang, W.; Xu, J.; Yi, L.; Xu, Z. Generation of Intense High-Order Vortex Harmonics. Phys. Rev. Lett. 2014, 114, 173901. [Google Scholar] [CrossRef]
- Cheng, M.; Guo, L.; Li, J.; Zhang, Y. Channel Capacity of the OAM-Based Free-Space Optical Communication Links With Bessel–Gauss Beams in Turbulent Ocean. IEEE Photonics J. 2016, 8, 1–11. [Google Scholar] [CrossRef]
- Zhu, Y.; Zhang, Y.; Hu, Z. Spiral spectrum of Airy beams propagation through moderate-to-strong turbulence of maritime atmosphere. Opt. Express 2016, 24, 10847–10857. [Google Scholar] [CrossRef]
- Efremidis, N.; Christodoulides, D. Abruptly autofocusing waves. Opt. Lett. 2010, 35, 4045–4047. [Google Scholar] [CrossRef] [PubMed]
- Wang, X.; Yang, Z.; Zhao, S. Influence of oceanic turbulence on propagation of Airy vortex beam carrying orbital angular momentum. Optik 2018, 176, 49–55. [Google Scholar] [CrossRef]







| Parameters | Value |
|---|---|
| OAM number | 1 |
| Wavelength | |
| Exponential truncation parameter a | 0.05 |
| Arbitrary transverse scale | |
| Radius of the main ring | |
| Aperture diameter D | |
| Inner scale | |
| Outer scale | |
| Obukhov-Corrsin constant | 0.72 |
| Dissipation rate of kinetic energy per unit mass of fluid | |
| Dissipation rate of mean-squared temperature | |
| Ratio of temperature and salinity contributions | −2 |
| Prandal number | 700 |
| Prandal number | 7 |
Publisher’s Note: MDPI stays neutral with regard to jurisdictional claims in published maps and institutional affiliations. |
© 2022 by the authors. Licensee MDPI, Basel, Switzerland. This article is an open access article distributed under the terms and conditions of the Creative Commons Attribution (CC BY) license (https://creativecommons.org/licenses/by/4.0/).
Share and Cite
Yang, D.; Yu, Z.; Hu, Z.; Wang, W.; Zhu, Y. Bi-Photon Entangled Airy Beams through Unstable Oceanic Turbulence. J. Mar. Sci. Eng. 2022, 10, 1604. https://doi.org/10.3390/jmse10111604
Yang D, Yu Z, Hu Z, Wang W, Zhu Y. Bi-Photon Entangled Airy Beams through Unstable Oceanic Turbulence. Journal of Marine Science and Engineering. 2022; 10(11):1604. https://doi.org/10.3390/jmse10111604
Chicago/Turabian StyleYang, Donghui, Zhou Yu, Zhengda Hu, Wenhai Wang, and Yun Zhu. 2022. "Bi-Photon Entangled Airy Beams through Unstable Oceanic Turbulence" Journal of Marine Science and Engineering 10, no. 11: 1604. https://doi.org/10.3390/jmse10111604
APA StyleYang, D., Yu, Z., Hu, Z., Wang, W., & Zhu, Y. (2022). Bi-Photon Entangled Airy Beams through Unstable Oceanic Turbulence. Journal of Marine Science and Engineering, 10(11), 1604. https://doi.org/10.3390/jmse10111604

