Generation of Gravity-Capillary Wind Waves by Instability of a Coupled Shear-Flow
Abstract
:1. Introduction
2. Mathematical Model
3. Velocity Profiles
3.1. Air Profiles
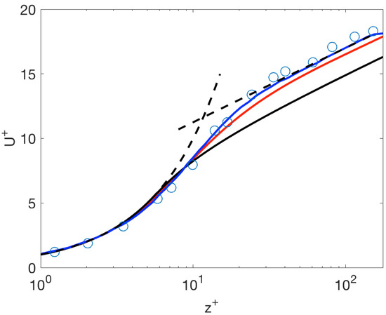
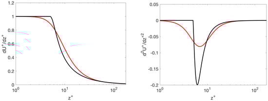
3.1.1. The Lin-Log Profile
3.1.2. The Mixing-Length Profile
3.2. Water Profile
4. Numerical Method and Validation
5. Results
5.1. Prograde Unstable Modes
5.2. Retrograde Unstable Modes (Second Mode)
6. Conclusions
Author Contributions
Funding
Data Availability Statement
Conflicts of Interest
References
- Young, W.R.; Wolfe, C.L. Generation of surface waves by shear-flow instability. J. Fluid Mech. 2014, 739, 276–307. [Google Scholar] [CrossRef] [Green Version]
- Miles, J.W. On the generation of surface waves by shear flows. Part 4. J. Fluid Mech. 1962, 13, 433–448. [Google Scholar] [CrossRef]
- Valenzuela, G.R. The growth of gravity-capillary waves in a coupled shear flow. J. Fluid Mech. 1976, 76, 229–250. [Google Scholar] [CrossRef]
- Kawai, S. Generation of initial wavelets by instability of a coupled shear flow and their evolution to wind waves. J. Fluid Mech. 1979, 93, 661–703. [Google Scholar] [CrossRef]
- Kunishi, H. Studies on wind waves with use of wind flume. (I) On the shearing flow in the surface boundary layer caused by wind stress. Ann. Disas. Prev. Res. Inst. Kyoto Univ. 1957, 1, 119–127. [Google Scholar]
- Larson, T.R.; Wright, J.W. Wind-generated gravity-capillary waves: Laboratory measurements of temporal growth rates using microwave backscatter. J. Fluid Mech. 1975, 70, 417–436. [Google Scholar] [CrossRef]
- Van Gastel, K.; Janssen, P.A.E.M.; Komen, G.J. On phase velocity and growth rate of wind-induced gravity-capillary waves. J. Fluid Mech. 1985, 161, 199–216. [Google Scholar] [CrossRef]
- Wheless, G.W.; Csanady, G.T. Instability waves on the air-sea interface. J. Fluid Mech. 1993, 248, 363–381. [Google Scholar] [CrossRef]
- Tsai, W.-T.; Lin, M.-Y. Stability analysis on the initial surface-wave generation with an air-sea coupled shear flow. J. Mar. Sci. Tech. 2004, 597, 200–208. [Google Scholar] [CrossRef]
- Zeisel, A.; Stiassnie, M.; Agnon, Y. Viscous effects on wave generation by strong winds. J. Fluid Mech. 2008, 597, 343–369. [Google Scholar] [CrossRef] [Green Version]
- Van Driest, E.R. On turbulent flow near a wall. J. Aerosp. Sci. 1956, 23, 1007–1011. [Google Scholar] [CrossRef]
- Riley, D.S.; Donelan, M.A.; Hui, W.H. An extended Miles’ theory for wave generation by wind. Bound. Layer Methodol. 1982, 22, 209–225. [Google Scholar] [CrossRef]
- Pope S., B. Turbulent Flows; Cambridge University Press: Cambridge, UK, 2000; 330p. [Google Scholar]
- Eckelmann, H. The structure of the viscous sublayer and the adjacent wall region in a turbulent channel flow. J. Fluid Mech. 1974, 65, 439–459. [Google Scholar] [CrossRef]
- Kim, J.; Moin, P.; Moser, R. Turbulence statistics in fully developed channel flow at low Reynolds number. J. Fluid Mech. 1987, 177, 133–166. [Google Scholar] [CrossRef] [Green Version]
- Gottlieb, D.; Orszag, S.A. Numerical Analysis of Spectral Methods: Theory and Applications; Siam: Philadelphia, PA, USA, 1977; pp. 11–13. [Google Scholar]
- Moré, J.J. The Levenberg-Marquardt Algorithm: Implementation and Theory. In Numerical Analysis; Watson, G.A., Ed.; Lecture Notes in Mathematics, 630; Springer: Berlin/Heidelberg, Germany, 1977; pp. 105–116. [Google Scholar]
- Broyden, C.G. A Class of Methods for Solving Nonlinear Simultaneous Equations. Math. Comput. Am. Math. Soc. 1974, 19, 577–593. [Google Scholar] [CrossRef]






Publisher’s Note: MDPI stays neutral with regard to jurisdictional claims in published maps and institutional affiliations. |
© 2022 by the authors. Licensee MDPI, Basel, Switzerland. This article is an open access article distributed under the terms and conditions of the Creative Commons Attribution (CC BY) license (https://creativecommons.org/licenses/by/4.0/).
Share and Cite
Abid, M.; Kharif, C.; Hsu, H.-C.; Chen, Y.-Y. Generation of Gravity-Capillary Wind Waves by Instability of a Coupled Shear-Flow. J. Mar. Sci. Eng. 2022, 10, 46. https://doi.org/10.3390/jmse10010046
Abid M, Kharif C, Hsu H-C, Chen Y-Y. Generation of Gravity-Capillary Wind Waves by Instability of a Coupled Shear-Flow. Journal of Marine Science and Engineering. 2022; 10(1):46. https://doi.org/10.3390/jmse10010046
Chicago/Turabian StyleAbid, Malek, Christian Kharif, Hung-Chu Hsu, and Yang-Yih Chen. 2022. "Generation of Gravity-Capillary Wind Waves by Instability of a Coupled Shear-Flow" Journal of Marine Science and Engineering 10, no. 1: 46. https://doi.org/10.3390/jmse10010046
APA StyleAbid, M., Kharif, C., Hsu, H.-C., & Chen, Y.-Y. (2022). Generation of Gravity-Capillary Wind Waves by Instability of a Coupled Shear-Flow. Journal of Marine Science and Engineering, 10(1), 46. https://doi.org/10.3390/jmse10010046

