A Numerical Study on the Impact of Building Dimensions on Airflow Patterns and Bed Morphology around Buildings at the Beach
Abstract
:1. Introduction
1.1. Wind Flow around an Isolated Building
2. Methods
2.1. Computational Fluid Dynamics (CFD)
2.2. Computational Domain
2.3. Methodology for Deriving Bed Level Change from Airflow Patterns
3. Results
3.1. Near-Surface Airflow Pattern
3.2. Impacts of Building Dimensions on Initial Bed Level Change
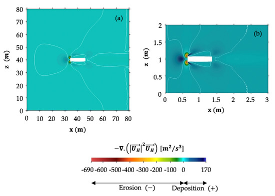
3.2.1. Convergence of the Third-Order Horizontal Near-Surface Flow Field as a Proxy for Initial Bed Level Change
3.2.2. Relation between Building Dimensions and Patterns of Wind-Driven Bed Level Change
4. Discussion
5. Conclusions
Author Contributions
Funding
Institutional Review Board Statement
Informed Consent Statement
Data Availability Statement
Acknowledgments
Conflicts of Interest
Appendix A. Development of the Numerical Model
Appendix A.1. Governing Equations
SIMPLE Algorithm
Appendix A.2. Turbulence Modelling
Appendix A.3. Boundary Conditions and Initial Internal Fields
| Parameter | Value |
| 0.0000 | |
| 0.0007 | |
| 6.0000 | |
| 0.5000 |
Appendix A.4. Wall Functions
- Viscous layer for
- Buffer layer for
- Inertial layer for


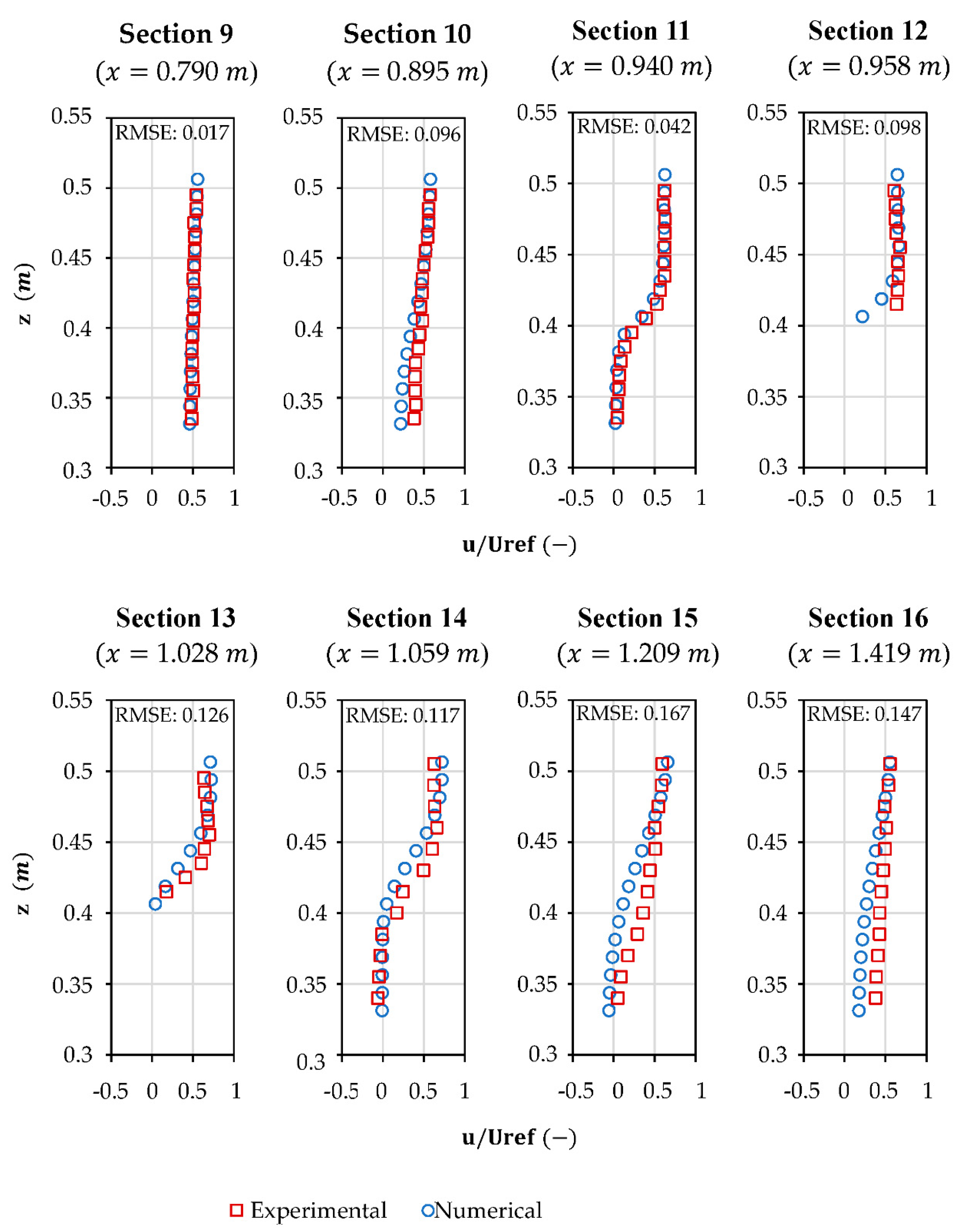
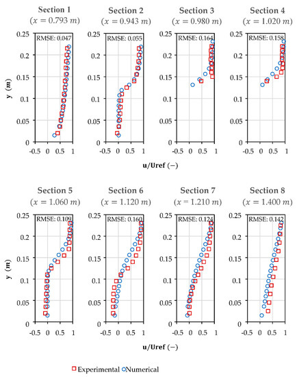
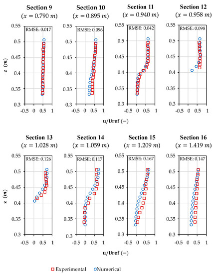
Appendix B. Model Validation



References
- Marsh, G.P. The Earth as Modified by Human Action [A New Edition of Manand Nature]; Sampson Low, Marston, Low, and Searle: London, UK, 1874. [Google Scholar]
- Walker, H.J. Man’s impact on shorelines and nearshore environments: A geomorphological perspective. Geoforum 1984, 15, 395–417. [Google Scholar] [CrossRef]
- Nordstrom, K.F. Beaches and dunes of human-altered coasts. Prog. Phys. Geogr. 1994, 18, 497–516. [Google Scholar] [CrossRef]
- Jackson, N.L.; Nordstrom, K.F. Aeolian sediment transport and landforms in managed coastal systems: A review. Aeolian Res. 2011, 3, 181–196. [Google Scholar] [CrossRef]
- Walker, I.J.; Nickling, W.G. Dynamics of secondary airflow and sediment transport over and in the lee of transverse dunes. Prog. Phys. Geogr. 2002, 26, 47–75. [Google Scholar] [CrossRef]
- Nordstrom, K.F. Beaches and Dunes of Developed Coasts; Cambridge University Press: Cambridge, UK, 2004. [Google Scholar]
- Nordstrom, K.F.; McCluskey, J.M. The effects of houses and sand fences on the eolian sediment budget at Fire Island, New York. J. Coast. Res. 1985, 1, 39–46. [Google Scholar]
- Nordstrom, K.F.; McCluskey, J.M.; Rosen, P.S. Aeolian processes and dune characteristics of a developed shoreline. In Aeolian Geomorphology; Nickling, W.G., Ed.; Allen and Unwin: Boston, MA, USA, 1986; pp. 131–147. [Google Scholar]
- Fackrell, J.E. Parameters characterising dispersion in the near wake of buildings. J. Wind. Eng. Ind. Aerodyn. 1984, 16, 97–118. [Google Scholar] [CrossRef]
- Beranek, W.J. Wind Environment Around Single Buildings of Rectangular Shape; And, Wind Environment Around Building Configurations. In Stevin-Laboratory of the Department of Civil Engineering; Delft University of Technology: Delft, The Netherlands, 1984. [Google Scholar]
- Martinuzzi, R.; Tropea, C. The flow around surface-mounted, prismatic obstacles placed in a fully developed channel flow (data bank contribution). J. Fluids Eng. 1993, 115, 85–92. [Google Scholar] [CrossRef]
- Iversen, J.D.; Wang, W.P.; Rasmussen, K.R.; Mikkelsen, H.E.; Hasiuk, J.F.; Leach, R.N. The effect of a roughness element on local saltation transport. J. Wind. Eng. Ind. Aerodyn. 1990, 36, 845–854. [Google Scholar] [CrossRef]
- Iversen, J.D.; Wang, W.P.; Rasmussen, K.R.; Mikkelsen, H.E.; Leach, R.N. Roughness element effect on local and universal saltation transport. In Aeolian Grain Transport; Springer: Vienna, Austria, 1991; pp. 65–75. [Google Scholar]
- Tominaga, Y.; Okaze, T.; Mochida, A. Wind tunnel experiment and CFD analysis of sand erosion/deposition due to wind around an obstacle. J. Wind. Eng. Ind. Aerodyn. 2018, 182, 262–271. [Google Scholar] [CrossRef]
- Luo, W.; Dong, Z.; Qian, G.; Lu, J. Wind tunnel simulation of the three-dimensional airflow patterns behind cuboid obstacles at different angles of wind incidence, and their significance for the formation of sand shadows. Geomorphology 2012, 139, 258–270. [Google Scholar] [CrossRef]
- Sutton, S.L.F.; Neuman, C.M. Sediment entrainment to the lee of roughness elements: Effects of vortical structures. J. Geophys. Res. Earth Surf. 2008, 113, F2. [Google Scholar] [CrossRef] [Green Version]
- Beyers, M.; Waechter, B. Modeling transient snowdrift development around complex three-dimensional structures. J. Wind. Eng. Ind. Aerodyn. 2008, 96, 1603–1615. [Google Scholar] [CrossRef]
- Poppema, D.W.; Wijnberg, K.M.; Mulder, J.P.; Vos, S.E.; Hulscher, S.J. The effect of building geometry on the size of aeolian deposition patterns: Scale model experiments at the beach. Coast. Eng. 2021, 168, 103866. [Google Scholar] [CrossRef]
- Oke, T.R.; Mills, G.; Christen, A.; Voogt, J.A. Urban Climates; Cambridge University Press: Cambridge, UK, 2017. [Google Scholar]
- Peterka, J.A.; Meroney, R.N.; Kothari, K.M. Wind flow patterns about buildings. J. Wind. Eng. Ind. Aerodyn. 1985, 21, 21–38. [Google Scholar] [CrossRef]
- Blocken, B.; Stathopoulos, T.; Carmeliet, J.; Hensen, J.L. Application of computational fluid dynamics in building performance simulation for the outdoor environment: An overview. J. Build. Perform. Simul. 2011, 4, 157–184. [Google Scholar] [CrossRef]
- Hunt, J.C.R. The effect of single buildings and structures. Philos. Trans. R. Soc. Lond. Ser. A Math. Phys. Sci. 1971, 269, 457–467. [Google Scholar]
- Meroney, R.N. Turbulent Diffusion Near Buildings, Engineering Meteorology; CEP78-79RNM23; Colorado State University: Fort Collins, CO, USA, 1982. [Google Scholar]
- Meinders, E.R.; Hanjalic, K.; Martinuzzi, R.J. Experimental study of the local convection heat transfer from a wall-mounted cube in turbulent channel flow. J. Heat Transf. Trans ASME 1999, 121, 564–573. [Google Scholar] [CrossRef]
- Bitsuamlak, G.T.; Stathopoulos, T.; Bedard, C. Numerical evaluation of wind flow over complex terrain. J. Aerosp. Eng. 2004, 17, 135–145. [Google Scholar] [CrossRef]
- Smyth, T.A. A review of Computational Fluid Dynamics (CFD) airflow modelling over aeolian landforms. Aeolian Res. 2016, 22, 153–164. [Google Scholar] [CrossRef]
- Versteeg, H.K.; Malalasekera, W. An Introduction to Computational Fluid Dynamics: The Finite Volume Method; Pearson Education: London, UK, 2007. [Google Scholar]
- Leitl, B.; Schatzmann, M. Cedval at Hamburg University. 2010. Available online: http://www.mi.uni-hamburg.de/cedval (accessed on 1 December 2021).
- Bagnold, R.A. The movement of desert sand. Proc. R. Soc. Lond. Ser. A-Math. Phys. Sci. 1936, 157, 594–620. [Google Scholar] [CrossRef]
- O’brien, M.P.; Rindlaub, B.D. The transportation of sand by wind. Civ. Eng. 1936, 6, 325–327. [Google Scholar]
- Kawamura, R. Study on sand movement by wind. Rept. Inst. Sci. Technol. 1951, 5, 95–112. [Google Scholar]
- Zingg, A.W. Wind tunnel studies of the movement of sedimentary material. In Proceedings of the 5th Hydraulic Conference Bulletin; Inst. of Hydraulics Iowa City: Iowa City, IA, USA, 1953; Volume 34, pp. 111–135. [Google Scholar]
- Owen, P.R. Saltation or uniform grains in air. J. Fluid Mech. 1964, 20, 225–242. [Google Scholar] [CrossRef]
- Hsu, S.A. Wind stress criteria in eolian sand transport. J. Geophys. Res. 1971, 76, 8684–8686. [Google Scholar] [CrossRef]
- Iversen, J.D.; Greeley, R.; White, B.R.; Pollack, J.B. The effect of vertical distortion in the modeling of sedimentation phenomena: Martian crater wake streaks. J. Geophys. Res. 1976, 81, 4846–4856. [Google Scholar] [CrossRef]
- Maegley, W.J. Saltation and Martian sandstorms. Rev. Geophys. 1976, 14, 135–142. [Google Scholar] [CrossRef]
- Lettau, H.; Lettau, H.H. Experimental and micro-meteorological field studies of dune migration. In Exploring the World’s Driest Climate; IES Report; Leattau, H.H., Lettau, K., Eds.; University of Wisconsin: Madison, WI, USA, 1978; Volume 101, pp. 110–147. [Google Scholar]
- White, B.R. Soil transport by winds on Mars. J. Geophys. Res. Solid Earth 1979, 84, 4643–4651. [Google Scholar] [CrossRef]
- Delgado-Fernandez, I. A review of the application of the fetch effect to modelling sand supply to coastal foredunes. Aeolian Res. 2010, 2, 61–70. [Google Scholar] [CrossRef] [Green Version]
- Nolet, C.; Poortinga, A.; Roosjen, P.; Bartholomeus, H.; Ruessink, G. Measuring and modeling the effect of surface moisture on the spectral reflectance of coastal beach sand. PLoS ONE 2014, 9, e112151. [Google Scholar] [CrossRef]
- Hoonhout, B.; de Vries, S. Simulating spatiotemporal aeolian sediment supply at a mega nourishment. Coast. Eng. 2019, 145, 21–35. [Google Scholar] [CrossRef]
- McKenna Neuman, C.; Bédard, O. A wind tunnel study of flow structure adjustment on deformable sand beds containing a surface-mounted obstacle. J. Geophys. Res. Earth Surf. 2015, 120, 1824–1840. [Google Scholar] [CrossRef]
- Ferziger, J.H.; Perić, M.; Street, R.L. Computational Methods for Fluid Dynamics; Springer: Berlin/Heidelberg, Germany, 2002; Volume 3, pp. 196–200. [Google Scholar]
- Shapiro, A.H. Compressible Fluid Flow; Ronald Press: New York, NY, USA, 1953; p. 409. [Google Scholar]
- Moukalled, F.; Mangani, L.; Darwish, M. The Finite Volume Method in Computational Fluid Dynamics; Springer: Berlin/Heidelberg, Germany, 2016; Volume 6. [Google Scholar]
- Caretto, L.S.; Gosman, A.D.; Patankar, S.V.; Spalding, D.B. Two calculation procedures for steady, three-dimensional flows with recirculation. In Proceedings of the Third International Conference on Numerical Methods in Fluid Mechanics, Paris, France, 3–7 July 1972; pp. 60–68. [Google Scholar]
- Launder, B.E.; Spalding, D.B. The Numerical Computation of Turbulent Flows. Comput. Methods Appl. Mech. Eng. 1974, 3, 269–289. [Google Scholar] [CrossRef]
- Richards, P.J.; Hoxey, R.P. Appropriate boundary conditions for computational wind engineering models using the k-ε turbulence model. In Computational Wind Engineering 1; Elsevier: Amsterdam, The Netherlands, 1993; pp. 145–153. [Google Scholar]
- Launder, B.E.; Sharma, B.I. Application of the energy-dissipation model of turbulence to the calculation of flow near a spinning disc. Lett. Heat Mass Transf. 1974, 1, 131–137. [Google Scholar] [CrossRef]
- Blocken, B.; Stathopoulos, T.; Carmeliet, J. CFD simulation of the atmospheric boundary layer: Wall function problems. Atmos. Environ. 2007, 41, 238–252. [Google Scholar] [CrossRef]
- Bredberg, J. On the Wall Boundary Condition for Turbulence Models; Internal Report 00/4; Chalmers University of Technology, Department of Thermo and Fluid Dynamics: Goteborg, Sweden, 2000; pp. 8–16. [Google Scholar]
- Fluent, A.N.S.Y.S. ANSYS Fluent Theory Guide 15.0; ANSYS: Canonsburg, PA, USA, 2013; p. 33. [Google Scholar]
- Schlichting, H. Boundary Layer Theory; McGraw-Hill: New York, NY, USA, 1968; Volume 960. [Google Scholar]
- Tennekes, H.; Lumley, J.L. A First Course in Turbulence; The Massachusetts Institute of Technology Press: Cambridge, MA, USA, 1972. [Google Scholar]
- White, F.M. Viscous Fluid Flow; Mac Graw-Hill International Editions: New York, NY, USA, 1991. [Google Scholar]
- Liu, F. A Thorough Description of How Wall Functions Are Implemented in OpenFOAM; Nilsson, H., Ed.; Chalmers University of Technology: Göteborg, Sweden, 2016; Available online: http://www.tfd.chalmers.se/~hani/kurser/OS_CFD (accessed on 1 December 2021).













| Parameter | Definition |
|---|---|
| Upstream distance between the domain inlet and the building centerline | |
| Downstream distance between the domain outlet and the building centerline | |
| Lateral distance between the lateral sides of the domain and the building centerline | |
| Height of the domain | |
| Length of the building | |
| Width of the building | |
| Height of the building |
| Simulation ID | |||
|---|---|---|---|
| Reference building | |||
| 0.1000 | 0.1500 | 0.1250 | |
| Impact of building length | |||
| 1.5 | 0.1500 | 0.1500 | 0.1250 |
| 2 | 0.2000 | 0.1500 | 0.1250 |
| 2.5 | 0.2500 | 0.1500 | 0.1250 |
| 3 | 0.3000 | 0.1500 | 0.1250 |
| Impact of building width | |||
| 1.5 | 0.1000 | 0.2250 | 0.1250 |
| 2 | 0.1000 | 0.3000 | 0.1250 |
| 2.5 | 0.1000 | 0.3750 | 0.1250 |
| 3 | 0.1000 | 0.4500 | 0.1250 |
| Impact of building height | |||
| 1.5 | 0.1000 | 0.1500 | 0.1875 |
| 2 | 0.1000 | 0.1500 | 0.2500 |
| 0.1000 | 0.1500 | 0.3125 | |
| 3 | 0.1000 | 0.1500 | 0.3750 |
Publisher’s Note: MDPI stays neutral with regard to jurisdictional claims in published maps and institutional affiliations. |
© 2021 by the authors. Licensee MDPI, Basel, Switzerland. This article is an open access article distributed under the terms and conditions of the Creative Commons Attribution (CC BY) license (https://creativecommons.org/licenses/by/4.0/).
Share and Cite
Pourteimouri, P.; Campmans, G.H.P.; Wijnberg, K.M.; Hulscher, S.J.M.H. A Numerical Study on the Impact of Building Dimensions on Airflow Patterns and Bed Morphology around Buildings at the Beach. J. Mar. Sci. Eng. 2022, 10, 13. https://doi.org/10.3390/jmse10010013
Pourteimouri P, Campmans GHP, Wijnberg KM, Hulscher SJMH. A Numerical Study on the Impact of Building Dimensions on Airflow Patterns and Bed Morphology around Buildings at the Beach. Journal of Marine Science and Engineering. 2022; 10(1):13. https://doi.org/10.3390/jmse10010013
Chicago/Turabian StylePourteimouri, Paran, Geert H. P. Campmans, Kathelijne M. Wijnberg, and Suzanne J. M. H. Hulscher. 2022. "A Numerical Study on the Impact of Building Dimensions on Airflow Patterns and Bed Morphology around Buildings at the Beach" Journal of Marine Science and Engineering 10, no. 1: 13. https://doi.org/10.3390/jmse10010013
APA StylePourteimouri, P., Campmans, G. H. P., Wijnberg, K. M., & Hulscher, S. J. M. H. (2022). A Numerical Study on the Impact of Building Dimensions on Airflow Patterns and Bed Morphology around Buildings at the Beach. Journal of Marine Science and Engineering, 10(1), 13. https://doi.org/10.3390/jmse10010013

