Do Land Ownership and Agro-Ecological Location of Farmland Influence Adoption of Improved Rice Varieties? Evidence from Sierra Leone
Abstract
1. Introduction
2. Materials and Methods
2.1. Duration Analysis
2.2. Data
2.3. Descriptive Statistics of Variables Used in Analyses
3. Results
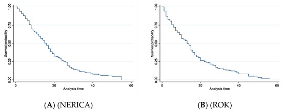
3.1. Non-Parametric Analyses
3.2. Parametric Analyses
4. Discussions
5. Conclusions
Author Contributions
Funding
Acknowledgments
Conflicts of Interest
Appendix A
| NERICA | ROK | |||
|---|---|---|---|---|
| Observed | Expected | Observed | Expected | |
| Farmland ownership | ||||
| LAND_OWNED | 243.00 | 281.01 | 251.00 | 268.19 |
| RENTAL_L | 126.00 | 95.00 | 103.00 | 88.23 |
| SHARE_CROPP | 19.00 | 11.99 | 16.00 | 13.58 |
| Total | 388.00 | 388.00 | 370.00 | 370.00 |
| Chi-square (probability) | 20.86 (0.00) | 4.35 (0.11) | ||
| Location of farmland | ||||
| UPLAND | 30.00 | 61.57 | 76.00 | 59.23 |
| IVS | 187.00 | 162.28 | 147.00 | 167.62 |
| UPLAND_IVS | 171.00 | 164.15 | 147.00 | 143.14 |
| Total | 388.00 | 388.00 | 370.00 | 370.00 |
| Chi-square (Probability) | 21.49 (0.0) | 7.93(0.01) | ||
| Source of awareness | ||||
| EX_SERV | 243.00 | 204.93 | 190.00 | |
| FRD_NGB_REL | 126.00 | 165.02 | 154.00 | |
| RADIO_TV_R | 4.00 | 3.04 | 25.00 | |
| Total | 373.00 | 373.00 | 370.00 | |
| Chi-square (probability) | 17.77 (0.00) | 0.89 (0.64) | ||
| Exponential | Weibull | Log Normal | Log Logistic | Generalised Gamma | |
|---|---|---|---|---|---|
| Log likelihood | −581.42 | −552.33 | −565.76 | −562.43 | −552.33 |
| AIC | 1198.83 | 1142.67 | 1169.51 | 1162.87 | 1144.67 |
| BIC | 1273.93 | 1221.93 | 1248.78 | 1242.13 | 1228.10 |
| /kappa (standard error) | 1.01(0.21) | ||||
| Wald’s test | |||||
| kappa = 1(chi-square Pro) | 0.00 (0.96) | ||||
| kappa = 0(chi-square Pro) | 24.04 (0.00) |
| Exponential | Weibull | Log Normal | Log Logistic | Generalised Gamma | |
|---|---|---|---|---|---|
| Log likelihood | −548.43 | −473.22 | −505.03 | −494.73 | −471.22 |
| AIC | 1132.85 | 984.44 | 1048.06 | 1027.46 | 982.44 |
| BIC | 1209.25 | 1065.07 | 1128.70 | 1108.10 | 1067.33 |
| /kappa (standard error) | 1.39 (0.22) | ||||
| Wald’s test | |||||
| kappa = 1(chi-square Pro) | 3.16 (0.08) | ||||
| kappa = 0(chi-square Pro) | 40.53 (0.00) |
References
- Tester, M.; Langridge, P. Breeding technologies to increase crop production in a changing world. Science 2010, 327, 818–822. [Google Scholar] [CrossRef]
- Evans, R.G.; Sadler, E.J. Methods and technologies to improve efficiency of water use. Water Resour. Res. 2008, 44. [Google Scholar] [CrossRef]
- Conteh, A.M.H.; Yan, X.; Sankoh, F.P. The influence of price on rice production in Sierra Leone. Agric. Sci. 2012, 3, 462. [Google Scholar] [CrossRef][Green Version]
- Seck, P.A.; Diagne, A.; Mohanty, S.; Wopereis, M.C. Crops that feed the world 7: Rice. Food Secur. 2012, 4, 7–24. [Google Scholar] [CrossRef]
- Arounaa, A.; Lokossoub, J.C.; Wopereisc, M.C.S.; Bruce-Oliverd, S.; Roy-Macauley, H. Contribution of improved rice varieties to poverty reduction and food security in sub-Saharan Africa. Glob. Food Secur. 2017, 14, 54–60. [Google Scholar] [CrossRef]
- Naseem, A.; Mhlanga, S.; Diagne, A.; Adegbola, P.Y.; Midingoyi, G.S.K. Economic analysis of consumer choices based on rice attributes in the food markets of West Africa—The case of Benin. Food Secur. 2013, 5, 575–589. [Google Scholar] [CrossRef]
- Seck, P.A.; Tollens, E.; Wopereis, M.C.; Diagne, A.; Bamba, I. Rising trends and variability of rice prices: Threats and opportunities for sub-Saharan Africa. Food Policy 2010, 35, 403–411. [Google Scholar] [CrossRef]
- Dalton, T.J.; Guei, R.G. Productivity gains from rice genetic enhancements in West Africa: Countries and ecologies. World Dev. 2003, 31, 359–374. [Google Scholar] [CrossRef]
- Balasubramanian, V.; Sie, M.; Hijmans, R.J.; Otsuka, K. Increasing rice production in sub-Saharan Africa: Challenges and opportunities. Adv. Agron. 2007, 94, 55–133. [Google Scholar]
- Diao, X.; Headey, D.; Johnson, M. Toward a green revolution in Africa: What would it achieve, and what would it require? Agric. Econ. 2008, 39, 539–550. [Google Scholar] [CrossRef]
- Kijima, Y.; Ito, Y.; Otsuka, K. Assessing the impact of training on lowland rice productivity in an African setting: Evidence from Uganda. World Dev. 2012, 40, 1610–1618. [Google Scholar] [CrossRef]
- Otsuka, K.; Kijima, Y. Technology policies for a green revolution and agricultural transformation in Africa. J. Afr. Econ. 2010, 19 (Suppl. 2), ii60–ii76. [Google Scholar] [CrossRef]
- Alexandratos, N.; Bruinsma, J. World Agriculture Towards 2030/2050: The 2012 Revision; ESA Working Paper No. 12-03; FAO: Rome, Italy, 2012. [Google Scholar]
- FAO. The Special Challenge for Sub-Saharan Africa; High Level Expert Forum: Rome, Italy, 2009. [Google Scholar]
- Perret, S.; Stevens, J. Factors affecting the adoption of water-conservation technologies. In Proceedings of the Symposium and Workshop on Water Conservation Technologies for Sustainable Dryland Agriculture in Sub-Saharan Africa, Pretoria, South Africa, 8–11 April 2003. [Google Scholar]
- Evenson, R.E.; Gollin, D. Assessing the impact of the Green Revolution, 1960 to 2000. Science 2003, 300, 758–762. [Google Scholar] [CrossRef] [PubMed]
- Kaliba, A.R.; Mazvimavi, K.; Gregory, T.L.; Mgonja, F.M.; Mgonja, M. Factors affecting adoption of improved sorghum varieties in Tanzania under information and capital constraints. Agric. Food Econ. 2018, 6, 18. [Google Scholar] [CrossRef]
- Pingali, P.L. Green revolution: Impacts, limits, and the path ahead. Proc. Natl. Acad. Sci. USA 2012, 109, 12302–12308. [Google Scholar] [CrossRef] [PubMed]
- Chima, C.D. Socio-Economic Determinants of Modern Agricultural Technology Adoption in Multiple Food Crops and Its Impact on Productivity and Food Availability at the Farm-Level: A Case Study from South-Eastern Nigeria. Ph.D. Thesis, Plymouth University, Plymouth, UK, March 2015. [Google Scholar]
- Manitra, A.; Iafrate, M.; Paschali, M. Why has Africa Become a Net Food Importer: Explaining African Agricultural and Food Trade Deficits; Trade and Markets Division Food and Agriculture Organization of the UN: Rome, Italy, 2011. [Google Scholar]
- Amanor, K.S. From farmer participation to pro-poor seed markets: The political economy of commercial cereal seed networks in Ghana. IDS Bull. 2011, 42, 48–58. [Google Scholar] [CrossRef]
- Sall, S.; Norman, D.; Featherstone, A.M. Adaptability of improved rice varieties in Senegal. Agricult. Syst. 1998, 57, 101–114. [Google Scholar] [CrossRef]
- Conteh, A.M.; Yan, X.; Fofana, I.; Gegbe, B.; Isaac, T.I. An estimation of rice output supply response in Sierra Leone: A Nerlovian model approach. Int. J. Biol. Biomol. Agric. Food Biotechnol. Eng. 2014, 8, 225–231. [Google Scholar]
- Louhichi, K.; Y Paloma, S.G. A farm household model for agri-food policy analysis in developing countries: Application to smallholder farmers in Sierra Leone. Food Policy 2014, 45, 1–13. [Google Scholar] [CrossRef]
- Chakanda, R.; van Treuren, R.; Visser, B.; van den Berg, R. Analysis of genetic diversity in farmers’ rice varieties in Sierra Leone using morphological and AFLP® markers. Genet. Resour. Crop. Evol. 2013, 60, 1237–1250. [Google Scholar] [CrossRef]
- Johnny, M. Agricultural change and peasant farmer resistance: The case of the traditional upland rice farmer in Sierra Leone. Rural Afr. 1981, 10, 9–17. [Google Scholar]
- Rashid-Noah, A. Survey and development of uplands for rice production. Warda Train. Guide 1995, 3, 9–10. [Google Scholar]
- Ghimire, R.; Wen-Chi, H.; Shrestha, R.B. Factors affecting adoption of improved rice varieties among rural farm households in Central Nepal. Rice Sci. 2015, 22, 35–43. [Google Scholar] [CrossRef]
- Unruh, J.D.; Turray, H. Land Tenure, Food Security and Investment in Postwar Sierra Leone; FAO: Rome, Italy, 2006. [Google Scholar]
- Williams, S.; Oredola-Davies, P. Land and Pro-Poor Change in Sierra Leone. DFID, Sierra Leone. Available online: http://www. britishcouncil. org/land-and-pro-poor-change-insierra-leone.pdf (accessed on 16 July 2013).
- Aha, B.; Ayitey, J.Z. Biofuels and the hazards of land grabbing: Tenure (in) security and indigenous farmers’ investment decisions in Ghana. Land Use Policy 2017, 60, 48–59. [Google Scholar] [CrossRef]
- Schuck, E.C.; Nganje, W.; Yantio, D. The role of land tenure and extension education in the adoption of slash and burn agriculture. Ecol. Econ. 2002, 43, 61–70. [Google Scholar] [CrossRef]
- Zeng, D.; Alwang, J.; Norton, G.; Jaleta, M.; Shiferaw, B.; Yirga, C. Land ownership and technology adoption revisited: Improved maize varieties in Ethiopia. Land Use Policy 2018, 72, 270–279. [Google Scholar] [CrossRef]
- Wang, H.; Pandey, S.; Velarde, O. Pattern of adoption of improved rice varieties and its determinants in Cambodia. Procedia Econ. Financ. 2012, 2, 335–343. [Google Scholar] [CrossRef]
- Donkor, E.; Owusu, V. Effects of land tenure systems on resource-use productivity and efficiency in Ghana’s rice industry. Afr. J. Agric. Resour. Econ. 2014, 9, 286. [Google Scholar]
- Chandio, A.A.; Yuansheng, J. Determinants of adoption of improved rice varieties in northern Sindh, Pakistan. Rice Sci. 2018, 25, 103–110. [Google Scholar] [CrossRef]
- Alcon, F.; de Miguel, M.D.; Burton, M. Duration analysis of adoption of drip irrigation technology in southeastern Spain. Technol. Forecast. Soc. Chang. 2011, 78, 991–1001. [Google Scholar] [CrossRef]
- Läpple, D. Adoption and abandonment of organic farming: An empirical investigation of the Irish drystock sector. J. Agric. Econ. 2010, 61, 697–714. [Google Scholar] [CrossRef]
- Abdulai, A.; Huffman, W.E. The diffusion of new agricultural technologies: The case of crossbred-cow technology in Tanzania. Am. J. Agric. Econ. 2005, 87, 645–659. [Google Scholar] [CrossRef]
- Nazli, H.; Smale, M. Dynamics of variety change on wheat farms in Pakistan: A duration analysis. Food Policy 2016, 59, 24–33. [Google Scholar] [CrossRef]
- Clapp, J. Food self-sufficiency: Making sense of it, and when it makes sense. Food Policy 2017, 66, 88–96. [Google Scholar] [CrossRef]
- Cleves, M.; Gould, W.; Gould, W.W.; Gutierrez, R.; Marchenko, Y. An Introduction to Survival Analysis Using Stata; Stata Press: College Station, TX, USA, 2008. [Google Scholar]
- Addison, J.T.; Portugal, P. Some specification issues in unemployment duration analysis. Labour Econ. 1998, 5, 53–66. [Google Scholar] [CrossRef]
- Ahsanuzzaman, A. Duration analysis of technology adoption in Bangladeshi agriculture. In Proceedings of the 2015 AAEA & WAEA Joint Annual Meeting, San Francisco, CA, USA, 26–28 July 2015. [Google Scholar]
- Smith, L.M.; Haukos, D.A. Floral diversity in relation to playa wetland area and watershed disturbance. Conserv. Biol. 2002, 16, 964–974. [Google Scholar] [CrossRef]
- Kalton, G. Methods for oversampling rare subpopulations in social surveys. Surv. Methodol. 2009, 35, 125–141. [Google Scholar]
- Acharya, A.S.; Prakash, A.; Saxena, P.; Nigam, A. Sampling: Why and how of it. Indian J. Med. Spec. 2013, 4, 330–333. [Google Scholar] [CrossRef]
- Korsching, P.F.; Stofferahn, C.W.; Nowak, P.J.; Wagener, D.J. Adopter characteristics and adoption patterns of minimum tillage: Implications for soil conservation programs. J. Soil Water Conserv. 1983, 38, 428–431. [Google Scholar]
- Besley, T. Property rights and investment incentives: Theory and evidence from Ghana. J. Political Econ. 1995, 103, 903–937. [Google Scholar] [CrossRef]
- Abdulai, A.; Owusu, V.; Goetz, R. Land tenure differences and investment in land improvement measures: Theoretical and empirical analyses. J. Dev. Econ. 2011, 96, 66–78. [Google Scholar] [CrossRef]
- Mwangi, M.; Kariuki, S. Factors determining adoption of new agricultural technology by smallholder farmers in developing countries. J. Econ. Sustain. Dev. 2015, 6, 208–216. [Google Scholar]
- Gavian, S.; Fafchamps, M. Land tenure and allocative efficiency in Niger. Am. J. Agric. Econ. 1996, 78, 460–471. [Google Scholar] [CrossRef]
- Oostendorp, R.H.; Zaal, F. Land acquisition and the adoption of soil and water conservation techniques: A duration analysis for Kenya and the Philippines. World Dev. 2012, 40, 1240–1254. [Google Scholar] [CrossRef]
- Paltasingh, K.R. Land tenure security and adoption of modern rice technology in Odisha, Eastern India: Revisiting Besley’s hypothesis. Land Use Policy 2018, 78, 236–244. [Google Scholar] [CrossRef]
- Banerjee, A.V.; Gertler, P.J.; Ghatak, M. Empowerment and efficiency: Tenancy reform in West Bengal. J. Political Econ. 2002, 110, 239–280. [Google Scholar] [CrossRef]
- Muraoka, R.; Jin, S.; Jayne, T.S. Land access, land rental and food security: Evidence from Kenya. Land Use Policy 2018, 70, 611–622. [Google Scholar] [CrossRef]
- Adhikari, U.; Nejadhashemi, A.P.; Woznicki, S.A. Climate change and eastern Africa: A review of impact on major crops. Food Energy Secur. 2015, 4, 110–132. [Google Scholar] [CrossRef]






| Variable | Description | Adopt NERICA | Adopt ROK | ||||
|---|---|---|---|---|---|---|---|
| No | Yes | t-Test | No | Yes | t-Test | ||
| Farmer Characteristics | Mean | Mean | p-Value | Mean | Mean | p-Value | |
| AGE | Age of the farmer (years) | 42.97 | 45.17 | 0.03 | 44.73 | 44.40 | 0.75 |
| TIME | Time to adopt/at risk | 14.26 | 12.48 | 0.12 | 13.34 | 9.41 | 0.00 |
| INCOME | Previous year’s income (million Le) 1 | 1.826 | 4.222 | 0.00 | 3.244 | 3.570 | 0.65 |
| EDUC | Level of education (years) | 3.37 | 4.53 | 0.02 | 4.08 | 4.21 | 0.80 |
| Dummy variables | % | % | Chi2 p-value | % | % | Chi2 p-value | |
| GEND | Sex of the farmer, male = 1, 0 otherwise | 78.42 | 70.09 | 0.03 | 67.48 | 74.51 | 0.08 |
| IRRIG_FAC | Use of irrigation facility = 1, 0 otherwise | 6.84 | 15.42 | 0.00 | 15.34 | 11.87 | 0.26 |
| FARM_ORG | Farmers’ organiations membership = 1, 0 otherwise | 85.26 | 89.25 | 0.16 | 85.28 | 89.01 | 0.21 |
| CREDIT | Have access to credit = 1, 0 otherwise | 27.89 | 33.64 | 0.16 | 28.22 | 33.19 | 0.24 |
| MKT_INF | Have easy access to market = 1, 0 otherwise | 25.79 | 48.13 | 0.00 | 35.58 | 43.30 | 0.09 |
| Sources of labour | |||||||
| HIRE_COM_LAB | Hired/communal labour | 69.27 | 78.24 | 0.02 | 64.85 | 79.30 | 0.00 |
| HH_LAB | Household labour | 5.21 | 9.26 | 0.09 | 11.52 | 6.75 | 0.05 |
| HH_COM_LAB | Household and communal labour | 23.96 | 11.57 | 0.00 | 22.42 | 12.85 | 0.00 |
| INCONSIS_LAB | Inconsistent labour source | 1.56 | 0.93 | 0.49 | 1.21 | 1.09 | 0.90 |
| Farmland ownership | |||||||
| LAND_OWNED | Land owned by farmer | 68.33 | 61.85 | 0.13 | 59.01 | 65.71 | 0.13 |
| RENTAL_L | Rented land | 23.89 | 33.17 | 0.02 | 30.43 | 30.24 | 0.96 |
| SHARE_CROPP | Share cropping | 7.78 | 4.99 | 0.19 | 10.56 | 4.05 | 0.00 |
| Source of awareness | |||||||
| EX_SERV | Extension services | 30.56 | 63.34 | 0.00 | 54.66 | 52.62 | 0.66 |
| FRD_NGB_REL | Friends/neighbours/relative | 65.00 | 31.67 | 0.00 | 42.86 | 41.67 | 0.80 |
| RADIO_TV_R | Radio/television/research stations/others | 4.44 | 4.99 | 0.78 | 2.48 | 5.71 | 0.10 |
| Location of farmland | |||||||
| UPLAND | Upland areas | 40.56 | 7.98 | 0.00 | 12.42 | 20.24 | 0.03 |
| IVS | Inland valley swamps | 40.56 | 48.88 | 0.06 | 65.84 | 38.81 | 0.00 |
| UPLAND_IVS | Both inland valleys and uplands | 18.89 | 43.14 | 0.00 | 21.74 | 40.95 | 0.00 |
| Observation | 186.00 | 412.00 | 161.00 | 437.00 | |||
| Source of First Improved Seed | NERICA | ROK | ||||
|---|---|---|---|---|---|---|
| Non-Adopters | Adopters | chi2/p * | Non-Adopters | Adopters | chi2/p * | |
| MAFFS | 27.86 | 76.56 | 0.00 | 76.15 | 60.10 | 0.00 |
| SLARI | 1.43 | 2.00 | 0.67 | 3.08 | 1.46 | 0.70 |
| Own produce | 3.57 | 5.74 | 0.32 | 6.15 | 4.87 | 0.56 |
| Other farmers | 11.43 | 2.74 | 0.00 | 3.08 | 5.60 | 0.50 |
| Purchased | 55.71 | 12.97 | 0.00 | 11.54 | 27.98 | 0.00 |
| Time | ROK | NERICA | ||||||
|---|---|---|---|---|---|---|---|---|
| Weibull | Generalized Gamma | Weibull | Generalized Gamma | |||||
| Coefficient | Std. Err. | Coefficient | Std. Err. | Coefficient | Std. Err. | Coefficient | Std. Err. | |
| EDUC | −0.03 | 0.03 | −0.03 | 0.03 | −0.05 * | 0.03 | −0.04 | 0.02 |
| AGE | 1.53 *** | 0.16 | 1.53 *** | 0.17 | 1.55 *** | 0.13 | 1.53 *** | 0.12 |
| INCOME | 0.08 ** | 0.04 | 0.08 ** | 0.04 | −0.02 | 0.03 | −0.03 | 0.03 |
| GEND | 0.09 | 0.09 | 0.09 | 0.09 | 0.29 *** | 0.07 | 0.26 *** | 0.06 |
| FARM_ORG | −0.25 ** | 0.12 | −0.25 ** | 0.12 | −0.32 *** | 0.10 | −0.30 *** | 0.09 |
| CREDIT | −0.07 | 0.08 | −0.07 | 0.09 | 0.06 | 0.07 | 0.06 | 0.06 |
| MKT_INF | 0.08 | 0.08 | 0.08 | 0.08 | 0.04 | 0.07 | 0.04 | 0.06 |
| IRRIG_FAC | 0.08 | 0.12 | 0.08 | 0.13 | −0.01 | 0.09 | 0.01 | 0.08 |
| Source of labour 1 | ||||||||
| HH_LAB | −0.12 | 0.15 | −0.12 | 0.15 | −0.21 ** | 0.11 | −0.22 ** | 0.10 |
| HH_COM_LAB | 0.34 *** | 0.13 | 0.34 ** | 0.13 | 0.18 * | 0.10 | 0.18 * | 0.10 |
| INCONSIS_LAB | 0.14 | 0.32 | 0.14 | 0.33 | 0.59 | 0.40 | 0.57 | 0.39 |
| Land ownership 2 | ||||||||
| RENTAL_L | −0.21 ** | 0.09 | −0.21 ** | 0.09 | −0.07 | 0.07 | −0.03 | 0.07 |
| SHARE_CROPP | −0.30 | 0.19 | −0.30 | 0.19 | −0.29 ** | 0.14 | −0.27 ** | 0.13 |
| Location of farmland 3 | ||||||||
| IVS | 0.34 *** | 0.12 | 0.34 *** | 0.12 | −0.35 ** | 0.13 | −0.36 ** | 0.13 |
| UPLAND_IVS | 0.28 ** | 0.11 | 0.28 ** | 0.11 | −0.27 ** | 0.13 | −0.30 ** | 0.13 |
| Source of knowing the variety 4 | ||||||||
| FRD_NGB_REL | 0.10 | 0.09 | 0.10 | 0.09 | 0.37 *** | 0.07 | 0.35 *** | 0.07 |
| RADIO_TV_R | −0.27 | 0.16 | −0.27 | 0.16 | −0.10 | 0.15 | −0.10 | 0.13 |
| Constant term | −3.26 *** | 0.63 | −3.25 *** | 0.68 | −2.75 *** | 0.52 | −2.56 *** | 0.49 |
| LR chi2 | 129.77 *** | 128.55 *** | 196.27 *** | 199.28 *** | ||||
| /ln_p | 0.36 *** | 0.04 | 0.59 *** | 0.04 | ||||
| p | 1.43 | 0.06 | 1.81 | 0.08 | ||||
| 1/p | 0.70 | 0.03 | 0.55 | 0.02 | ||||
| /ln_sig | −0.36 *** | 0.08 | −0.74 *** | 0.09 | ||||
| Sigma | 0.70 | 0.06 | 0.48 | 0.04 | ||||
| /kappa | 1.01 *** | 0.21 | 1.39 *** | 0.22 | ||||
© 2019 by the authors. Licensee MDPI, Basel, Switzerland. This article is an open access article distributed under the terms and conditions of the Creative Commons Attribution (CC BY) license (http://creativecommons.org/licenses/by/4.0/).
Share and Cite
Mansaray, B.; Jin, S.; Horlu, G.S.A. Do Land Ownership and Agro-Ecological Location of Farmland Influence Adoption of Improved Rice Varieties? Evidence from Sierra Leone. Agriculture 2019, 9, 256. https://doi.org/10.3390/agriculture9120256
Mansaray B, Jin S, Horlu GSA. Do Land Ownership and Agro-Ecological Location of Farmland Influence Adoption of Improved Rice Varieties? Evidence from Sierra Leone. Agriculture. 2019; 9(12):256. https://doi.org/10.3390/agriculture9120256
Chicago/Turabian StyleMansaray, Bashiru, Shaosheng Jin, and Godwin S. Agbemavor Horlu. 2019. "Do Land Ownership and Agro-Ecological Location of Farmland Influence Adoption of Improved Rice Varieties? Evidence from Sierra Leone" Agriculture 9, no. 12: 256. https://doi.org/10.3390/agriculture9120256
APA StyleMansaray, B., Jin, S., & Horlu, G. S. A. (2019). Do Land Ownership and Agro-Ecological Location of Farmland Influence Adoption of Improved Rice Varieties? Evidence from Sierra Leone. Agriculture, 9(12), 256. https://doi.org/10.3390/agriculture9120256

