Implementation of Mitigation Measures to Reduce Phosphorus Losses: The Vestre Vansjø Pilot Catchment
Abstract
1. Introduction
2. Materials and Methods
2.1. Case Study Area
2.2. The Lake Vestre Vansjø Project
- Using less P fertilizer than the national recommended level
- No soil cultivation during autumn
- No cultivation of potatoes or vegetables on fields frequently prone to flooding
- Establishment of eight-meter-wide grassed buffer strips along open water
- Establishment of grassed waterways where there is a large risk of erosion
- Establishment of constructed wetlands where recommended
2.3. Water Quality Sampling and Runoff Estimation
2.4. Chemical Water Analyses
2.5. Soil Sampling
2.6. Statistical Analyses and Calculations
+ % autumn harrowed × 0.5 + 1 × % autumn till/vegetable/potato.
3. Results and Discussion
3.1. Implementation of Mitigation Measures
3.2. Sewage Treatment Renovation
3.3. Soil Phosphorus Status
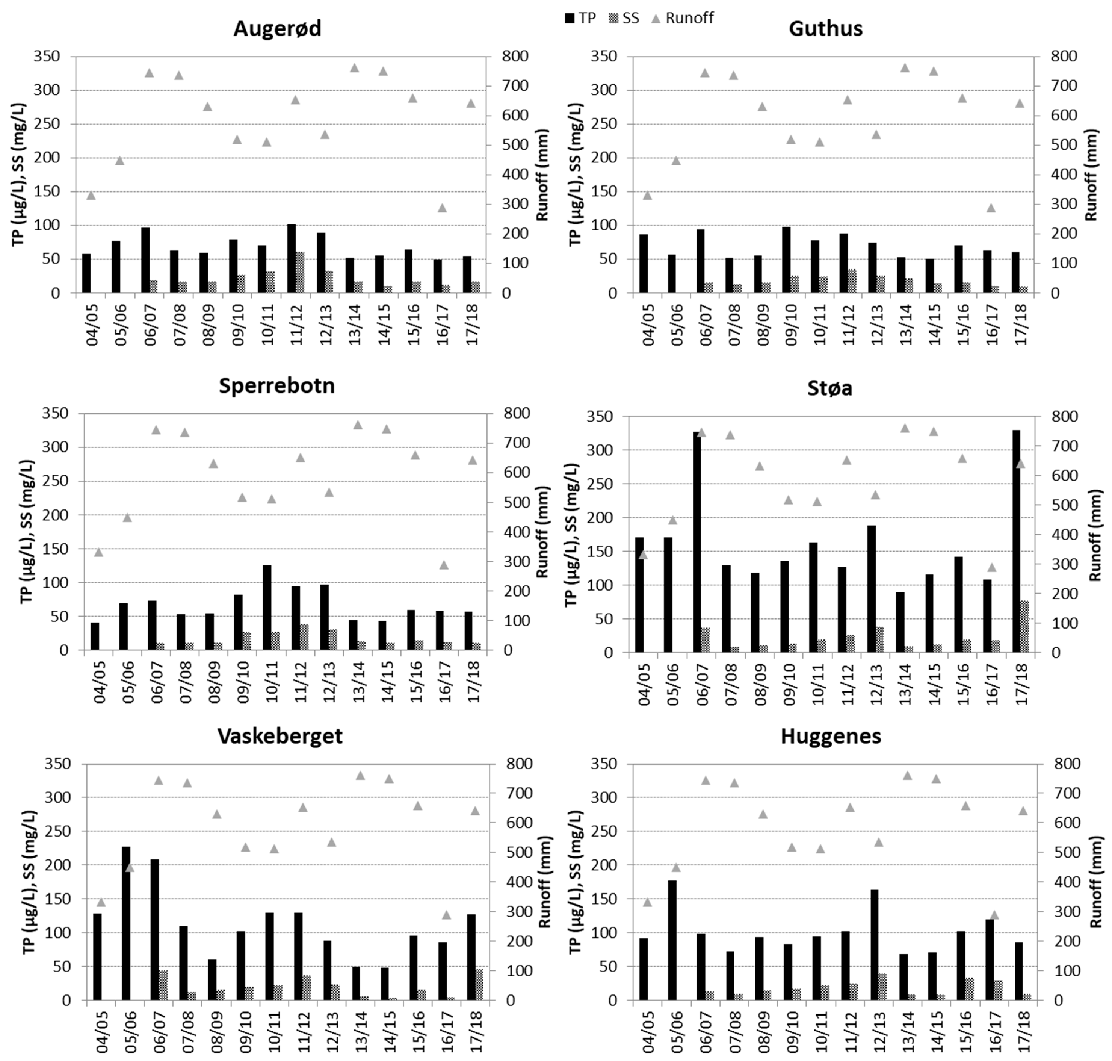
3.4. Weather and Runoff
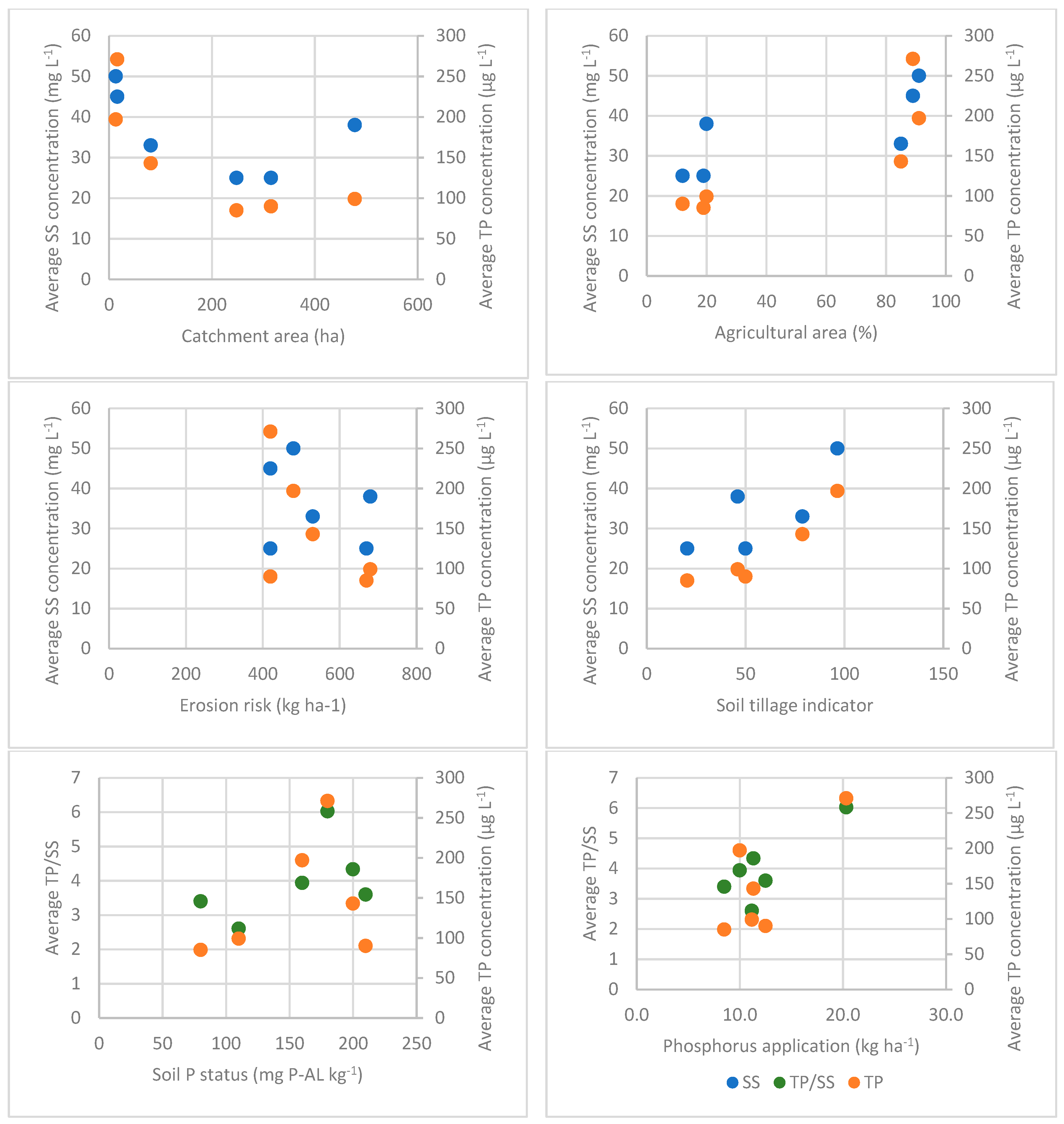
3.5. Concentrations of Suspended Sediments
3.6. Concentrations of Phosphorus
3.7. Sampling Frequency
4. Conclusions
Author Contributions
Funding
Conflicts of Interest
References
- Foy, B. The return of the phosphorus paradigm: Agricultural phosphoru s and eutrophication. In Phosphorus: Agriculture and the Environment—Agronomy Monograph; Sims, J.T., Sharpley, A.N., Eds.; ASA/CSCA/SSSA: Madison, WI, USA, 2005; Volume 46, pp. 911–940. [Google Scholar]
- Withers, P.J.A.; May, L.; Jarvie, H.P.; Jordan, P.; Doody, D.; Foy, R.H.; Bechmann, M.; Cooksley, S.; Dils, R.; Deal, N. Nutrient emissions to water from septic tank systems in rural catchments: Uncertainties and implications for policy. Environ. Sci. Policy 2012, 24, 71–82. [Google Scholar] [CrossRef]
- Schoumans, O.F.; Chardon, W.J.; Bechmann, M.; Gascuel-Odoux, C.; Hofman, G.; Kronvang, B.; Litaor, M.I.; Lo Porto, A.; Newell-Price, P.; Rubæk, G. Mitigation options for reducing nutrient emissions from agriculture—A study amongst European member states of Cost action 869. Alterra Rep. 2011, 2141, 144. [Google Scholar]
- Schoumans, O.; Chardon, W.J.; Bechmann, M.E.; Gascuel-Odoux, C.; Hofman, G.; Kronvang, B.; Rubæk, G.H.; Ulén, B.; Dorioz, J.-M. Mitigation options to reduce phosphorus losses from the agricultural sector and improve surface water quality: A review. Sci. Total Environ. 2014, 468, 1255–1266. [Google Scholar] [CrossRef] [PubMed]
- Sims, J.T.; Kleinman, P.J.A. Managing Agricultural Phosphorus for Environmental Protection. In Phosphorus: Agriculture and the Environment—Agronomy Monograph; Sims, J.T., Sharpley, A.N., Eds.; ASA/CSCA/SSSA: Madison, WI, USA, 2005; Volume 46, pp. 1021–1068. [Google Scholar]
- Skøien, S.E.; Børresen, T.; Bechmann, M. Effect of tillage methods on soil erosion in Norway. Acta Agric. Scand. B. Soil Plant 2012, 62, 191–198. [Google Scholar] [CrossRef]
- Sharpley, A.N.; Jarvie, H.; Buda, A.; May, L.; Spears, B.; Kleinman, P. Phosphorus Legacy: Overcoming the Effects of Past Management Practices to Mitigate Future Water Quality Impairment. J. Environ. Qual. 2013, 42, 1308–1326. [Google Scholar] [CrossRef] [PubMed]
- Syversen, N. Cold-Climate Vegetative Buffer Zones as Filters for Surface Agricultural Runoff. Retention of Soil Particles, Phosphorus and Nitrogen. Ph.D. Thesis, Department of Soil and Water Sciences, Agricultural University of Norway, As, Norway, 2002. [Google Scholar]
- Braskerud, B. Sedimentation in Small Constructed Wetlands. Ph.D. Thesis, Norwegian University of Life Sciences, As, Norway, 2001; 146p. [Google Scholar]
- Haygarth, P.M.; Page, T.J.C.; Beven, K.J.; Freer, J.; Joynes, A.; Butler, P.; Wood, G.A.; Owens, P.N. Scaling up the phophorus signal from soil hillslopes to headwater catchments. Freshw. Biol. 2012, 57, 7–25. [Google Scholar] [CrossRef]
- WFD. Common Implementation Strategy for the Water Framework Directive (2000/60/EC) Guidance Document No. 3: Analysis of Pressures and Impacts; WFD: Helsinki, Finland, 2002. [Google Scholar]
- EC. 2016. Available online: http://ec.europa.eu/environment/water/participation/map_mc/map.htm (accessed on 7 November 2018).
- Refsgaard, K.; Bechmann, M. Cost-effectiveness of tillage methods to reduce phosphorus loss from agricultural land. J. Environ. Plan. Manag. 2016. [Google Scholar] [CrossRef]
- Sharpley, A.N.; Kleinman, P.J.A.; Jordan, P.; Bergström, L.; Allen, A.L. Evaluating the success of Phosphorus Management from Field to Watershed. J. Environ. Qual. 2009, 38, 1981–1988. [Google Scholar] [CrossRef]
- Bechmann, M.; Greipsland, I.; Berge, D.; Gjemlestad, L.; Skarbøvik, E. Operational monitoring in agricultural dominated catchments in Skottland, Denmark and Sweden. Klif-Report 2012, TA2959, 56. [Google Scholar]
- Bechmann, M.; Øgaard, A.F. Water quality changes following intensive focus on mitigation methods to reduce phosphorus losses in the catchment of lake Vansjø, Norway. In Proceedings of the International Conference on Realistic Expectations for Improving European Waters, Keszthely, Hungary, 12–14 October 2011; pp. 103–117. [Google Scholar]
- Kilden. Available online: https://kilden.nibio.no (accessed on 7 November 2018).
- DNMI. Norwegian Meteorological Institute. 2018. Available online: www.eklima.no (accessed on 7 November 2018).
- Deelstra, J.; Stenrød, M.; Bechmann, M.; Eggestad, H.O. Discharge measurement and water sampling. In Agriculture and Environment—Long Term Monitoring in Norway; Bechmann, M., Deelstra, J., Eds.; Akademika Publishing: Trondheim, Norway, 2013; pp. 83–104. ISBN 978-82-321-0014-9. [Google Scholar]
- Murphy, J.; Riley, J.P. A modified single solution method for determination of phosphate in natural waters. Anal. Chim. Acta 1962, 27, 31–36. [Google Scholar] [CrossRef]
- Egnér, H.; Riehm, H.; Domingo, W.R. Untersuchungenüber die chemische Boden-Analyse als Grundlage für die Beurteilung des Nährstoffzustandes der Boden. Kungliga Lantbrukshögskolans Annaler 1960, 26, 199–215. [Google Scholar]
- Libiseller, C.; Grimvall, A. Performance of partial Mann-Kendall tests for trend detection in the presence of covariates. Environmetrics 2002, 13, 71–84. [Google Scholar] [CrossRef]
- Hovland, I. Handbok for Driftsplanlegging; NIBIO: As, Norway, 2016; p. 250. ISBN 978-82-17-01693-9. (In Norwegian) [Google Scholar]
- Reijneveld, A.; Oenema, O. Developments in soil phosphorus status in a recently reclaimed polder in the Netherlands. Nutr. Cycl. Agroecosyst. 2012, 94, 33–45. [Google Scholar] [CrossRef]
- Sharma, L.K.; Bali, S.K.; Zaeen, A.A. A Case Study of Potential Reasons of Increased Soil Phosphorus Levels in the Northeast United States. Agronomy 2017, 7, 85. [Google Scholar] [CrossRef]
- Turtumøygard, S.; Eggen, G. WebGIS avløp for Klepp. Bioforsk Rep. 2008, 3, 15. (In Norwegian) [Google Scholar]
- Krogstad, T.; Øgaard, A.F.; Kristoffersen, A.Ø. New P recommendations for grass and cereals in Norwegian agriculture. NJF Rep. 2008, 4, 42–46. [Google Scholar]
- Zhan, X.; Zhang, L.; Zhou, B.; Zhu, P.; Zhang, S.; Xu, M. Changes in Olsen Phosphorus Concentration and Its Response to Phosphorus Balance in Black Soils under Different Long-Term Fertilization Patterns. PLoS ONE 2015, 10, e0131713. [Google Scholar] [CrossRef] [PubMed]
- Kristoffersen, A.Ø.; Øgaard, A.F. Phosphorus Application Rates for Cereals Determined by Soil P Status; NIBIO POP: Ås, Norway, 2018; Volume 4. (In Norwegian) [Google Scholar]
- Riley, H.; Stubhaug, E.; Kristoffersen, A.; Krogstad, T.; Guren, G.; Tajet, T.P. Application to Vegetables. Evaluation and New Recommendations; Bioforsk—Norwegian Institute for Agricultural and Environmental Research: Svanvik, Norway, 2012; Volume 7, ISBN 978-82-17-00929-0. (In Norwegian) [Google Scholar]
- Van der Salm, C.; van Middelkoop, J.C.; Ehlert, P.A.I. Changes in soil phosphorus pools of grassland following 17 yrs of balanced application of manure and fertilizer. Soil Use Mang. 2017, 33, 2–12. [Google Scholar] [CrossRef]
- Mattson, L. Exploiting P in heavily P-dressed fields in Sweden. Arch. Agron. Soil Sci. 2002, 48, 577–583. [Google Scholar] [CrossRef]
- Korsaeth, A. N, P and K budgets and changes in selected topsoil nutrients over 10 years in a long-term experiment with conventional and organic crop rotations. Appl. Environ. Soil Sci. 2012, 2012, 17. [Google Scholar] [CrossRef]
- Haygarth, P.; Jarvis, S.C. Transfer of phosphorus from agricultural soils. Adv. Agron. 1999, 66, 195–249. [Google Scholar]
- Jarvie, H.P.; Withers, P.J.A.; Bowes, M.J.; Palmer-Felgate, E.J.; Harper, D.M.; Wasiak, K.; Wasiak, P.; Hodgkinson, R.A.; Bates, A.; Stoate, C.; et al. Stream water phosphorus and nitrogen across a gradient in rural-agricultural land use intensity. Agric. Ecosyst. Environ. 2010, 135, 238–252. [Google Scholar] [CrossRef]
- Pimentel, D. A food and environmental threat. Environ. Dev. Sustain. 2006, 8, 119–137. [Google Scholar] [CrossRef]
- Wischmeier, W.H.; Smith, D.D. Predicting Rainfall Erosion Losses: A Guide to Conservation Planning. In Science, US Department of Agriculture Handbook; US Department of Agriculture: Washington, DC, USA, 1978. [Google Scholar]
- Cerdà, A. Scales and erosion. Catena 2013, 102, 1–2. [Google Scholar] [CrossRef]
- Bechmann, M.; Deelstra, J.; Stålnacke, P.; Eggestad, H.O.; Øygarden, L.; Pengerud, A. Monitoring catchment scale agricultural pollution in Norway—Policy instruments, implementation of mitigation methods and trends in nutrient and sediment losses. Environ. Sci. Policy 2008, 11, 102–114. [Google Scholar] [CrossRef]
- Kyllmar, K.; Bechmann, M.; Deelstra, J.; Blicher-Mathiesen, G.; Iital, A.; Jansons, V.; Koskiaho, J.; Povilaitis, A. Long-term monitoring of nutrient losses from agricultural catchments in the Nordic and Baltic region—A discussion of methods, uncertainties and future needs. Agric. Ecosyst. Environ. 2014, 198, 4–12. [Google Scholar] [CrossRef]
- Øygarden, L.; Lundekvam, H.; Arnoldussen, A.H.; Børresen, T. Norway. In Soil Erosion in Europe; Boardman, J., Poesen, J., Eds.; John Wiley & Sons Ltd.: London, UK, 2006; pp. 3–15. [Google Scholar]
- Radcliffe, D.E.; Freer, J.; Schoumans, O. Diffuse Phosphorus models in the Unisted States and Europe: Their Usages, Scales and Uncertainties. J. Environ. Qual. 2009, 38, 1956–1967. [Google Scholar] [CrossRef]
- Bechmann, M. Effect of tillage on sediment and phosphorus losses from a field and a catchment in southeastern Norway. Special Issue on Soil in erosion in Nordic countries. Acta Agric. Scand. B. Plant Soil 2012, 62, 206–216. [Google Scholar]
- Engebretsen, A.; Vogt, R.; Bechmann, M. SWAT model uncertainties and cumulative probability for decreased phosphorus loading by agricultural best management practices. Catena 2019, 175, 154–166. [Google Scholar] [CrossRef]
- Göransson, G.; Larson, M.; Bendz, D. Variation in turbidity with precipitation and flow in a regulated river system—River Gota Alv, SW Sweden. Hydrol. Earth Syst. Sci. 2013, 17, 2529–2542. [Google Scholar] [CrossRef]
- Willams, G.P. Sediment concentration versus water discharge during single hydrologic events in rivers. J. Hydrol. 1989, 111, 89–106. [Google Scholar] [CrossRef]
- Skarbøvik, E.; Stålnacke, P.; Bogen, J.; Bønsnes, T.E. Impact of Sampling Frequency on Mean Concentrations and Estimated Loads of Suspended Sediment in a Norwegian River: Implications for Water Management. Sci. Total Environ. 2012, 433, 462–471. [Google Scholar] [CrossRef]
- Skarbøvik, E.; Roseth, R. Use of sensor data for turbidity, pH and conductivity as an alternative to conventional water quality monitoring in four Norwegian case studies. Acta Agric. Scand. B Soil Plant Sci. 2015, 65, 63–73. [Google Scholar] [CrossRef]








| Catchment | Total Area ha | Agriculture % | Production | Soils | Erosion Risk ** (% of Agricultural Land) | ||
|---|---|---|---|---|---|---|---|
| ER-cl. 1 | ER-cl. 2 | ER-cl. 3 | |||||
| Augerød *** | 478 | 20 | Cereals, swine * | Clay loam and silt loam | 40 | 58 | 2 |
| Guthus *** | 315 | 12 | Cereals, chicken | Clay, silty loam and org. | 65 | 35 | 0 |
| Sperrebotn | 248 | 19 | Cereals | Silt loam and clay loam | 27 | 73 | 0 |
| Støa | 16 | 89 | Cereals, vegetables, potato, grass | Sandy loam, and silt loam | 83 | 17 | 0 |
| Vaskeberget *** | 13 | 91 | Cereals, vegetables, potato | Sandy, silty and clay loam | 45 | 55 | 0 |
| Huggenes | 81 | 85 | Cereals, vegetables, potato | Sandy, silty and clay loam | 57 | 42 | 1 |
| 2004 | 2005 | 2006 | 2007 | 2008 | 2009 | 2010 | 2011 | 2012 | 2013 | 2014 | 2014 | 2015 | 2016 |
|---|---|---|---|---|---|---|---|---|---|---|---|---|---|
| Water Framework Pilot project | |||||||||||||
| Mitigation project with environmental contracts | Environmental contracts by County Governor | ||||||||||||
| General regulation, the 40/60 regulation and subsidies in all ER *-classes | Removal of 40/60 regulation; no subsidies in ER *-class 1 | ||||||||||||
| Agrohydrological Year (1 May to 30 April) | ||||||||||||||
|---|---|---|---|---|---|---|---|---|---|---|---|---|---|---|
| 04/05 | 05/06 | 06/07 | 07/08 | 08/09 | 09/10 | 10/11 | 11/12 | 12/13 | 13/14 | 14/15 | 15/16 | 16/17 | 17/18 | |
| No of samples (TP) | 10–11 | 14 | 22–27 | 22–26 | 19–27 | 16–21 | 7–17 | 9–25 | 5–18 | 7–18 | 6–17 | 7–17 | 6–11 | 16–23 |
| No of samples (SS) | - | - | 21–26 | 22–26 | 19–27 | 16–21 | 7–17 | 9–25 | 5–18 | 7–18 | 6–17 | 7–17 | 6–11 | 16–23 |
| Runoff (mm) | 331 | 448 | 745 | 737 | 631 | 518 | 512 | 652 | 535 | 761 | 749 | 658 | 288 | 641 |
| Catchment | 2004 | 2007 | 2008 | 2009 | 2010 | 2011 | 2012 | 2013 | 2014 | 2015 | 2016 |
|---|---|---|---|---|---|---|---|---|---|---|---|
| kg P/ha | |||||||||||
| Augerød | 18 | 10 | 7 | 0 | 7 | 7 | 10 | 12 | 13 | 17 | 8 |
| Guthus | 21 | 19 | 10 | 2 | 2 | 10 | 10 | 12 | 13 | 15 | 15 |
| Sperrebotn | 20 3 | 15 3 | 6 | 5 | 6 | 7 | 6 | 10 | 9 | 10 | 9 |
| Støa | nd | nd | 0 | 0 | nd | 20 | 21 | 20 | 21 | 20 | 20 |
| Vaskeberget | nd | nd | nd | nd | nd | 10 | 10 | 10 | 10 | 10 | 10 |
| Huggenes | 28 | 18 | 10 | 12 | 3 | 7 | 9 | 6 | 11 | 17 | 18 |
| Catchment | Before 2004 | 2008–2011 | 2011–2017 |
|---|---|---|---|
| Augerød | 8 | 2 | 0 |
| Guthus | 1 | 0 | 0 |
| Sperrebotn | 2 1 | 2 1 | 0 1 |
| Støa | 1 | 0 | 0 |
| Vaskeberget | 1 | 0 | 0 |
| Huggenes | 15 | 0 | 0 |
| Catchment | <2008 | 2016–2017 |
|---|---|---|
| Augerød | 110 (30–250) | 90 (30–250) |
| Guthus | 210 (20–390) | 190 (80–360) |
| Sperrebotn | 80 (50–230) | 80 (40–200) |
| Støa | 180 (150–200) | 180 (150–210) |
| Vaskeberget | 160 (110–200) | 150 (110–170) |
| Huggenes | 200 (90–380) | 200 (40–350) |
| Catchment | Suspended Sediments mg L−1 | Total Phosphorus µg L−1 |
|---|---|---|
| Augerød | 38 (2–490) | 99 (13–547) |
| Guthus | 25 (3–310) | 90 (<3–640) |
| Sperrebotn | 25 (1–230) | 85 (<3–410) |
| Støa | 45 (0.3–1560) | 271 (20–6900) |
| Vaskeberget | 50 (0.3–1780) | 197 (<3–2850) |
| Huggenes | 33 (1–730) | 143 (8–1700) |
© 2019 by the authors. Licensee MDPI, Basel, Switzerland. This article is an open access article distributed under the terms and conditions of the Creative Commons Attribution (CC BY) license (http://creativecommons.org/licenses/by/4.0/).
Share and Cite
Bechmann, M.; Greipsland, I.; Øgaard, A.F. Implementation of Mitigation Measures to Reduce Phosphorus Losses: The Vestre Vansjø Pilot Catchment. Agriculture 2019, 9, 15. https://doi.org/10.3390/agriculture9010015
Bechmann M, Greipsland I, Øgaard AF. Implementation of Mitigation Measures to Reduce Phosphorus Losses: The Vestre Vansjø Pilot Catchment. Agriculture. 2019; 9(1):15. https://doi.org/10.3390/agriculture9010015
Chicago/Turabian StyleBechmann, Marianne, Inga Greipsland, and Anne Falk Øgaard. 2019. "Implementation of Mitigation Measures to Reduce Phosphorus Losses: The Vestre Vansjø Pilot Catchment" Agriculture 9, no. 1: 15. https://doi.org/10.3390/agriculture9010015
APA StyleBechmann, M., Greipsland, I., & Øgaard, A. F. (2019). Implementation of Mitigation Measures to Reduce Phosphorus Losses: The Vestre Vansjø Pilot Catchment. Agriculture, 9(1), 15. https://doi.org/10.3390/agriculture9010015
