Durum Wheat Quality, Yield and Sanitary Status under Conservation Agriculture
Abstract
1. Introduction
- The CA approach would not negatively affect yields or the technological profile of kernels of durum wheat;
- The incidence and severity of fungal diseases and their possible influence on the yield and technological traits of durum wheat would be lowered by including faba beans in the rotation.
2. Materials and Methods
2.1. Site Description
2.2. Experimental Design and Agronomic Practices
2.3. Yield and Merceological Parameters
2.4. Grain Quality Analysis
2.5. Survey of Symptoms of Fungal Diseases
2.6. Isolation of Pathogens from Symptomatic Leaves
2.7. Statistical Analysis
3. Results
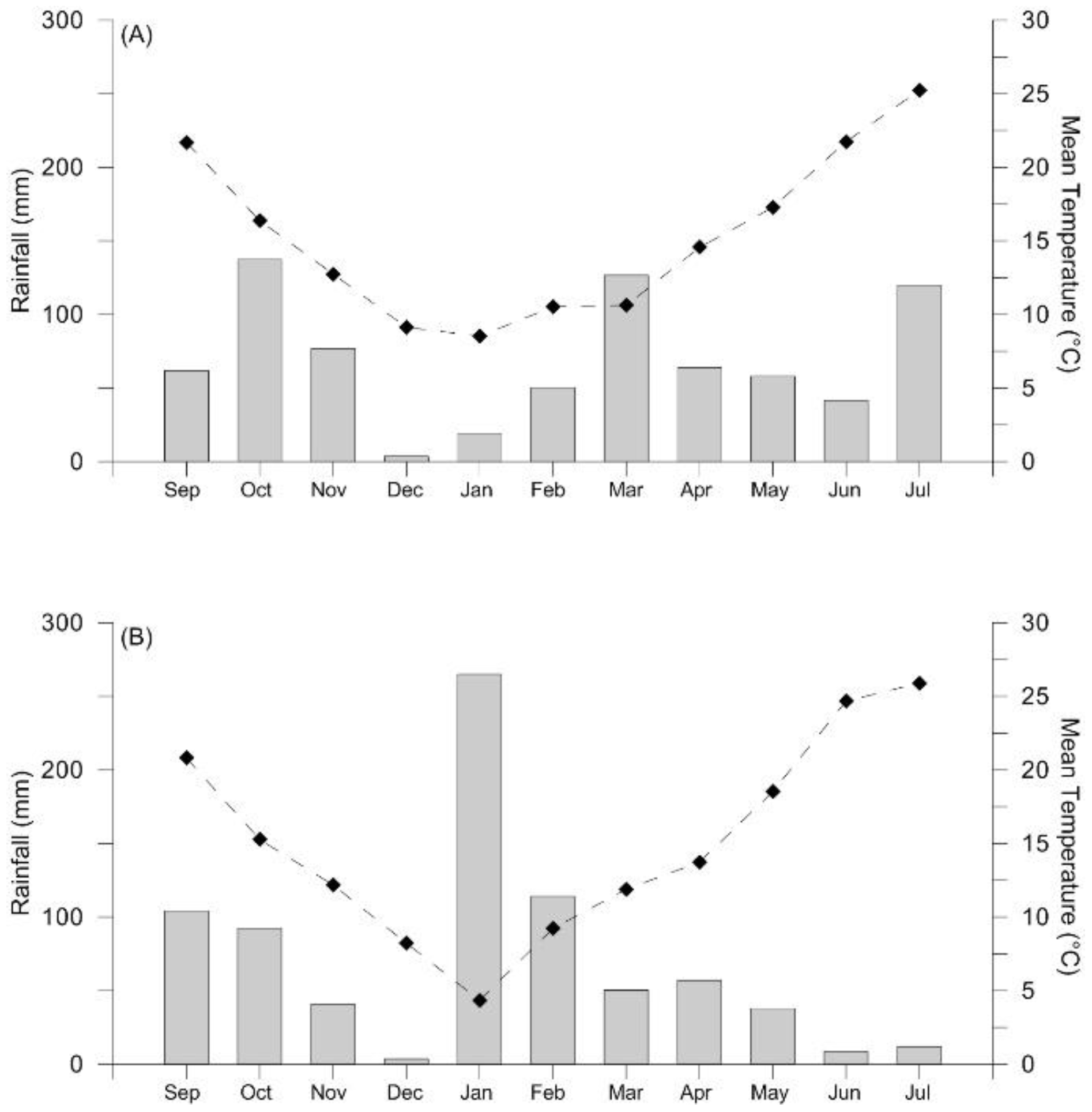
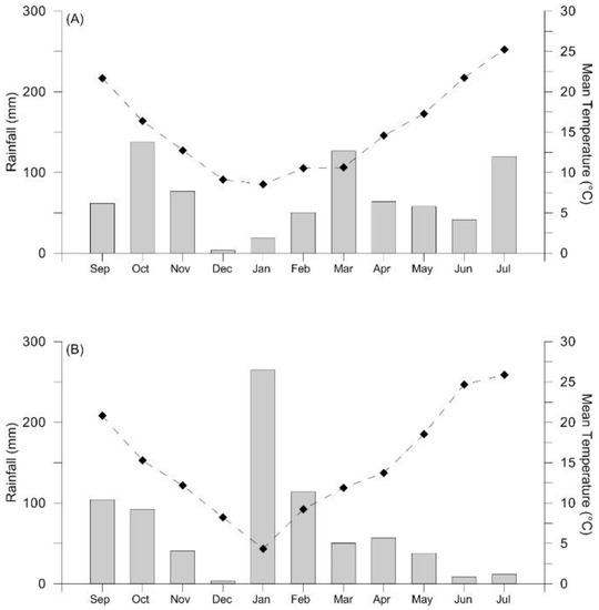
3.1. Meteorological Data and Soil Characteristics
3.2. Yield and Yield Components
3.3. Grain Quality Traits
3.4. Survey of Symptoms of Fungal Diseases
3.5. Isolation of Pathogens from Symptomatic Leaves
4. Discussion
5. Conclusions
- Under CA higher yield as well as higher GPC accumulation in kernels are achieved thanks to the improved soil water and nutrient availability.
- The inclusion of faba beans (WF) within the rotation caused a consistent reduction in leaf symptoms of Z. tritici in ZT treatments, normally subjected to the diffusion of durum wheat diseases. However, the late appearance of the infection appeared to be decisive in avoiding yield damages.
Author Contributions
Funding
Conflicts of Interest
References
- Dal Ferro, N.; Sartori, L.; Simonetti, G.; Berti, A.; Morari, F. Soil macro-and microstructure as affected by different tillage systems and their effects on maize root growth. Soil Till. Res. 2014, 140, 55–65. [Google Scholar] [CrossRef]
- Shao, Y.; Xie, Y.; Wang, C.; Yue, J.; Yao, Y.; Li, X.; Guo, T. Effects of different soil conservation tillage approaches on soil nutrients, water use and wheat-maize yield in rainfed dry-land regions of North China. Eur. J. Agron. 2016, 81, 37–45. [Google Scholar] [CrossRef]
- Lopez-Bellido, R.J.; Muñoz-Romero, V.; Lopez-Bellido, F.J.; Guzman, C.; Lopez-Bellido, L. Crack formation in a mediterranean rainfed Vertisol: Effects of tillage and crop rotation. Geoderma 2016, 281, 127–132. [Google Scholar] [CrossRef]
- Anderson, W.K.; Impiglia, A. Management of dryland wheat. In Bread Wheat; FAO: Rome, Italy, 2002; ISBN 92-5-104809-6. [Google Scholar]
- Friedrich, T. Conservation Agriculture as a means of achieving sustainable intensification of crop production. Agric. Dev. 2013, 19, 7–11. [Google Scholar]
- Farooq, M.; Siddique, K.H.M. Conservation agriculture: Concepts, brief history, and impacts on agricultural systems. In Conservation Agriculture; Springer International Publishing: Basel, Switzerland, 2015; pp. 3–17. ISBN 978-3-319-11619-8. [Google Scholar]
- Ranaivoson, L.; Naudin, K.; Ripoche, A.; Affholder, F.; Rabeharisoa, L.; Corbeels, M. Agro-ecological functions of crop residues under conservation agriculture. A review. Agron. Sustain. Dev. 2017, 37. [Google Scholar] [CrossRef]
- Hobbs, P.R.; Sayre, K.; Gupta, R. The role of conservation agriculture in sustainable agriculture. Philos. Trans. R. Soc. B Biol. Sci. 2008, 363, 543–555. [Google Scholar] [CrossRef] [PubMed]
- Corsi, S.; Friedrich, T.; Kassam, A.; Pisante, M. A Review of Carbon Sequestration through Conservation Agriculture. In Proceedings of the International Symposium on Managing Soils for Food Security and Climate Change Adaptation and Mitigation; Food and Agriculture Organization of the United Nations: Rome, Italy, 2014; pp. 205–207. [Google Scholar]
- Lal, R. Sequestering carbon and increasing productivity by conservation agriculture. J. Soil Water Conserv. 2015, 70, 55A–62A. [Google Scholar] [CrossRef]
- Powlson, D.S.; Stirling, C.M.; Jat, M.L.; Gerard, B.G.; Palm, C.A.; Sanchez, P.A.; Cassman, K.G. Limited potential of no-till agriculture for climate change mitigation. Nat. Clim. Chang. 2014, 4, 678–683. [Google Scholar] [CrossRef]
- Henneron, L.; Bernard, L.; Hedde, M.; Pelosi, C.; Villenave, C.; Chenu, C.; Bertrand, M.; Girardin, C.; Blanchart, E. Fourteen years of evidence for positive effects of conservation agriculture and organic farming on soil life. Agron. Sustain. Dev. 2014, 35, 169–181. [Google Scholar] [CrossRef]
- Pittelkow, C.M.; Liang, X.; Linquist, B.A.; Groenigen, L.J.; Van Lee, J.; Lundy, M.E.; Van Gestel, N.; Six, J.; Venterea, R.T.; Van Kessel, C. Productivity limits and potentials of the principles of conservation agriculture. Nature 2015, 517, 365–368. [Google Scholar] [CrossRef] [PubMed]
- Kumar, K.; Goh, K.M. Crop Residues and Management Practices: Effects on Soil Quality, Soil Nitrogen Dynamics, Crop Yield, and Nitrogen Recovery. Adv. Agron. 1999, 68, 197–319. [Google Scholar] [CrossRef]
- Knowler, D.; Bradshaw, B. Farmers’ adoption of conservation agriculture: A review and synthesis of recent research. Food Policy 2007, 32, 25–48. [Google Scholar] [CrossRef]
- Holland, J.M. The environmental consequences of adopting conservation tillage in Europe: Reviewing the evidence. Agric. Ecosyst. Environ. 2004, 103, 1–25. [Google Scholar] [CrossRef]
- Gilbert, J.; Woods, S.M. Leaf spot diseases of spring wheat in southern Manitoba farm fields under conventional and conservation tillage. Can. J. Plant Sci. 2001, 81, 551–559. [Google Scholar] [CrossRef]
- Van den Putte, A.; Govers, G.; Diels, J.; Gillijns, K.; Demuzere, M. Assessing the effect of soil tillage on crop growth: A meta-regression analysis on European crop yields under conservation agriculture. Eur. J. Agron. 2010, 33, 231–241. [Google Scholar] [CrossRef]
- Kirkegaard, J.A.; Conyers, M.K.; Hunt, J.R.; Kirkby, C.A.; Watt, M.; Rebetzke, G.J. Sense and nonsense in conservation agriculture: Principles, pragmatism and productivity in Australian mixed farming systems. Agric. Ecosyst. Environ. 2014, 187, 133–145. [Google Scholar] [CrossRef]
- Bailey, K.L. Diseases under conservation tillage systems. Can. J. Plant Sci. 1996, 76, 635–639. [Google Scholar] [CrossRef]
- Bockus, W.W.; Shroyer, J.P. The Impact of Reduced Tillage on Soilborne Plant Pathogens. Annu. Rev. Phytopathol. 1998, 36, 485–500. [Google Scholar] [CrossRef] [PubMed]
- Sturz, A.V.; Carter, M.R.; Johnston, H.W. A review of plant disease, pathogen interactions and microbial antagonism under conservation tillage in temperate humid agriculture. Soil Tillage Res. 1997, 41, 169–189. [Google Scholar] [CrossRef]
- Gao, Y.; Li, Y.; Zhang, J.; Liu, W.; Dang, Z.; Cao, W.; Qiang, Q. Effects of mulch, N fertilizer, and plant density on wheat yield, wheat nitrogen uptake, and residual soil nitrate in a dryland area of China. Nutr. Cycl. Agroecosyst. 2009, 85, 109–121. [Google Scholar] [CrossRef]
- Galieni, A.; Stagnari, F.; Visioli, G.; Marmiroli, N.; Speca, S.; Angelozzi, G.; D’Egidio, S.; Pisante, M. Nitrogen fertilisation of durum wheat: A case of study in mediterranean area during transition to conservation agriculture. Ital. J. Agron. 2016, 11, 12–23. [Google Scholar] [CrossRef]
- Cherr, C.M.; Scholberg, J.M.S.; McSorley, R. Green manure approaches to crop production: A synthesis. Agron. J. 2006, 98, 302–319. [Google Scholar] [CrossRef]
- Stagnari, F.; Pisante, M. Managing faba-bean residues to enhance the fruit quality of the melon (Cucumis melo L.) crop. Sci. Hortic. 2010, 126, 317–323. [Google Scholar] [CrossRef]
- Stagnari, F.; Galieni, A.; Speca, S.; Cafiero, G.; Pisante, M. Effects of straw mulch on growth and yield of durum wheat during transition to Conservation Agriculture in Mediterranean environment. Field Crops Res. 2014, 167, 51–63. [Google Scholar] [CrossRef]
- Govaerts, B.; Sayre, K.D.; Deckers, J. Stable high yields with zero tillage and permanent bed planting? Field Crops Res. 2005, 94, 33–42. [Google Scholar] [CrossRef]
- Sosulski, F.W.; Imafidon, G.I. Amino acid composition and nitrogen-to-protein conversion factors for animal and plant foods. J. Agric. Food Chem. 1990, 38, 1351–1356. [Google Scholar] [CrossRef]
- McKinney, H.H. A new system of grading plant diseases. J. Agric. Res. 1923, 26, 195–218. [Google Scholar]
- R Core Team. R: A Language and Environment for Statistical Computing; R Foundation for Statistical Computing: Vienna, Austria, 2017. [Google Scholar]
- Kema, G.H.J.; Annone, J.G. In vitro production of pycnidia by Septoria tritici. Neth. J. Plant Pathol. 1991, 97, 65–72. [Google Scholar] [CrossRef]
- Quaedvlieg, W.; Kema, G.H.J.; Groenewald, J.Z.; Verkley, G.J.M.; Seifbarghi, S.; Razavi, M.; Mirzadi Gohari, A.; Mehrabi, R.; Crous, P.W. Zymoseptoria gen. nov.: A new genus to accommodate Septoria-like species occurring on graminicolous hosts. Persoonia Mol. Phylogeny Evol. Fungi 2011, 26, 57–69. [Google Scholar] [CrossRef] [PubMed]
- Tukey, R.B.; Schoff, E.L. Influence of different mulching materials upon the soil environment. Am. Soc. Hort. Sci. 1963, 82, 68–76. [Google Scholar]
- Lupwayi, B.N.Z.; Clayton, G.W.; Harker, K.N.; Turkington, T.K.; Johnston, A.M. Impact of Crop Residue Type on Potassium Release. Better Crops 2005, 89, 14–15. [Google Scholar]
- Van Kessel, C.; Hartley, C. Agricultural management of grain legumes: Has it led to an increase in nitrogen fixation? Field Crops Res. 2000, 65, 165–181. [Google Scholar] [CrossRef]
- Scott, B.J.; Eberbach, P.L.; Evans, J.; Wade, L.J. Stubble Retention in Cropping Systems in Southern Australia: Benefits and Challenges; Industry and Investment NSW: Wagga Wagga, Australia, 2010; ISBN 9781742560205.
- Carr, P.M.; Horsley, R.D.; Poland, W.W. Tillage and seeding rate effects on wheat cultivars. Crop Sci. 2003, 43, 202–209. [Google Scholar] [CrossRef]
- De Vita, P.; Di Paolo, E.; Fecondo, G.; Di Fonzo, N.; Pisante, M. No-tillage and conventional tillage effects on durum wheat yield, grain quality and soil moisture content in southern Italy. Soil Tillage Res. 2007, 92, 69–78. [Google Scholar] [CrossRef]
- Di Fonzo, N.; De Vita, P.; Gallo, A.; Fares, C.; Paladino, O.; Trocoli, A. Crop management efficiency as a tool to improve durum wheat quality in Mediterranean areas. In Durum Wheat, Semolina and Pasta Quality. Recent Achievements and New Trends; Abecassis, J., Autran, J.C., Feillet, P., Eds.; INRA: Paris, France, 2001; Le Colloques n. 99; pp. 67–82. [Google Scholar]
- López-Bellido, L.; Fuentes, M.; Castillo, J.E.; López-Garrido, F.J. Effects of tillage, crop rotation and nitrogen fertilization on wheat-grain quality grown under reinfed Mediterranean conditions. Field Crops Res. 1998, 57, 265–276. [Google Scholar] [CrossRef]
- Cox, D.J.; Shelton, D.R. Genotipe-by-tillage interactions in hard red winter wheat quality evaluation. Agron. J. 1992, 84, 627–630. [Google Scholar] [CrossRef]
- Royo, C.; Abaza, M.; Blanco, R.; del Moral, L.F.G. Triticale grain growth and morphometry as affected by drought stress, late sowing and simulated drought stress. Aust. J. Plant Physiol. 2000, 27, 1051–1059. [Google Scholar] [CrossRef]
- López-Bellido, R.J.; López-Bellido, L. Efficiency of nitrogen in wheat under Mediterranean conditions: Effect of tillage, crop rotation and N fertilization. Field Crops Res. 2001, 71, 31–46. [Google Scholar] [CrossRef]
- D’Egidio, M.G.; Mariani, B.M.; Nardi, S.; Novaro, P.; Cubadda, R. Chemical and technological variables and their relationships: A predictive equation for pasta cooking quality. Cereal Chem. 1990, 67, 275–281. [Google Scholar]
- Novaro, P.; D’Egidio, M.G.; Mariani, B.M.; Nardi, S. Combined effect of protein content and high-temperature drying systems on pasta cooking quality. Cereal Chem. 1993, 70, 716–719. [Google Scholar]
- Rieger, S.; Richner, W.; Streit, B.; Frossard, E.; Liedgens, M. Growth, yield, and yield components of winter wheat and the effects of tillage intensity, preceding crops, and N fertilisation. Eur. J. Agron. 2008, 28, 405–411. [Google Scholar] [CrossRef]
- Lloveras, J.; López, A.; Ferrán, J.; Espachs, S.; Solsona, J. Bread-making wheat and soil nitrate as affected by nitrogen fertilization in irrigated Mediterranean conditions. Agron. J. 2001, 93, 1183–1190. [Google Scholar] [CrossRef]
- Abad, A.; Lloveras, J.; Michelena, A. Nitrogen fertilization and foliar urea effects on durum wheat yield and quality and on residual soil nitrate in irrigated Mediterranean conditions. Field Crops Res. 2004, 87, 257–269. [Google Scholar] [CrossRef]
- Bechere, E.; Peña, R.J.; Mitiku, D. Glutenin composition, quality characteristics, and agronomic attributes of durum wheat cultivars released in Ethiopia. Afr. Crop Sci. J. 2002, 2, 173–182. [Google Scholar] [CrossRef]
- Hentschel, V.; Kranl, K.; Hollmann, J.; Lindhauer, M.G.; Böhm, V.; Bitsch, R. Spectrophotometric determination of yellow pigment content and evaluation of carotenoids by high-performance liquid chromatography in durum wheat grain. J. Agric. Food Chem. 2002, 50, 6663–6668. [Google Scholar] [CrossRef] [PubMed]
- Guler, M. Irrigation effects on quality characteristics of durum wheat. Can. J. Plant Sci. 2003, 83, 327–331. [Google Scholar] [CrossRef]
- Clarke, F.R.; Clarke, J.M.; McCaig, T.N.; Knox, R.E.; DePauw, R.M. Inheritance of yellow pigment concentration in seven durum wheat crosses. Can. J. Plant Sci. 2006, 86, 133–141. [Google Scholar] [CrossRef]
- Page, K.; Dang, Y.; Dalal, R. Impacts of conservation tillage on soil quality, including soil-borne crop diseases, with a focus on semi-arid grain cropping systems. Aust. Plant Pathol. 2013, 42, 363–377. [Google Scholar] [CrossRef]
- Ponomarenko, A.; Goodwin, S.B.; Kema, G.H.J. Septoria tritici blotch (STB) of wheat. Plant Health Instr. 2011. [Google Scholar] [CrossRef]
- AHDB Cereals & Oilseeds. Foliar Diseases-Septoria tritici. Wheat Disease Management Guide; AHDB Cereals & Oilseeds: Warwickshire, UK, 2016. [Google Scholar]
- Te Beest, D.E.; Shaw, M.W.; Paveley, N.D.; Van Den Bosch, F. Evaluation of a predictive model for Mycosphaerella graminicola for economic and environmental benefits. Plant Pathol. 2009, 58, 1001–1009. [Google Scholar] [CrossRef]


| 2016 | 2017 | |||||
|---|---|---|---|---|---|---|
| Yield (t ha−1) | ZT | CT | Overall Mean | ZT | CT | Overall Mean |
| WW | 5.4 | 5.5 | 5.4 | 3.2 | 3.3 | 3.2 |
| WF | 6.1 | 5.5 | 5.8 | 3.3 | 3.2 | 3.2 |
| Overall mean | 5.8 | 5.5 | 5.6 | 3.2 | 3.2 | 3.2 |
| Crop establishment treatment | n.s. | n.s. | ||||
| Crop Sequence | * (7.76) | n.s | ||||
| Crop estab. treatment × Crop Sequence | * (10.98) | n.s. | ||||
| Ears (num m−2) | ||||||
| WW | 269 | 255 | 262 | 287 | 262 | 275 |
| WF | 296 | 271 | 284 | 303 | 286 | 294 |
| Overall mean | 283 | 263 | 273 | 295 | 274 | 284 |
| Crop establishment treatment | n.s | ** (1.37) | ||||
| Crop Sequence | n.s | n.s | ||||
| Crop estab. treatment × Crop Sequence | * (4.1) | n.s. | ||||
| Ear lenght (cm) | ||||||
| WW | 7.18 | 7.40 | 7.29 | 6.60 | 6.22 | 6.41 |
| WF | 7.35 | 7.72 | 7.53 | 6.53 | 6.17 | 6.35 |
| Overall mean | 7.27 | 7.56 | 7.41 | 6.57 | 6.19 | 6.38 |
| Crop establishment treatment | n.s | * (0.09) | ||||
| Crop Sequence | ** (0.03) | n.s | ||||
| Crop estab. treatment × Crop Sequence | n.s | n.s. | ||||
| Plant Height (cm) | ||||||
| WW | 71 | 72.7 | 71.8 | 66.1 | 63.3 | 64.7 |
| WF | 69.7 | 70.7 | 70.2 | 62 | 63.8 | 62.9 |
| Overall mean | 70.3 | 71.7 | 71 | 64 | 63.5 | 63.8 |
| Crop establishment treatment | n.s. | n.s. | ||||
| Crop Sequence | n.s | n.s | ||||
| Crop estab. treatment × Crop Sequence | n.s. | n.s. | ||||
| 2016 | 2017 | |||||
|---|---|---|---|---|---|---|
| TKW (g) | ZT | CT | Overall Mean | ZT | CT | Overall Mean |
| WW | 75.5 | 71 | 73.2 | 56.1 | 55 | 55.6 |
| WF | 77.8 | 70.3 | 74.1 | 56.0 | 51.7 | 53.9 |
| Overall mean | 76.6 | 70.7 | 73.7 | 56.1 | 53.4 | 54.7 |
| Crop establishment treatment | n.s. | n.s. | ||||
| Crop Sequence | n.s | n.s | ||||
| Crop estab. treatment × Crop Sequence | n.s. | n.s. | ||||
| Specific weight (kg hl−1) | ||||||
| WW | 84.5 | 84.6 | 84.5 | 81.4 | 80.8 | 81.1 |
| WF | 85.7 | 84.4 | 85.0 | 81.8 | 82.2 | 82.0 |
| Overall mean | 85.1 | 84.5 | 84.8 | 81.6 | 81.5 | 81.6 |
| Crop establishment treatment | n.s. | n.s. | ||||
| Crop Sequence | n.s | n.s | ||||
| Crop estab. treatment × Crop Sequence | n.s. | n.s. | ||||
| 2016 | 2017 | |||||
|---|---|---|---|---|---|---|
| GPC (% s.s.) | ZT | CT | Overall Mean | ZT | CT | Overall Mean |
| WW | 11.4 | 10.6 | 11.0 | 10.6 | 10.1 | 10.3 |
| WF | 12.1 | 12.2 | 12.1 | 12.4 | 11.9 | 12.2 |
| Overall mean | 11.7 | 11.4 | 11.6 | 11.7 | 11.4 | 11.6 |
| Crop establishment treatment | n.s. | n.s. | ||||
| Crop Sequence | ** (0.16) | ** (0.15) | ||||
| Crop estab. treatment × Crop Sequence | n.s. | n.s. | ||||
| SDS (mL) | ||||||
| WW | 3.4 | 3.3 | 3.4 | 3.8 | 3.4 | 3.6 |
| WF | 3.8 | 3.5 | 3.6 | 3.9 | 3.9 | 3.9 |
| Overall mean | 3.6 | 3.4 | 3.5 | 3.8 | 3.6 | 3.8 |
| Crop establishment treatment | ** (0.01) | n.s. | ||||
| Crop Sequence | * (0.07) | n.s. | ||||
| Crop estab. treatment × Crop Sequence | n.s. | n.s. | ||||
| Yellow index (%) | ||||||
| WW | 21.2 | 21.3 | 21.2 | 21.4 | 21.4 | 21.4 |
| WF | 22.5 | 21.8 | 22.1 | 22.4 | 21.9 | 22.1 |
| Overall mean | 21.8 | 21.5 | 21.7 | 21.9 | 21.7 | 21.7 |
| Crop establishment treatment | n.s. | n.s. | ||||
| Crop Sequence | ** (0.17) | ** (0.14) | ||||
| Crop estab. treatment × Crop Sequence | * (0.20) | * (0.19) | ||||
| Carotenoid (µg g−1) | ||||||
| WW | 8.0 | 8.2 | 8.1 | 8.0 | 8.1 | 8.0 |
| WF | 8.1 | 8.3 | 8.2 | 8.3 | 8.4 | 8.4 |
| Overall mean | 8.1 | 8.2 | 8.1 | 8.2 | 8.3 | 8.3 |
| Crop establishment treatment | n.s. | n.s. | ||||
| Crop Sequence | n.s. | n.s. | ||||
| Crop estab. treatment × Crop Sequence | n.s. | n.s. | ||||
| Ash (%) | ||||||
| 1.78 | 1.74 | 1.76 | 1.73 | 1.75 | 1.74 | |
| 1.77 | 1.79 | 1.78 | 1.76 | 1.78 | 1.77 | |
| Overall mean | 1.77 | 1.76 | 1.77 | 1.74 | 1.77 | 1.75 |
| Crop establishment treatment | n.s. | n.s. | ||||
| Crop Sequence | n.s. | n.s. | ||||
| Crop estab. treatment × Crop Sequence | n.s. | n.s. | ||||
| Incidence (%) | Severity (%) | ||||||
|---|---|---|---|---|---|---|---|
| Crop estab. treatment | ZT | CT | Overall Mean | ZT | CT | Overall Mean | |
| Crop sequence | |||||||
| 2016 | |||||||
| WW | 54.47 | 17.33 | 35.90 | 15.48 | 2.03 | 8.75 | |
| WF | 28.43 | 14.52 | 21.47 | 3.48 | 0.70 | 2.09 | |
| Overall mean | 41.45 | 15.92 | 28.69 | 9.48 | 1.37 | 5.42 | |
| Crop establishment treatment | ** (1.67) | * * (0.23) | |||||
| Crop Sequence | ** (1.59) | ** (0.71) | |||||
| Crop estab. treatment × Crop Sequence | ** (2.26) | ** (1.01) | |||||
| 2017 | |||||||
| WW | 38.54 | 9.09 | 23.81 | 7.11 | 0.48 | 3.79 | |
| WF | 19.89 | 8.59 | 14.24 | 2.65 | 0.50 | 1.58 | |
| Overall mean | 29.21 | 8.84 | 19.02 | 4.88 | 0.49 | 2.68 | |
| Crop establishment treatment | ** (0.97) | * (0.57) | |||||
| Crop Sequence | ** (1.19) | ** (0.32) | |||||
| Crop estab. treatment × Crop Sequence | ** (1.66) | ** (0.44) | |||||
© 2018 by the authors. Licensee MDPI, Basel, Switzerland. This article is an open access article distributed under the terms and conditions of the Creative Commons Attribution (CC BY) license (http://creativecommons.org/licenses/by/4.0/).
Share and Cite
Calzarano, F.; Stagnari, F.; D’Egidio, S.; Pagnani, G.; Galieni, A.; Di Marco, S.; Metruccio, E.G.; Pisante, M. Durum Wheat Quality, Yield and Sanitary Status under Conservation Agriculture. Agriculture 2018, 8, 140. https://doi.org/10.3390/agriculture8090140
Calzarano F, Stagnari F, D’Egidio S, Pagnani G, Galieni A, Di Marco S, Metruccio EG, Pisante M. Durum Wheat Quality, Yield and Sanitary Status under Conservation Agriculture. Agriculture. 2018; 8(9):140. https://doi.org/10.3390/agriculture8090140
Chicago/Turabian StyleCalzarano, Francesco, Fabio Stagnari, Sara D’Egidio, Giancarlo Pagnani, Angelica Galieni, Stefano Di Marco, Elisa Giorgia Metruccio, and Michele Pisante. 2018. "Durum Wheat Quality, Yield and Sanitary Status under Conservation Agriculture" Agriculture 8, no. 9: 140. https://doi.org/10.3390/agriculture8090140
APA StyleCalzarano, F., Stagnari, F., D’Egidio, S., Pagnani, G., Galieni, A., Di Marco, S., Metruccio, E. G., & Pisante, M. (2018). Durum Wheat Quality, Yield and Sanitary Status under Conservation Agriculture. Agriculture, 8(9), 140. https://doi.org/10.3390/agriculture8090140

